石墨烯单位面积热容小、热导大使得它在发声器方面表现出极大的潜力,如今已经开始应用于人工喉咙、石墨烯耳机等领域。
石墨烯载流子迁移率高这个特性使得石墨烯应用在声表面波器件方面成为可能。但是,目前针对两者的研究均不够全面:
关于石墨烯放大声表面波方面的研究还比较少,尤其是石墨烯放大声表面波放大效率影响因素方面的研究。
因此,本文针对以上问题,建立了石墨烯放大声表面波的理论模型、进一步探究影响石墨烯放大声表面波效率的因素。
一、石墨烯声波放大器的工作原理
石墨烯声波放大器的结构如图1所示。它主要由压电衬底、IDT(叉指换能器)输入端、石墨烯层、铝电极和IDT输出端组成。其工作原理为:当输入信号被施加到IDT输入端的汇流条上时,每对叉指之间都有一定的电压,这会在压电材料上产生与指条长度方向垂直的电场。
由于逆压电效应的存在,压电衬底表面层在电场方向上被压缩或拉伸。如果输入的电信号是交变电压,则在相邻两根指条之间的压电衬底表层上会产生交替压缩和拉伸的弹性振动,从而产生声表面波。
外部电场通过铝电极施加到石墨烯层,使石墨烯层中的载流子发生漂移运动,当载流子的漂移运动方向和声表面波的传播方向一致,且漂移速度大于声表面波的相速度时,载流子会将其部分动能传递给声表面波,从而使得声表面波被放大。
放大后的声表面波继续传播到达IDT输出端后,通过正压电效应又重新转换成电信号输出。

(图1:石墨烯声波放大器的结构图)
二、石墨烯声波放大器的结构图
(一)声表面波在ZnO中传播的理论计算
假设一个半无限大的ZnO单晶衬底,衬底x=0的表面上方为真空或者空气,在x=0的表面以下为无限延伸的ZnO衬底,如图2所示。
由于ZnO是压电材料,压电材料在正常情况下具有压电效应,所以当声表面波在ZnO衬底表面传播时,一定会出现由极化电荷产生的电磁波。
故在研究声表面波在ZnO衬底表面传播过程时,既需要考虑弹性介质的波动方程,同时也需要考虑电磁波方程,并且波动方程与电磁波方程是通过压电方程进行耦合的。

(图2:声表面波传播的坐标系)
根据牛顿第二定律可知,一般弹性介质中的质点运动方程为:

(公式1)
对于一般材料来说,根据胡克定律Tij=cijklSkl,应力Tij仅与材料的弹性常数cijkl和应变Skl有关。
但是由于ZnO是压电材料,因此,这里的Tij不仅仅与应变Skl有关,还与压电介质中存在的电场强度Ek有关,对应的利用压电方程可以通过应变Skl和电场强度Ek来表示应力Tij:

(公式2)
其中cEijkl是恒定电场下的弹性常数,Ek为电场,ekij为压电常数。
一般来说,由于声表面波在固体表面的传播速度在103~104量级,电磁波在固体中的传播速度在106量级以上,最高在真空中可以达到108,因此电磁波的速度数量级要比声表面波的数量级高出3~5个数量级,所以可以将电磁场等价看成静电场,然后电场强度就可以表
示为电势的偏导:

(公式3)
所以将式(2)、(3)同时带入式(1)可得:

(公式4)
因为压电体是绝缘体,所以不存在自由电荷,其电位移的散度也就为0。同时根据逆压电效应Dj=ejklSkl+εjkEk,可得:

(公式5)
式(4)及式(5)即为压电介质中的耦合波方程。研究压电介质中弹性波的性质,也就是求解这一组耦合波方程。这里可以假设它的解为:

(公式6)
其中l1,l2,l3分别为声表面波沿x,y,z方向的方向余弦;x1,x2,x3分别是图2中x,y,z方向上的位移;ω=2πƒ表示角频率;β=2π/λ表示波数;αi表示振幅。将假设的解式(6)代入式(4)中可得:

(公式7)
其中ν2=ω2/β2,ν表示声表面波波速;只有当i=k时δik=1,其余情况下均为0。将式(6)代入式(5)可得:

(公式8)
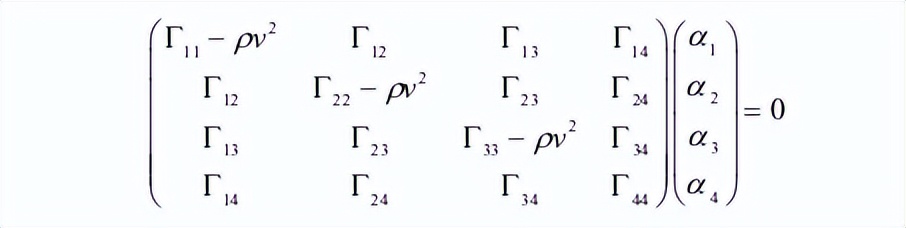
将式(7)和式(8)合并,可以将其写成一个矩阵方程:

(公式9)
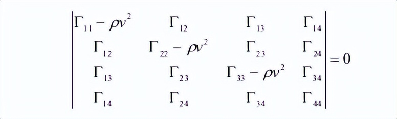
其中Γik=cEijkllllj,Γi4=ekijlklj,Γ44=-εsjkljlk(i,j,k,l=1,2,3)。上面的矩阵方程有非零解的充要条件系数行列式为0:

(公式10)
这里可以看成以v,l1为自变量的一个八阶代数方程,因此l1理论上会有八个根,且以复数的形式呈现。
由于声表面波的能量集中在介质的表面上,所以在介质内部与表面距离无穷大时,也就是x1→-∞时,质点位移必须为0,所以只有虚部为负数的根才是符合的。
另外式(9)也必须满足声表面波的边界条件,总体可以分为两类,一类是机械边界条件,即x1=0界面处不存在外加应力:Γi1=0。


(公式11)
另一类是电学边界条件,在x1=0界面上电位移矢量D的法向分量是连续的。由于x1>0时:

所以有:

(公式12)
由于波动方程与边界条件是相互独立的,所以类似于式(6)的解不可能既满足波动方程,又满足边界条件的。
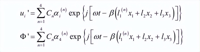
所以这里利用线性微分方程的性质,将分别与l1的四个根相对应的解线性相加,得到的解才能同时满足波方程和边界条件,设线性迭加的解为:

(公式13)
其中,Cn为线性组合的加权系数。然后将式(13)带入式(11)和式(12)中,可以得到加权系数Cn的四个齐次方程。
与式(9)相同,其存在非零解的充要条件是系数行列式为0:

(公式14)
其中:

对于ZnO单晶来说,一般是x切型,z传播方向,所以这里为了求解方便,假设波沿z(x3)方向传播。对于沿固体表面x1=0传播的波,只要给定了方向余弦l2,l3,则式(10)就只包含了两个未知量l1,v,因此式(10)可以看成一个以v为参变量,以l1为变量的方程。
对于确定的v值,就可解出l1的几个根。
上面假设的z(x3)传播方向,即为l3=1,l2=0。联立求解式(10)和式(14),原则上说是可以求解得到声表面波的速度v和另外一个方向余弦l1,但是式(10)和式(14)比较复杂,求解比较困难且不容易得到解析表达式,所以这里采用数值解。
数值解的基本思想为给定一个声表面波速度v,带入式(10)得到四个根l(1)1,l(2)1,l(3)1,l(4)1。然后将这四个根带入式(14)中看是否满足。
若满足,上面的解即为合适的解;若不满足,则重新选一个表面波速度v,重复上面的步骤,直到满足式(14)为止。只要声表面波速度v在合适的范围内取足够多的值,则一定能找到同时符合式(10)和式(14)的v和l(n)1。
通过文献查阅可知,ZnO单晶的相关材料参数(密度、弹性常数、压电系数、介电常数)为:

将这些材料
参数带入式(10)以及式(14)经过反复迭代计算可得:

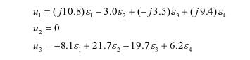
(公式15)
与上面相对应的质点位移为:

(公式16)
其中:

(二)声表面波在ZnO中传播的有限元仿真
利用CMOSOL仿真软件对ZnO单晶为衬底的声表面波器件进行仿真,对上面的理论计算进行验证。COMSOL默认是沿Z轴极化的,而ZnO单晶是沿x轴极化,因此需要利用旋转坐标系来进行坐标转换,旋转坐标系的转换过程示意图如图3所示。
其旋转是首先绕z轴逆时针旋转φ角度,然后绕新得到得到的x轴逆时针旋转θ角度,最后绕新得到的z轴逆时针旋转ψ角度。图4为旋转前后的坐标系示意图。

(图3:晶体旋转示意图)

(图4:旋转前后的坐标系)
利用COMSOL仿真软件对常规声表面波器件仿真首先需要建立周期性单元,图5所示为声表面波横向波形的二维模型图,由图可知该波形在任何节点都形似,所以可以通过二维模型来仿真分析声表面波的性能(如谐振频率,等效波速等)。

(图5:声表面波横向波形的二维模型图)
一般来说,声表面波器件的结构是周期性排列的,且激发的声表面波在压电衬底中的传播也呈现出周期性。所以,当设置好合适的边界条件(包括压电层底部设置为固定约束、压电层左右两个边界设置为周期性条件、对两个电极之间设置电压)之后,我们可以选择一个周期单元来对声表面波器件进行仿真,图6所示为仿真单元的结构示意图,其中虚线框内为有限元仿真的单元结构。

(图6:声表面波器件仿真单元结构示意图)
仿真结果如图7、图8所示,可以看到对称模态的特征频率为76.6MHz,反对称模态下的特征频率为76.9MHz,通过公式veff=p(ƒsc-+ƒsc+)可得出等效速度,计算值为2686.9m/s,与上面的理论计算2720.1m/s接近,在误差范围内。

(图7:对称模态变形图)

(图8:反对称模态变形图)
三、石墨烯放大声表面波的理论模型
(一)外加电场下石墨烯载流子的电导率
石墨烯载流子电导率的计算原理图如图9所示,声表面波沿表面z轴正方向传播,α方向与z轴正方向同向。当在石墨烯上施加直流电压时,石墨烯中的载流子会发生漂移运动,速度为vd。

(图9:计算原理图)
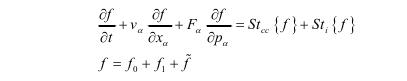
通过玻尔兹曼方程可以描述二维石墨烯等离子体:

(公式17)
其中ƒ是载波分布函数,ƒ0、ƒ1、ƒ̃分别由狄拉克分布函数、纵向电场的常量以及可变项引起的扰动分布函数组成;vα为在α方向的速度分量;pα为动量在α方向的分量;Fα为力在α方向的分量;Stcc{ƒ}和Sti{ƒ}分别为载流子与载流子以及载流子与杂质的碰撞积分。
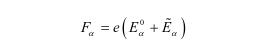
在上述的方程中考虑了外加电场引起的纵向力,可以表示为:

(公式18)
其中Eα为纵向电场的可变项(是由于声表面波在压电介质中传播而产生的正弦场),E0α为纵向电场的常量(是由于施加的直流电压而产生的场);e=±|e|为载流子电荷量。
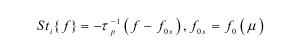
由于ƒ的右侧展开项在vd/vF(vd为载流子漂移速度、vF为费米速度)很小且ƒ̃<ƒ1前都可近似为线性,因此式(17)的右侧也可近似为线性,可表示为:

(公式19)
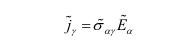
其中μ为化学势能;τ-1p为动量弛豫率;ƒ0s为在存在外加电场下的载流子分布方程的对称部分。由于非平衡态下电流密度jγ̃=ʃvγƒ̃dГ,而ƒ̃可以用电场E来表示,因此电流密度可以表示为:

(公式20)
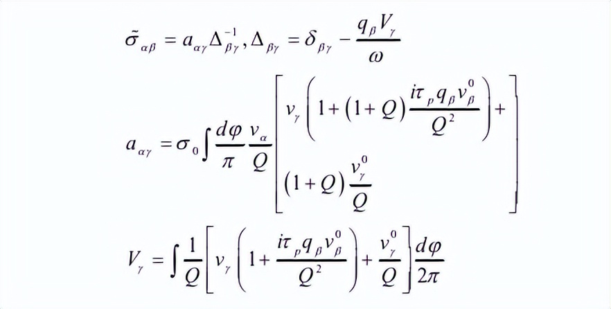
其中σ̃αγ为在外加电场下漂移载流子的电导率。于是可以得到电导率的表达式:

(公式21)
其中σ0=τμ是石墨烯单位电导率,Δ-1βγ是Δβγ的相反张量。
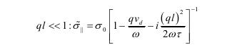
在考虑纵向声表面波后,可以由上述式(21)得到近场的渐进表达式,表达式为:

(公式22)
其中l=τvF为载流子自由路径长度,τ为时间常数,vF=106m/s;q为波矢;ω为频率;vd为载流子漂移速度。代入ZnO衬底对应的各项参数后可以得到图10(其中横坐标中vs为声表面波相速度)。

(图10:近场下在谐振频率为76.6MHz时石墨烯载流子电导率的实部)
通过图10可以看出,在近场下当vds时,石墨烯载流子电导率的实部为正数;当vd>vs时,石墨烯载流子电导率的实部变为负数。
电导率实部的物理意义对应着实际的能量耗散,电子撞击到杂质后受到阻力,运动把能量转移给杂质,最终以焦耳热的形式耗散。
对应这种情况下杂质为声表面波,当电导率的实部为负数时,表示石墨烯内的载流子将能量转移给了声表面波,从而对声表面波起到放大作用。
这和声表面波放大作用的条件(漂移载流子漂移方向与声表面波传播方向相同,载流子漂移速度大于声表面波相速度)一致。
(二)石墨烯放大声表面波
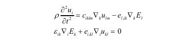
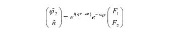
为了知道石墨烯声表面波放大器的放大性能,应该得到声表面波的增益。晶体中微小弹性扰动以及感应场可以由如下方程所示:

(公式23)
其中ui是晶体得位移分量;EK=-kφ是电场;φ是电势;ρ是晶体密度;ciklm是晶体的弹性张量;el,jk是压电系数;j是变量对xj的偏导;ujk=0.5(juk+kuj)是微小形变张量。多层石墨烯的电场可以由泊松方程来描述:

(公式24)
其中ε0是真空介电常数;N是多层石墨烯的层数;nN是每层石墨烯的载流子密度;d是相邻两层石墨烯的间距。当λ>>d时,存在:

(公式25)
另外,由连续性方程可得:

(公式26)
对于瑞利波,针对晶体三个方向的位移有如下边界条件:

(公式27)
综合考虑式(23)-式(26),可得:

(公式28)
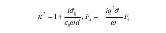
在多层石墨烯区域,我们可以得到一个通解:

(公式29)
其中,F1、F2是两个常数。将式(29)代入到式(28)中可得:

(公式30)
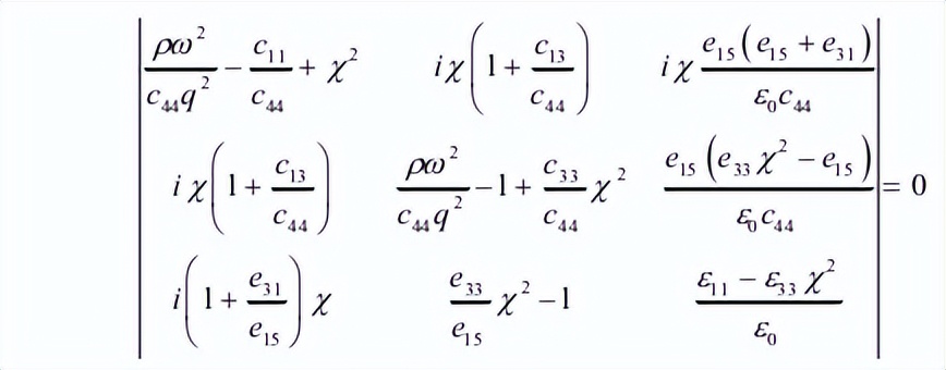
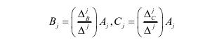
在晶体中,我们可以发现针对位移和电势微扰的一个基本解形式:

(公式31)
其中Aj、Bj、Cj是常数;χj如式(32)所示:

(公式32)
其中只取Re[χj]>0的根。常数Bj、Cj可以表示为:

(公式33)
其中:

(公式34)
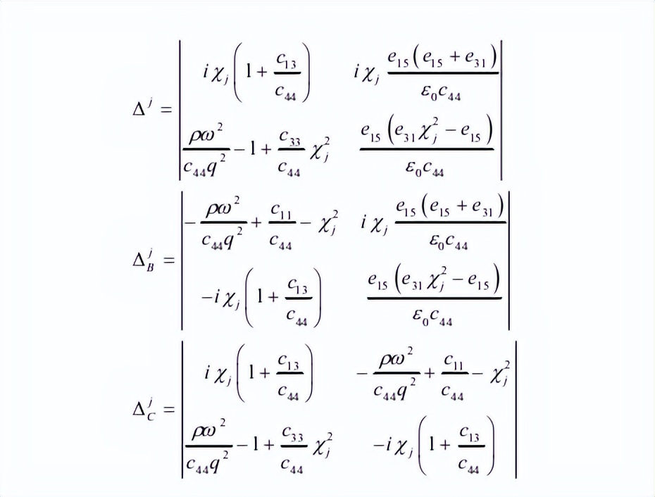
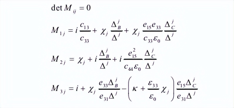
将式(29)-式(31)代入到式(28)中,可以得到色散关系行列式M:

(公式35)
联立式(32)以及式(35),通过数值解的方法即可得到ω(q)的色散关系。
将ZnO、CdS、多层石墨烯的材料参数代入上式,其中ZnO和CdS的相关材料参数如表1所示,多层石墨烯的材料参数如表2所示:

(表1:ZnO和CdS的相关参数)

(表2:多层石墨烯的相关参数)
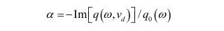
这里为了得到石墨烯声表面波放大器的放大性能,使用了无量纲参数α:

(公式36)
其中q0(ω)为没有多层石墨烯结构下的声表面波波矢。因此可以分别得到如图11、图12所示的ZnO、CdS衬底下α与vd的关系:

(图11:ZnO衬底声表面波在谐振频率下的放大性能与漂移速度的关系)

(图12:CdS衬底声表面波在谐振频率下的放大性能与漂移速度的关系)
由图11和图12看出衬底种类影响石墨烯声表面波放大器的放大性能。ZnO为衬底的声表面波放大器最多可以放大32.9dB、CdS为衬底的声表面波放大器最多可以放大17.2dB,前者的放大性能要比后者优越得多,数值上近似为2倍的关系。
此外,同样可以发现石墨烯中载流子漂移速度也影响石墨烯声表面波放大器的放大性能。当石墨烯中漂移载流子漂移速度与声表面波相速度越接近时,放大性能越好,这可以用能量状态越接近的两个物质之间的耦合程度越高来解释。
总结
本文通过对声表面波器件表面声表面波的传播进行了一定的分析与研究,对附着在声表面波器件表面、IDT输入端与输出端之间的石墨烯放大声表面波的具体过程进行了介绍。整文的研究与分析主要分为四个部分:
首先,介绍了石墨烯放大声表面波的工作原理。
其次,对在ZnO单晶表面传播的声表面波进行了理论计算,利用压电方程,将电磁波方程与弹性介质的波动方程进行耦合,带入两类边界条件(机械边界条件和电学边界条件)后,通过数值解的思想求出声表面波在特定传播方向上的波速。
通过COMSOL仿真软件对上述理论计算的声表面波器件结构进行仿真,利用对称模态下的特征频率以及反对称模态下的特征频率计算等效波速。
等效波速为2686.9m/s,与通过耦合方程求解出的波速2720m/s近似,证明了上述的耦合方程求解过程。
然后,从玻尔兹曼方程入手计算外加电场下石墨烯载流子的电导率,发现当石墨烯中载流子漂移速度小于声表面波相速度时,石墨烯中载流子电导率的实部为正数;而当石墨烯中载流子漂移速度大于声表面波相速度时,石墨烯中载流子电导率的实部为负数。
联系电导率实部的物理意义考虑,与石墨烯放大声表面波的工作原理(漂移载流子漂移方向与声表面波传播方向相同,载流子的漂移速度大于声表面波相速度)一致。
最后构建石墨烯放大声表面波的理论模型,通过无量纲参数α来衡量石墨烯放大声表面波的放大性能。
带入ZnO和CdS的相关材料参数后,求出在各自谐振频率下,两种衬底的声波放大器在不同载流子漂移速度下的α,通过对比分析得出结论:
衬底种类和载流子漂移速度(由施加在石墨烯上的直流电压控制)这两个因素影响石墨烯放大声表面波的放大性能:ZnO为衬底、石墨烯中载流子漂移速度接近声表面波相速度时,石墨烯放大声表面波的放大性能更好。