
大家好,变电小课堂开课了,今天我们来聊一聊电工小知识——阻抗的那点事。
在具有电阻、电感和电容的电路里,对电路中的电流所起的阻碍作用叫做阻抗。阻抗常用Z表示,是一个复数,实部称为电阻,虚部称为电抗,其中电容在电路中对交流电所起的阻碍作用称为容抗,电感在电路中对交流电所起的阻碍作用称为感抗,电容和电感在电路中对交流电引起的阻碍作用总称为电抗。阻抗的单位是欧姆。
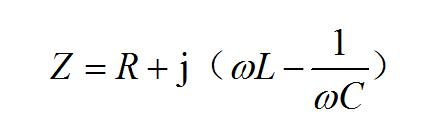
写成数学公式即是:

说明:负载是电阻、电感的感抗、电容的容抗三种类型的复物,复合后统称“阻抗。其中R为电阻,ωL为感抗,1/ωC为容抗。
(1)如果ωL-(1/ωC)>0,称为“感性负载”;
(2)反之,如果ωL-(1/ωC)<0,称为“容性负载”。
电阻

电阻是描述导体导电性能的物理量,用R表示。
电阻由导体两端的电压U与通过导体的电流I的比值来定义,即R=U/I。
所以,当导体两端的电压一定时,电阻愈大,通过的电流就愈小;反之,电阻愈小,通过的电流就愈大。
因此,电阻的大小可以用来衡量导体对电流阻碍作用的强弱,即导电性能的好坏。
电阻的量值与导体的材料、形状、体积以及周围环境等因素有关。
不同导体的电阻按其性质的不同还可分为两种类型。
一类称为线性电阻或欧姆电阻,满足欧姆定律; 另一类称为非线性电阻,不满足欧姆定律。
电阻的倒数1/R称为电导,也是描述导体导电性能的物理量,用G表示。
电阻的单位在国际单位制中是欧姆(Ω),简称欧。
而电导的国际单位制(SI)单位是西门子(S),简称西。
容抗

交流电是能够通过电容的,但是电容对交流电仍然有阻碍作用。
电容对交流电的阻碍作用叫做容抗。
电容量大,交流电容易通过电容,说明电容量大,电容的阻碍作用小;
交流电的频率高,交流电也容易通过电容,说明频率高,电容的阻碍作用也小。
实验证明,容抗和电容成反比,和频率也成反比。
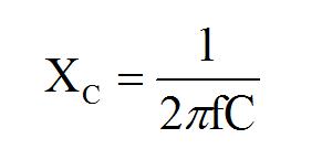
如果容抗用XC表示,电容用C表示,频率用f表示,
那么:

容抗的单位是欧。知道了交流电的频率f和电容C,就可以用上式把容抗计算出来。
在理想条件下,当ω=0,因为Xc=1/ωC,则Xc趋向无穷大,这说明直流电将无法通过电容,所以电容器的作用是“通交,隔直”。在交流电路中,常应用容抗的频率特性来“通高频交流,阻低频交流”。
在纯电容的电路中,电容器极板上的电量和电压的关系式是q=CU。同时在△t时间内电容器极板上电荷变化为△q所以电路中电流为I=△q/△t,在电容电路中电容的基本规律是I=C·△u/△t。由于正弦交流电在一周期内的电压作周期变化,所以电压的变化率(△u/△t)是在改变的。由此得出,当电压为零时,其电压变化率(△u/△t)为最大,电路中电流也最大。反之,当电压为最大值时,其电压变化率(△u/△t)为零,电流也为零。所以电路中电流的相位超前于电容两端电压的π/2。
在纯电容电路中的电容不消耗电能。因为在充电过程中,电容器极板间建立了电场将电源的电能转换成电场能,在放电过程中,电场逐渐消失,储藏的电场能又转换为电能返回给电源。所以纯电容电路的有功功率为零,对外不做功,而无功功率的最大值QL=(I^2)Xc。
感抗

交流电也可以通过线圈,但是线圈的电感对交流电有阻碍作用,这个阻碍叫做感抗。
电感量大,交流电难以通过线圈,说明电感量大,电感的阻碍作用大;
交流电的频率高,交流电也难以通过线圈,说明频率高,电感的阻碍作用也大。
实验证明,感抗和电感成正比,和频率也成正比。
如果感抗用XL表示,电感用L表示,频率用f表示,
那么:

感抗的单位是欧。知道了交流电的频率f和线圈的电感L,就可以用上式把感抗计算出来。
在纯电感电路中,电感线圈两端的交流电压(u)和自感电动势(εL)之间的关系是u=-εL,而εL =-Ldi/dt,所以u=Ldi/dt。正弦交流电作周期性变化,线圈内自感电动势也在不断变化。当正弦交流电的电流为零时,电流变化率最大,所以电压最大。当电流为最大值时,电流变化率最小,所以电压为零。由此得出电感两端的电压位相超前电流位相π/2 。
在纯电感电路中,电流和电压的频率是相同的。电感元件的阻抗就是感抗(XL=ωL=2πfL),它和ω、L都成正比。当ω=0时则XL =0,所以电感起“通直流、阻交流”或者“通低频,阻高频”的作用。
在纯电感电路中,感抗不消耗电能,因为在任何一个电流由零增加到最大值的1/4周期的过程中,电路中的电流在线圈附近将产生磁场,电能转换为磁场能储藏在磁场里,但在下一个1/4周期内,电流由大变小,则磁场随着逐渐减弱,储藏的磁场能又重新转化为电能返回给电源,因而感抗不消耗电能(电阻发热忽略不计)。
分享是一种美德,让更多需要的朋友看到 !!!
欢迎关注“变电小课堂”,分享变电专业小知识,服务你我他!