导读:相信电荷存在,正是我们人类的明智。很多人对电荷不了解,以为电荷是一种粒子。其实不是。看看此文就懂了。
相信电荷存在,正是人类的明智
——灵遁者
地球人都知道电荷是存在的。电荷的本质是什么?这个问题科学家也给出了答案。即电荷为物体或构成物体的质点所带的正电或负电,带正电的粒子叫正电荷(符号为“+”),带负电的粒子叫负电荷(符号为“﹣”)我接着再问大家一个问题:“电荷是粒子吗?电荷是物质吗?”大家仔细想想,再回答我。
很显然电荷概念是一切电磁学现象的基础。所以这个概念的重要性,就不言而喻了。我在前面的章节中,有提到过电场,磁场,电磁场等概念。唯独没有讲到电荷,这是一个重大遗漏。好在一本书的完成,不是一朝一夕的。我今天看到一个问题:“电荷是自旋产生的吗?”当我试着去回答这个问题的时候,我想我应该补增一篇关于电荷内容的文章。

在电磁学里,电荷是物质的一种物理性质。称带有电荷的物质为“带电物质”。两个带电物质之间会互相施加作用力于对方,也会感受到对方施加的作用力,所涉及的作用力遵守库仑定律。
假若两个物质都带有正电或都带有负电,则称这两个物质“同电性”,否则称这两个物质“异电性”。两个同电性物质会相互感受到对方施加的排斥力;两个异电性物质会相互感受到对方施加的吸引力。即同种电荷互相排斥,异种电荷互相吸引。灵遁者科普书籍《变化》在灵遁者灵遁者淘宝有。

电荷是许多次原子粒子所拥有的一种基本性质。称带有电荷的粒子为“带电粒子”。电荷决定了带电粒子在电磁方面的物理行为。静止的带电粒子会产生电场,移动中的带电粒子会产生电磁场,带电粒子也会被电磁场所影响。一个带电粒子与电磁场之间的相互作用称为电磁力或电磁相互作用。这是四种基本相互作用中的一种。
要深刻了解电荷的概念,必须了解关于电磁学的种种概念。这样你才能看清楚它们之间的关系。我先列出它们的基本概念。
1、电荷:在电磁学里,电荷是物质的一种物理性质。
2、电量:电量表示物体所带电荷的多少。一般来说,电荷的数量叫电量,用符号Q表示,单位是库(仑)(符号是C),库仑是一个很常用的单位。
3、电流:科学上把单位时间里通过导体任一横截面的电量叫做电流强度,简称电流。通常用字母 I表示,它的单位是安培。简称“安”,符号 “A”,也是指电荷在导体中的定向移动。即导体中的自由电荷在电场力的作用下做有规则的定向运动就形成了电流。
4、电压:电压是电路中自由电荷定向移动形成电流的原因。在电路中,任意两点之间的电位差称为这两点的电压。通常用字母V代表电压。
5、电场:电场存在于带电体周围的传递电荷之间相互作用的特殊媒介物质。电荷间的作用总是通过电场进行的。只要电荷存在,它周围就存在电场,电场是客观存在的,它具有力和能的特性。

6、磁场:磁场是一种看不见、摸不着的特殊物质,磁场不是由原子或分子组成的,但磁场是客观存在的。磁场具有波粒的辐射特性。磁体周围存在磁场,磁体间的相互作用就是以磁场作为媒介的,所以两磁体不用接触就能发生作用。电流、运动电荷、磁体或变化电场周围空间存在的一种特殊形态的物质。由于磁体的磁性来源于电流,电流是电荷的运动,因而概括地说,磁场是由运动电荷或电场的变化而产生的。
7、电磁场:在电磁学里,电磁场是一种由带电物体产生的一种物理场。处于电磁场的带电物体会感受到电磁场的作用力。电磁场与带电物体 (电荷或电流)之间的相互作用可以用麦克斯韦方程和洛伦兹力定律来描述。电磁场是有内在联系、相互依存的电场和磁场的统一体的总称。随时间变化的电场产生磁场,随时间变化的磁场产生电场,两者互为因果,形成电磁场。电磁场可由变速运动的带电粒子引起,也可由强弱变化的电流引起,不论原因如何,电磁场总是以光速向四周传播,形成电磁波。电磁场是电磁作用的媒介,具有能量和动量,是物质的一种存在形式。电磁场的性质、特征及其运动变化规律由麦克斯韦方程组确定。

8、电磁波:电磁波,是由同相且互相垂直的电场与磁场在空间中衍生发射的震荡粒子波,是以波动的形式传播的电磁场,具有波粒二象性。电磁波是由同相振荡且互相垂直的电场与磁场在空间中以波的形式移动。电磁波在真空中速率固定,速度为光速。见麦克斯韦方程组。
二十世纪初,著名的油滴实验证实电荷具有量子性质,也就是说,电荷是由一堆称为基本电荷的单独小单位组成的。基本电荷以符号e标记,大约带有电荷量(电量)1.602× 10-19库仑,这个也叫元电荷。就是说在各种带电微粒中,电子电荷量的大小是最小的,人们把最小电荷叫做元电荷,也是物理学的基本常数之一,用符号e表示。夸克是个例外,所带有的电量为e/3的倍数。质子带有电荷量e;电子带有电荷量-e。研究带电粒子与它们之间由光子媒介的相互作用的学术领域称为量子电动力学。

OK了,以上就是关于电磁学相关概念的介绍,高中学历的朋友,一定不陌生。但这些知识其实你仔细去分析,你绝对会发现,想象力不够用。教课书中的描述远远满足不了你对于此知识的认识。而且只知道电磁学相关知识,还不够,为了下面要分析的内容,我再来介绍一下物质结构。这是必然要介绍的,不然接下来的分析,你会迷糊。
物质结构,首先是分子,然后是原子。原子指化学反应不可再分的基本微粒。原子在化学反应中不可分割,但在物理状态中可以分割。原子由原子核和绕核运动的电子组成。原子构成一般物质的最小单位,称为元素。已知的元素有119种。因此具有核式结构。

原子是一种元素能保持其化学性质的最小单位。一个正原子包含有一个致密的原子核及若干围绕在原子核周围带负电的电子。而负原子的原子核带负电,周围的负电子带正电。正原子的原子核由带正电的质子和电中性的中子组成。负原子原子核中的反质子带负电,从而使负原子的原子核带负电。
当质子数与电子数相同时,这个原子就是电中性的;否则,就是带有正电荷或者负电荷的离子。根据质子和中子数量的不同,原子的类型也不同:质子数决定了该原子属于哪一种元素,而中子数则确定了该原子是此元素的哪一个同位素。

原子构成分子而分子组成物质中同种电荷相互排斥,不同种电荷相互吸引。以银原子举例:银Ag有47个质子,外层电子排布是 2 ,8 ,18 ,18, 1 ,最外层只有一个电子,易失去电子。所以一般的银离子是正一价 Ag+。
原子直径的数量级大约是10⁻¹⁰m。原子的质量极小,一般为-27次幂,质量主要集中在质子和中子上。原子核外分布着电子,电子跃迁产生光谱,电子决定了一个元素的化学性质,并且对原子的磁性有着很大的影响。所有质子数相同的原子组成元素,每种元素大多有一种不稳定的同位素,可以进行放射性衰变。
电子是一种实物粒子,质量为0.91×10-30kg,带1.6×10-19C的电量.
电荷有两种含义:一是指带电小物体本身,即失去了电子(带正电)或者得到了电子(带负电)的小物体,质量和带电量都不一定;二是指带电体所带的电量的多少、正负。
现在来回答上面开头的提问:电荷是粒子吗?
各位,从定义上就可以看出,电荷是粒子的一种性质,不是粒子。而且电荷是不能够独立存在的,以物体作为载体而存在。

还可以这样说:电荷量是物质、原子或电子等所带的电的量。单位是我们常将“带电粒子”称为电荷,但电荷本身并非“粒子”,只是我们常将它想像成粒子以方便描述。这样有时候,就会让很多同学认为电荷就是粒子。电荷的最小值其大小为一个电子所带的电量为1.6*10^-19C。所以说点电荷是带电粒子的理想模型。真正的点电荷并不存在,只有当带电粒子之间的距离远大于粒子的尺寸,或是带电粒子的形状与大小对于相互作用力的影响足以忽略时,此带电体就能称为“点电荷”。带电是物质的一种固有属性。
电荷有两种:正电荷和负电荷。物体由于摩擦、加热、射线照射、化学变化等原因,失去部分电子时物体带正电,获得部分电子时物体带负电。带有多余正电荷或负电荷的物体叫做带电体,习惯上有时把带电体叫做电荷。
粒子电荷的二分量理论说明同位旋是描述粒子带电状态的旋量。认 为基本粒子的电荷都是由两个分量合成:一个是自旋分量,另一个是同位旋分量。所以从这句话中可以看出,电荷这种性质的存在,与自旋应该是有关的。但是不能就此说自旋产生电荷,没有这样的理论。

根据自旋我们知道,可以将粒子划分为玻色子和费米子。但玻色子和费米子都可以带正电,或者负电。所以不能说自旋产生电荷,这是对那位朋友提问的回答。
每种粒子都具有确定的电荷。实验表明,已发现的各种粒子的电荷都是质子电荷e的整数倍,这个规律称为电荷量子化。对电荷量子化的最精确实验检验是测量质子与电子电荷的代数和,如果电荷量子化严格成立,则其值应严格为零。现有实验给出质子与电子电荷的代数和的绝对值小于10-21e,这表明电荷量子化在相当高的精度下成立。
质子电荷的现有实验值为:e=(4.803242±0.000014)×10-10esu=(1.6021892±0.0000046)×10-19C。
关于电荷,大家要知道库伦定律。库仑定律是电学发展史上的第一个定量规律,它使电学的研究从定性进入定量阶段,是电学史中的一块重要的里程碑。它指出,在真空中两个静止点电荷之间的相互作用力与距离平方成反比,与电量乘积成正比,作用力的方向沿连线,同号电荷相斥,异号电荷相吸。

除此之外还要知道电荷守恒定律:
表述一:电荷既不能创造,也不能消灭,它只能从一个物体转移到另一个物体,或从物体的一部分转移到另一部分,在转移的过程中,系统的电荷总数保持不变。
表述二:一个与外界没有电荷交换的系统,电荷的代数和总是保持不变。
而且电荷间存在相互作用。静止电荷在周围空间产生静电场,运动电荷除产生电场外还产生磁场。因此静止或运动的电荷都会受到电场力作用,只有运动电荷才能受磁场力作用。
总结一下:构成物质的基本单元是原子,原子由电子和原子核构成,核又由质子和中子构成 ,电子带负电 ,质子带正电,是正、负电荷的基本单元,中子不带电。所谓物体不带电就是电子数与质子数相等,物体带电则是这种平衡的破坏。在自然界中不存在脱离物质而单独存在的电荷。 在一个孤立系统中,不管发生了什么变化,电子、质子的总数不变,只是组合方式或所在位置有所变化,因而电荷必定守恒。
为了说明电荷的特征,不妨与质量作一些类比。电荷有正、负之分,于是电力有排斥力和吸引力的区别,质量只有一种,其间总是相互吸引,正是这种区别,使电力可以屏蔽,引力则无从屏蔽。爱因斯坦描述了质量有随运动变化的相对论效应;而电子、质子以及一切带电体的电量都不因运动变化,电量是相对论性的不变量。
电荷具有量子性,任何电荷都是电子电荷e的整数倍,e的精确值(1986年推荐值)为: e=1.60217733×10^-19库质子与电子电量(绝对值)之差小于 (10-20)e,通常认为两者的绝对值完全相等。电子十分稳定 ,估计其寿命超过1010亿年,比迄今推测的宇宙年龄还要长得多。

各位,我们讨论其实刚刚开始。比如还要同学会有这样的困扰:电荷有是物质吗?电荷有质量吗?思考一分钟,你试着回答一下这个问题。
首先一开始就说了,电荷是一种物体性质。性质这个词就意味者普适性。就是一切物体都带有电荷。就好比物体一定具有温度,密度。凡是物体必定携带有电荷。有人会反驳说中子不带电。根据夸克模型, 夸克是带分数电荷的,每个夸克带+2/3e或-1/3e电荷(e为质子电荷单位)。
一个中子由两个下夸克和一个上夸克组成,由于上夸克带 +2/3e电荷,下夸克带-1/3e电荷q=-1/3e*2+2/3e=0,中子不带电。
这是一种物体性质,也可以认为是固有属性。就像惯性,引力一样。凡是有质量的物体就具有引力作用,和惯性作用。
如此就可以回答,电荷有质量吗?电荷没有质量。就像我们问惯性有质量吗?引力有质量吗?肯定是没有的。至少目前的理论是这样认为的。你不能说给我来二斤引力,或给我拿1千克库伦电。
而且大家要深刻认识到一个问题,那就是电荷无法脱离粒子或物体单独存在。有这个问题存在,你如何测量它的质量?所以即使假设有质量,也无法获得,还是等于没有。
我这样说大家肯定觉得不严谨,民科言论。就像爱因斯坦关于光子有没有质量的论断是一样的。光子没有静止质量。这也是很狡猾的一个回答,因为没有人可以得到静止的光子。你怎么测量?所以说你仔细想想这个问题,有时候能把人笑的肚疼。太矛盾了。
假如光子是有静止质量的,然后你测量一个光子,也确实得到了一个数字。你怎么保证这是光子静止时候测量的数字。所以说没有静止质量和静止质量为零的表述的结果是等价的。
但是各位,问题的严重性,还不在于此,这也是为什么要介绍电荷的原因。电荷是一切电磁学理论的基础,电场,磁场,电磁场,电磁波都是的。
那么我们的问题是:电场,磁场,电磁场是物质场吗?我觉得所有的教科书,应该在第一时间告诉学生这些问题。不然后期学了好多知识后,他们还有迷糊。

各位,场是一种能量状态的存在方式。磁场的存在是依靠磁能,电场则依靠电能。看看上面的定义,就知道了,电场是具有通常物质所具有的力和能量等客观属性。所以电场,磁场,电磁场都是物质场。只是说这种物质场比较特殊,不是我们常见的分子,原子所构成的。因为没有一个教课书中,这样教我们的。说场是由什么粒子构成的。
但电场和磁场是一种客观存在,是一种物质场,能量场。处于电场和磁场中的带电物体,就是通过场来互相作用的。
而且电场和磁场就好像一个硬币两个面,即有电场必有磁场,有磁场必有电场。运动电荷产生磁场,这一点已毫无疑问。再跟据相对性原里,即使是静止的电荷,只要另选一个相对运动的座标系为参考系,该电荷也是运动的,就也会产生磁场,会得出:无论电荷是否运动,都会产生磁场。即——有电场一定有磁场。
综上所述,有电场必然有磁场,有磁场必然有电场,二者相互依存,不可分割。
两者的相同点:电场和磁场均为矢量场,即都具有大小和方向。
两者的不同点:电场为有源场,即散度不为零,磁场为无源场,散度为零。电场有源性的推理:存在点电荷,即单极电场(正电场和负电场)。磁场无源性的推论:不存在磁荷,即没有单极磁子。
各位,看到这里我再问一个问题:“电场,磁场,电磁场,电磁波都是物质场,显然这些都是以电荷为基础产生的,那么电荷为什么不是物质?难倒电荷可以无中生有?”
可以这样回答,倒不是说电荷无中生有。电荷是一种物质或粒子性质。而且电荷无法单独存在。即电荷借力“物质或粒子”形成各种场,这样就不算是无中生有。
这种电荷的性质,也是和辐射理论相吻合。因为我们知道,任何物体都以电磁波的形式向外辐射能量。这与任何物体或粒子都携带有电荷一致的。
当然电荷理论,还有值得深入研究的地方。比如在夸克领域,存在分数电荷量。一旦夸克禁闭被打破,就意味着电荷理论必须做出修改。从电荷量子化,就可以看出电磁学理论,本身符合量子力学。所以说电磁学理论承上启下,是没有错的。即连接经典电动力学体系,又连接量子力学体系。
而相对论中,物理是广义,还是狭义,都包含了电磁学中的电磁波因素,即光速,从一定意义上来说,本身这就是有连接了。所以也是说明,大统一理论的思想思路,是没有问题的。

本章的科普,到此就可以结尾了。但我一直强调我们的问题,没有最后一个。如果我问一个问题:电荷的本质是什么?
那么这个问题就非常大了,我自己好奇,就找了一篇文章,我是赞同的。所以如果你也好奇,可以接着读读下文关于电荷本质的论述。
从开头读到这,相信很多读者可能已经对电荷有了一些似是而非的理解了。是的,同能量、动量和角动量一样,电荷的本质是来自于一种连续的对称性,叫做全局的U(1)规范对称性。该对称性与能量、动量及角动量所对应的时间平移、空间平移和空间旋转对称性是有很大区别的,后者的对称性都是和时空相关的,都被称为时空对称性,而前者的对称性则与时空无关,被称为内禀对称性。因此,我们也称粒子的电荷是一种内禀的属性与时空无关。
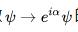
那么,何为全局的U(1)规范对称性?我们知道,在量子场论中,粒子的行为是由该粒子的场算符所描写的,而对于很多粒子来说,它的场算符是由一对互为厄米共轭的复的场算符

来表示,比如电子。全局的U(1)规范变换,即是对场算符做

的变化,即在场算符前加一个全局的相位因子(这里的α是一个任意的与坐标无关的实参数,若其与空间坐标有关则被称为局域的U(1)规范变换,这里不予讨论)。若在这种变化下,即α 取任何实数,系统的运动方程都保持不变,那么称该体系具有全局的U(1)规范对称性。
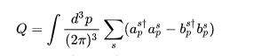
这样,我们可以根据相关的数学计算,将全局的U(1)规范对称性所对应的守恒荷的相关算符形式给求出来。例如,对于自由的电子场,根据诺特定理,通过计算我们可以得到如下的守恒荷的算符形式:

其中,

分别是电子与正电子(电子的反粒子)的产生、湮灭算符,s表示电子的自旋。显然将Q算符作用在电子的单粒子态上,我们得到单电子的该荷量是+1,作用在正电子的单粒子态上,得到正电子的单粒子荷量为-1,也就是说电子与正电子所带的这种荷大小相等,符号相反,而这一结论可以推广的所有粒子中。
这里,大家可能发现了,我们仅仅给出了该荷的形式上的量子化关系,并不能计算出电子实际所带的该荷量的大小和其物理意义。这是由于我们上面所讨论的是自由电子场,并没有引入相互作用。

当我们将电子场与电磁场进行耦合,即引入电磁相互作用时,我们发现电子所带的该种荷与我们先前定义的电荷的行为是完全一样的,因此,我们认为电子的该守恒荷就是我们所说得电荷。实际上,从电磁相互作用的拉格朗日量中我们可以看出,单粒子的电荷量大小影响着该粒子与电磁场的耦合强度(及QED的耦合系数),二者是成正比的。推广到经典极限下,粒子的电荷就表征着库伦力的大小和方向。总之,我们认为,电荷的本质是来源于粒子的全局U(1)规范对称性(其实反过来并不一定成立,也就是说并不是所有粒子的全局的U(1)规范对称性的守恒荷都是电荷,只有在是与电磁场耦合的意义下的全局的U(1)规范对称性的守恒荷才是电荷),是个内禀属性,其大小仅依赖于粒子种类,而不依赖于该粒子的时空坐标系选择,即对于一个确定的粒子来说,其电荷量是常量,且互为正反粒子所带的电荷量大小相等符号相反。

至此,或许有些读者表示很不满,认为这种意义下的电荷的本质不过只是一些数学上的小把戏。我们依旧看不清,摸不着,我们甚至怀疑其是否真正存在。然而,正如笔者前面所说的,同声子的概念一样,当我们有了电荷的概念以后,似乎一切物理图像都变得清晰了,并且整个体系是显得如此自洽、直观和完美,在这种意义下,我们为何不认为电荷就是真实存在的呢?或者说,如果不能获得其他什么价值,我们又有什么必要去认为电荷不是真实存在的呢?最后,笔者想引用一下狄拉克先生的一句名言:“这么漂亮的东西不可能是错的。”
好了,这就是本章的科普内容。祝大家学习愉快,生活愉快。
摘自独立学者灵遁者物理宇宙科普书籍《变化》