
前言:《中考高频考点系列》都是由典型例题、方法规律总结和精选的配套练习题(附答案)组成,内容完整详实,所有题型不偏不冷,完全针对中考出现的高频考点,进行讲练结合式的强化提高,这是一套很有收藏价值的资料。
本篇重点讲解“直角三角形的存在性问题”。(已推出的旋转结构、直角结构、中点结构、半角结构、一线三等角模型等内容,请关注“胡不归数学课堂”查看)
翻看2018年的全国各地中考卷,“直角三角形的存在性问题”仍是热点考题之一,有多个地区对这个考点进行了考查。下面先讲此题型的解题思路,再以一道2018年的中考原题为例,详细说明此题型的解题策略。
【方法指导】
如下图,已知点A、B和直线l,在l上求点P,使△PAB为直角三角形

若要找P点的位置和个数,可以用“两线一圆”法,即分别过点A、B作AB的垂线,再以线段AB为直径作圆,两垂线和圆与l的交点即为所有P点,共有4个,如下图所示:

若求点坐标,有以下方法:
①“万能法”

②其他方法
作垂线,用勾股定理或相似建立等量关系,然后求解即可.
【典例解析】
1、(2018兰州中考28题)


解答(3):存在. 理由如下:

综上所述,点M的坐标为(5/2,-9)或(5/2,11).
注意:本题第(3)问的解答过程用到了两点间的距离公式:
设A(x₁,y₁),B(x₂,y₂)是平面直角坐标系中的两个点,则


(1)求抛物线的解析式;
(2)当点P在运动时,CE、PE、PD三条线段长度之和是否有最小值?若有,请求出此时点P的坐标.
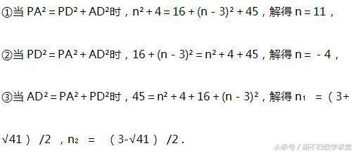
(3)请直接写出能够满足P、A、D三点组成直角三角形的所有点P的坐标.



综上,能够满足P,A,D三点组成直角三角形的点P的坐标为(0,11)或(0,-4)或(0, (3+√41) /2 )或(0, (3-√41) /2 ).
【配套习题】



答案:

(2)由题意可知,抛物线的对称轴为直线x=1,点C的坐标为(0,2),∵点C与点B关于直线x=1对称,
如下图,连接AB,与对称轴x=1交于点D,连接AC,CD,此时△ACD的周长最小,最小为AC+AB.

∵A(-2,0),C(0,2),B(2,2) ∴AC=2√2,AB=2 √5 ∴AC+AB=2√2+2√5.
故△ACD的周长最小值为2√2+2√5.
(3)存在,点P的坐标为(1,-3)或(1,1),理由如下:

综上,当点P的坐标为(1,-3)或(1,1)时,△ACP为直角三角形.