进了高中才发现数学越来越难了,数学分数为何下降的这么快呢?初中阶段我们学习的都是数学的基本知识,初中生只要刻苦学习就不难取得好成绩。可进入高中以后,随着课程和科目增多加深,尤其是数学从具体到抽象,使得学习从内容发生了翻天覆地的变化,如果还要以从前的学习方法肯定是不行的,因此掌握好好的学习方法对学习高中数学有着至关重要的必要性。

今天就给大家介绍高考记笔记的学习方法。大家期盼的高中数学笔记也终于整理出来了~这篇文章是来自今年高考河北理科状元整理的数学笔记,今天分享给大家。由于文章较长,希望同学们先收藏下来慢慢看,如果想获得高中各科知识点整理的话记得关注我哦!我将每天发布高中各科知识点整理笔记,帮助大家提升成绩 ,答疑解惑~
集合


基本初等函数Ⅰ




函数应用




空间几何体

点、直线和平面的位置关系



空间向量与立体几何





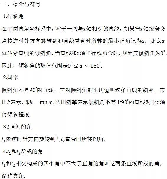
直线与方程




圆与方程



圆锥曲线与方程



算法初步



统计

概率

离散型随机变量的分布列



三角函数





三角函数的图象与性质



三角恒等变换

解三角形


平面向量



数列



不等式


常用逻辑用语


导数及其应用




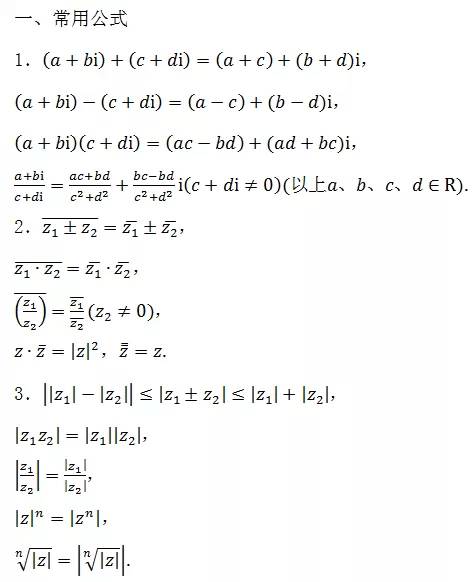
复数

计数原理



坐标系与参数方程



阅读完文章,有什么想法请在下方留言,您的观点我将一 一 回复!