感谢农田灌溉研究所,他们最新发表于《water》的高水平论文《Insentek传感器:一种新型估算玉米日耗水量的方法》,使用大量详实的数据,通过与传统标准方法蒸渗法的系统对比,全面剖析、评价了Insentek土壤水分传感器——智墒的产品性能,验证且肯定了智墒用于监测ETc的可靠性。
再一次感谢论文作者:秦安振,宁东峰,刘战东,孙彬,赵犇,肖俊夫,段爱旺。
论文原文为英文,我们粗略地翻译为中文,如有不当还请谅解。由于篇幅原因未展示参考资料,如有需求,可识别文末二维码移步原文处。
Insentek产品由于出色的稳定性、智能化、便利化赢得了众多科研机构的青睐,他们使用Isentek产品进行各项科研研究取得了不少研究进展,并在不同渠道发表多种专业论文。后续我们会逐一获得允许,陆续与大家分享科研喜悦。
摘要
估算实时的作物日蒸发蒸腾量(ETc)对于制定可持续水资源战略非常必要,特别是在水资源有限的华北平原(NCP)。称重式渗透仪监测实时ETc常用方法。在这里,我们介绍一种新型基于Insentek传感器的ETc测定方法。试验于2015年、2016年,在华北平原许昌灌溉试验站对玉米耗水量测定进行了对比试验,分别使用晴天和雨天的数据评估了Insentek传感器的表现。
我们发现:日ET c 从VE(出苗)到VT(抽穗)阶段逐渐增加,在R1(吐丝)阶段达到峰值,最高值为7.8mm·d -1 ,然后逐渐下降直至成熟。累计称重蒸渗法测量的ET c 比使用Insentek传感器测量的ET c 平均高出19%。根据Insentek传感器监测的玉米根系耗水深度,蒸渗仪玉米的吸水深度可能是0-60cm。日ET c 与表层土壤(0-30cm)土壤含水量(SWC)呈现指数函数相关关系(确定系数R 2 =0.32-0.53),和降雨呈现幂函数相关(R 2 =0.84-0.87)。土壤水分含量(0-30cm)-降雨-ET c 模型在华北平原的半湿润环境中可为准确测算玉米ET c 提供有力的帮助。
1. 引言
华北平原小麦、玉米产量分别占中国国内小麦和玉米产量的58%和33%,确保了中国的粮食安全[1]。2016年,玉米(Zea mays L.)总产量为2.2亿吨,种植面积为3600万公顷,占国内粮食产量增长的49%[2]。玉米被认为是耗水最高的作物之一[3,4]。由于大陆季风气候,华北平原的年降水量在400至600mm之间, 65%的降雨发生在玉米种植季[5],而年蒸发蒸腾量为800至900mm,比降水量高50-100%[6]。 近年来,华北平原粮食增产严重依赖对地下水资源的过度开采[7],未来随着人口不断增长,农业的发展仍需大量的地下水[8]。 为延缓地下水过度开采,保护地下水生态,一开展实时各项如抗旱新品种、高效节水技术等农艺节水措施。有研究表明,过去二十年,作物蒸发蒸腾量(ETc)仅增加10%的情况下,实现了产量增加了50%[9]。其中,基于ETc的灌溉调控被认为是缓解地下水过度开采的主要措施[10]。
一般而言,ETc是水循环过程中通过土壤蒸发和植物蒸腾消耗水的过程[11], 它一直被认为等同于作物需水量[12]。水平衡方程是估算ETc使用最广泛的方法,在等式中,ETc代表土壤表面和植物的水分流失,而降水和灌溉代表水的输入。节水策略在很大程度上取决于对ETc的监测和控制 [5,6]。 估算ETc的方法有很多 [12,13,14,15],其中称重蒸渗法是传统标准的方法[16],但它的产品价格昂贵,需要专业人员操作[17],限制了称重蒸渗法的普及。因此,需要一种简便的ETc的监测方法。 基于烘干法的ETc估算虽然简单,但费时费力[4]。中子探测法[18],虽然不受作物种类和土壤质地的影响,但这种方法通常需要大的时间跨度来测量土壤水分含量,并很难估算每日或更小尺度的ETc[19]。另一种方法是遥感技术,使用卫星观测来测算区域ETc [20],但研究表明,不同的遥感模型算法测算ETc具有很大的差异[21]。通常,测算ETc的算法都是基于热红外线数据的地表能量预算,这需要大量的地面测量数据且受到云层的干扰,给测算ETc带来了不确定性[21,22]。因此,需要一种实时实地的ETc监测方法。
Insentek传感器(北京东方润泽生态科技股份有限公司,中国北京)是一种新兴技术,可以自动实时监测小时级或分钟级的土壤水分(图1),使用太阳能电池板充电。可获取土壤储水量(SWS)的每日变化,这为每日ET c的计算提供了可能。 我们以前的研究表明,Insentek传感器和烘干法之间土壤水分含量均方根误差(RMSE)为0.927cm 3 ·cm -3 ,粉砂壤土的相对预测偏差(RPD)为7.99,这表明Insentek传感器是监测土壤水分变化的可靠工具(表1)。 最新数据显示,Insentek传感器在中国已经安装超过15,000个,包括*藏西**等偏远地区(个人通信),已形成覆盖全国的ETc监测网络。通过监测全年数据,Insentek传感器比其他土壤水分测定技术(例如,时域反射计,中子探针和烘干法等)具有更好的连续性和稳定性。本次研究将通过连续监测夏玉米ETc对比称重蒸渗法和Insentek传感器方法。

图1. Insentek传感器和蒸渗仪实验设计。(a)Insentek传感器的结构和原理; (b)

表1.使用Insentek传感器和烘箱干燥法在不同土壤质地上测量的土壤含水量(SWC,cm3 ·cm
RMSE是均方根误差,用于评估估计和观察到的SWC之间的差异; RPD是相对预测偏差,由Insentek传感器测量的值是可靠的,RPD≥2.0[ 23 ]; R2是确定系数; p是概率。
到目前为止,利用Insentek传感器替代称重蒸渗法监测ETc的方法尚未得到很好的验证。因此在这项研究中,我们开始了两者之间的比较工作。 此外,附近的气象站记录降雨数据,用来分析了ETc与降雨之间的关系。我们假设Insentek传感器方法和蒸渗法监测的ETc相似,且ETc与降雨和土壤水分显著相关。本研究的目的是:1)使用蒸渗数据评估Insentek传感器方法的效果;2)量化华北平原玉米的ET c 及土壤水分含量与降雨之间的关系。
2. 方法和材料
2.1 站点描述
该实验于2015年、2016年在华北平原许昌灌溉试验站进行(34°08’25“N,113°59’04”E,asl 71 m)(图2)。采用四套大型蒸渗仪(2.0m宽×2.4m长×2.3m深)和四套Insentek传感器进行日ETc比较。该地处于温带大陆季风气候,潮土。渗透仪的土壤特性列于表2中,底部填充了30cm非常粗糙的沙子和小于3cm的砾石,以便向蒸渗仪出口排水。

图2. 许昌灌溉试验站以及该站蒸渗仪和Insentek传感器位置示意图。

表2. 2015年华北平原许昌试验站开始实验前的土壤物理性质。1土壤质地根据中国土壤分类系统[ 24
年均降水量为640.9mm,其中65%降雨发生在玉米生长季节。年平均气温为14.7°C,年日照时数为2280h [4]。0-60cm土层土壤容重为1.45g·cm-3,同一层土壤有机质为16.5g·kg-1。同一层的有效N,P2O5和K2O分别为36.5、23.4和219.8mg·kg-1 [25]。监测到地下水位在土壤表面5m以上。
2.2 实验设计
作物生长在冬小麦(Triticum aestivum L.) - 夏玉米(Zeamays L.)复种种植模式。蒸渗仪由钢板制成,总重量约为24吨(包括容器)。蒸渗仪建于2012年,自2014年3月起对ETc数据进行了监测。2014年10月,在每个蒸渗仪的中心安装了Insentek传感器,经过3年的自然填埋,蒸渗仪整体具有与天然土壤相同的状态[26]。
每台蒸渗仪上2.0m深均填充的是未扰动土体。大型称重蒸渗仪系统包含一个主体,称重传感器和数据记录系统(图1)。称重分辨率为±100g,等于±0.1mm水柱。每30s测量一次渗透计的质量,每30分钟发送一次数据。蒸渗仪深度(2.3m)可满足夏季玉米的正常生根和吸水[27]。渗透计的底部悬挂收集桶利用重力排出流出物。连接桶的称重传感器分别测量排水质量,不改变渗透计的总重量。Insentek传感器安装在渗透仪中心的玉米行之间,使用日差值水平衡方程计算InsentekETc。由于风和其他外部因素干扰,蒸渗仪数据通常带有偏差,使用过滤程序将蒸渗仪噪声与信号分离[28],还原真实的ETc数据。此外,通过管理播种,施肥和灌溉来控制蒸渗仪数据的偏差。
试验选用当地常用品种先玉335,分别于2015年6月5日和2016年6月7日播种(图3)。玉米种植行距为50cm,株距为30cm。在玉米间苗后,每台蒸渗仪留下32株玉米,相当于66,700株/公顷的密度。每台蒸渗仪中的肥料使用分别为225kg·ha-1N,180kg·ha-1 P2O5,和55kg·ha-1 K2O。在种植之前播种磷酸二铵和硫酸钾作为基肥。在播种前,将一半量的尿素用作基肥,而另一半在抽雄期使用。手工将肥料掺入土壤,深度为20cm。除玉米播种时为保证种子发芽进行的一次漫灌(55mm),由于降雨量满足两年的作物需水量,因此未补充灌溉。

图3. 许昌灌溉试验站夏玉米作物生长期(VE,出苗; V(n),(n) - 叶期; VT,抽雄期;
2.3 数据收集和测量
2.3.1 土壤含水量
Insentek传感器(北京东方润泽生态科技股份有限公司,中国北京)用于监测土壤含水量(SWC,cm3 ·cm-3),每层10cm,深度为100cm。监测的土壤体积半径为15cm(图1)。我们进行了各种测试评估Insentek传感器的性能,结果表明,与烘干法相比,Insentek传感器是一种监测各种土壤质地土壤水分的可靠工具。
2.3.2 作物日耗水量
每日蒸发蒸腾量ETc是全天的质量损失和增益之间的差异除以蒸渗仪面积(4.8m2)和水的密度(1.0g·cm-3),换算为蒸馏仪质量(kg)以毫米为单位的等效水深。每日ETc使用等式(1)计算:
ETc= ∆SWS+Pre+I−R−D
(1)
其中ΔSWS是蒸渗仪的土壤水储存量(mm)的每日变化; Pre是降水量(mm); I是灌溉配额(mm); R是地表径流,由于平坦的表面和蒸渗仪干舷,可以忽略不计; D是通过真空排水系统测量的排水通量。
Insentek传感器估算的每日ETc使用同样的水平衡公式(1),ΔSWS基于0-100cm深度的土壤体积水含量计算。
2.3.3 粮食产量与水分利用效率
在玉米成熟时,对每个蒸渗仪所有的玉米进行取样。为确定产量,将每个蒸渗仪中所有玉米穗空气干燥至恒定质量,然后分离谷物,清洁并称重。籽粒产量基于干物质计算。水利用效率(WUE,kg·ha-1 ·mm-1)计算为每单位ETc(mm)产生的籽粒产量(kg·ha-1)。
2.3.4 ET c 与土壤含水量的关系
为量化晴天ETc与土壤水分含量的关系,本研究使用指数函数结合二次函数模型如下:

(2)
其中ETc为作物蒸发蒸腾量(mm·d-1),SWC为晴天土壤含水量(cm3 ·cm-3); a,b和c是要拟合的参数。
2.3.5 ET c 与降雨的关系
雨天的日ETc受到降雨的影响,特别是中到大雨。因此,雨天ETc与降雨的幂函数相关性如下:
ETc= a × Pre-b
(3)
其中ETc是雨天的作物蒸发蒸腾量(mm·d-1); Pre是降水量(mm); a和b是要拟合的功能参数。
2.3.6 气象资料
利用蒸渗仪附近的自动气象站。按小时记录2m处净辐射,气温,相对湿度,风速和风向数据。
2.3.7 Insentek数据评价
采用视图化和统计相结合的方法,对Insentek传感器测算每日ETc的性能进行了评价。评估因子包括斜率、Insentek数据和蒸渗数据之间的线性回归,确定系数(R2),均方根误差(RMSE)和相对预测偏差(RPD)。R2描述了蒸渗ETc的方差被Insentek测定的数据解释的比例。RMSE可用于研究蒸渗测定值和Insentek值之间的差异。RMSE使用公式(4)计算:

(4)
其中RMSE是均方根误差; x Insen和x lysi分别是基于Insentek和蒸渗法测算的相应ETc值; n是评估值的数量。RMSE值越小,Insentek数据就越准确。
RPD用于表示Insentek数据的可靠性。RPD使用公式(5)计算:
RPD=STDEV(xlysi)/RMSE
(5)
其中RPD是相对预测偏差,STDEV是蒸渗法数据ET c值的标准偏差。RPD≥2.0表示Insentek数据可靠; 1.4 <RPD <2.0表示数据可行,但需要改进; RPD≤1.4表明数据不可靠[23]。
2.4 统计分析
统计分析软件(版本19.0,SPSS Inc.,Chicago,IL,USA)使用方差分析来数据分析。一般按0.05的概率水平计算差异偏。通过Levenberg-Marquardt算法分析ETc,土壤水分含量和降雨之间的关系。使用OriginalPro9.1(Origin Lab Corporation,Northampton,MA,USA)绘制图像。
3. 结果
3.1 Insentek土壤水分动态
基于Insentek土壤水分传感器的土壤水分监测显示,0-30cm的土壤水分含量处于10.6-37.2cm3 ·cm-3之间,30-60cm的土壤水分含量处于23.4-38.4cm3 ·cm-3,60-100cm的土壤水分含量处于27.3-38.8cm3 ·cm-3(图4)。 由大于15mm降雨引起的土壤水分含量增加主要集中在0-60cm。 0-10cm,10-20cm,20-30cm,30-40cm,40-50cm,50-60cm的土壤水分含量平均分别增加了33%,11%,10%,8%,5%和4%,降雨量> 15mm。 据田间观察,玉米季降雨对80cm及以下土壤水分影响有限,80-100cm对土壤水分影响更加微小。 除播种后40天(7月中旬)前的营养生长阶段,在0-60cm土层,降雨对土壤水分含量有影响。在根层(0-60cm)中,土壤水分含量从播种后的40天到成熟期逐渐下降,而在60cm处,土壤水分含量保持稳定,表明蒸渗仪中玉米的主要吸水深度可能是60cm。

图4.(a)2015年和(b)2016 年玉米生长季节中Insentek传感器测得的10cm-100
3.2 作物日耗水量
2015年、2016年的玉米生长期,降雨量比正常水平高4%、6%。 玉米出苗后(VE)未补充灌溉,因此,土壤水分主要受降雨和ETc的影响。 在每日ETc的监测上,蒸渗法和Insentek方法展示出相似的趋势(图5)。当降雨量>15mm时ETc速率较低。然而,由于土壤水分蒸发增加,在降雨后ETc明显增加。一般情况下ETc速率峰值通常发生在间歇性降雨期间,高于2.5和4.5mm·d-1,超过了玉米营养生长阶段。但在同样的玉米生长阶段,蒸渗法ETc的平均速率峰值比InsentekETc(4.87 vs. 3.83mm·d-1)高出29%。最高的ETc速率分别发生在2015年播种后的(DAS)53天(VT)和2016年播种后的 43天(V12)。在玉米成熟期,每日ETc下降明显,并保持相对较低的水平。在整个种植季,渗透法每日ETc和Insentek每日ETc的变化基本上随着日均温度的变化而变化,除了2016年播种后55天(VT)到播种后85天(R4),这段时期持续阴雨,导致ETc低于预期。

图5. (a)2015年和(b)2016 年玉米生长季节在华北平原许昌灌溉试验站的每日蒸发蒸腾量,气
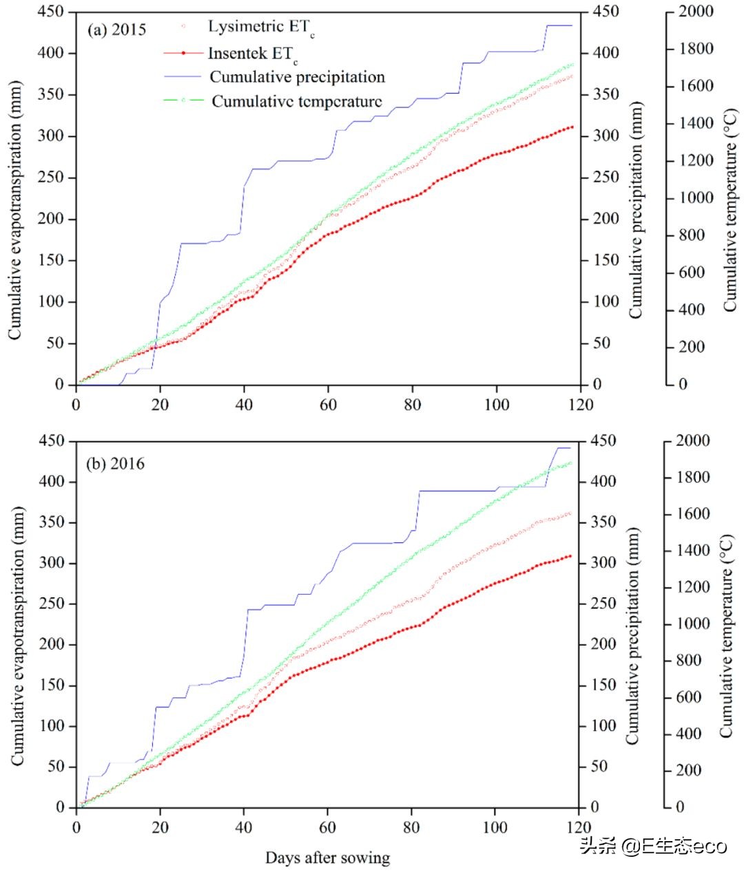
3.3 作物累积耗水量
Insentek累积ETc为310mm,两年平均为2.63mm·d-1(图6)。蒸渗法累积ETc比Insentek累积ETc高19%。在播种后40天(V10),蒸渗法的累积ETc变得越来越高,两者之间的差异从那时起逐渐增加。累积ETc的增长与气温呈正线性关系。在强降雨(>50mm)后的5天内,蒸渗法ETc显示出对降水的快速响应,ETc平均从0.24增加到7.42mm·d-1,而InsentekETc对降雨的响应滞后于蒸渗法ETc,ETc从0.89增加到5.87mm·d-1。

图6. (a)2015年和(b)2016 年玉米生长季节在华北平原许昌灌溉试验站的累积蒸散量,累积气
3.4 ET c 对土壤含水量的响应
仅选择晴天数据用于ETc和土壤含水量之间的相关性分析,当降水>15mm时,ETc明显降低,且土壤水分增加。我们的研究结果表明,在两年内,ETc与0-30cm土层深度的土壤水分含量显著相关; 但在30cm土层以下ETc与土壤水分含量无关(表3)。详细数据表明,在0-30cm土层深度,ETc随着土壤水分含量的增加呈指数函数与二次函数组合相关(图7)。在10cm间隔至30cm土层深度土壤水分含量的影响占ETc变化的32%-59%(R2),土壤水分含量对ETc的贡献从10cm下降到30cm。

图7.晴天,间隔10cm至30cm的作物蒸发蒸腾(ETc,mm)和土壤含水量(SWC,cm3 ·cm

表3.每层土壤含水量相关的蒸发蒸腾量(ETc)的相关系数(R)。**是指p <0.01时的显着相关性
3.5 ET c 对降水的响应
无论是InsentekETc还是蒸渗仪ETc阴雨天均显著减少。结果显示,雨天每日ETc84-87%的变化均是由降雨引起(图8a)。此外,降雨作为一个控制ETc的独立因素,在幂函数中降低了日ETc。与晴天的ETc相比,降雨使蒸渗仪ETc平均降低了72%,InsentekETc降低了54%,表明蒸渗仪ETc对降水的响应比InsentekETc更快。

图8. (a)雨天作物蒸发蒸腾(ETc,mm)与降水(Pre,mm)之间的关系拟合为负幂函数。(b
3.6 拟合度检验
InsentekETc数据和蒸渗仪ETc数据之间存在显著的正线性相关性,斜率为0.68-0.69,截距为0.48-0.51,将InsentekETc作为y值(图8b )。对拟合度的测试表明,RMSE值小于0.87mm,RPD值约为2.0,表明Insentek传感器方法在某种程度上可靠地预测了华北平原夏玉米的实际ET c (表4)。尽管它们具有相似的ETc趋势,斜率小于1.0,表明InsentekETc通常小于蒸渗仪ETc。因此,应考虑相关改进措施以提高Insentek传感器的准确度。这些措施包括但不限于使用较长的Insentek传感器(例如,200cm长)来表示土壤水分在更深土层的动态变化。

表4.2015年和2016年夏季玉米的InsentekETc(y)和蒸渗法ETc(x)数据之间的线性
R2是确定系数; RMSE是均方根误差,用于评估ETc之间的差异; RPD是相对预测偏差,由Insentek传感器测量的值是可靠的,RPD≥2.0[23]; p是概率。
3.7 产量与水利用效率
在华北平原通常是冬小麦 - 夏玉米复种种植,收获小麦后种植玉米。由于小麦的吸水作用以及降雨少,玉米播种前的初始土壤储水量(SWS0)极低(表5),这需要在播种后立即灌溉以保证种子发芽。产量平均比周围田间试验产量(9165 kg·ha-1)低15%,可能是由于土壤压实和盐度胁迫造成的。因为Insentek传感器的土壤深度为100cm,而蒸渗仪的深度为200cm,同时表层的土壤水分含量极低,因此在2015年和2016年Insentek监测到的土壤储水量极低。在收获时,蒸渗仪测定的土壤储水量是19%,比Insentek测定的土壤储水量高17%。因此,在2015年、2016年,渗透法ETc增加了20%和17%,导致水利用率比Insentek方法低16%、14%。

表5. 2015年和2016年许昌灌溉试验站使用Insentek和蒸渗法测算的谷物产量和土壤储水量,
1SWS0和SWSh分别是播种前和玉米收获后的土壤水分,按Insentek和渗透法估算; 2个不同的字母代表显着差异,p <0.05; 3WUE是用水效率。
4.讨论
4.1 蒸渗法和Insentek方法的优缺点
Insentek传感器方法与蒸渗法相比,易于安装且费用较低,并可以实现无线传输、发送实时数据[4,25]。在该研究中,Insentek传感器安装在蒸渗仪土壤内,监测土壤水分含量的动态变化,深度为100cm。以前的研究表明,测定ETc土壤水分含量监测深度应接近于到作物吸水深度,该深度随作物种类和气候条件的变化而变化[11,29]。在德克萨斯州布什兰,在半干旱气候下,发现100cm长的中子探头的监测数据可用于估算灌溉棉田上的蒸渗法ETc[18,19]。 在本研究中,玉米生长在半湿润气候下,玉米季降水≥450mm。最初,表层的土壤水分含量在玉米播种时极低,InsentekETc和蒸渗法ETc基于不同的深度计算导致结果不一致。 这可能归因于传统灌溉条件下,小麦的吸水深度超过了100cm,因此在华北平原小麦收后土壤水分含量较低 [30,31]。而在玉米季,由于频繁的降雨,玉米的根系通常较浅[32,33]。但根据Insentek传感器监测的土壤耗水深度,玉米的主要吸水深度可能为0-60cm。因此,玉米季100cm长Insentek传感器模拟的ETc速率可假设为实际蒸发蒸腾速率。此外,与涡动相关法和遥感法相比,用土壤湿度传感器测定ET c 是真实可靠的数据来源,在理论和实践上都有很强的说服力[34]。以前的研究已经表明,通过中子探针法测定的ET c 可代表蒸渗法ET c ,但由于缺乏自动监测,无法计算日ET c 或更小尺度的ET c [35,36]。Insentek传感器可以克服这个缺点。
Insentek传感器仍存在测定ETc的局限性。例如,与蒸渗法相比,InsentekETc对降水的响应较弱[25]。这导致了下雨天ETc的测定偏差。但Insentek方法可有效避免外部干扰因素引起的潜在ETc误差。尽管InsentekET c 对降水的响应滞后于蒸渗法,但外部干扰因素小,增加了ET c 测定的稳定性。
4.2 累积蒸发蒸腾对土壤含水量的响应
2015年和2016年夏玉米的累积ETc从309到372mm不等。本研究与中国北方半干旱区夏季玉米的ETc累积值基本一致[37],但比春玉米及灌溉条件下的玉米的ETc总含量低50%以上[38]。此外,比美国南部高原地区低100%以上[3]。这可能是由于华北平原玉米生长周期较短(<90天)且夏季玉米几乎处于雨养状态,且蒸渗仪条件下长势不如大田。
该研究中,夏玉米吸水深度主要集中在0-60cm土层,这可能与充足的降水有关。研究表明,ETc与表层土壤水分含量呈指数关系。其中一个原因可能是因为浅层土壤的根系密度大以及表层土壤玉米吸水多,土壤水分变化最大[19]。 许多人使用中子探针法测算ETc的周变化; 但Insentek方法在土壤水分含量的自动记录方面取得了很大进展,自动监测、且不受辐射的影响。ETc与近地表土壤水分含量的显著相关关系可以通过以下发现得到验证:在得克萨斯州布什兰的灌溉棉田中,只有表层30cm土壤中的土壤水分含量发生了显著变化[39]。
4.3 Insentek方法与其他方法的比较
虽然之前的研究认为:基于100cm深的中子探针法测定的ETc足以代表蒸渗法ETc [40],但与蒸渗法相比,Insentek传感器方法测定的日均ETc低了14%。进一步提高InsentekETc的准确度可采用相当于蒸渗仪深度的200cm深度的传感器。一些研究认为蒸渗法和中子探针法测定的ETc[35]没有差异[18,41,42],但仍有一些发现认为,蒸渗法测定ETc大于烘干法或中子探针法[43,44]。
利用遥感法等方法发现,在种植季,ETc与大孔径闪烁仪地面测量结果相差约20% ~ 45%,在阴天模型性能下降[20]。 测定日ETc较大误差与云、雨有关,这会影响卫星杨案发的测量结果,增加额外的数据误差[45]。与遥感法相比,Insentek方法受到天气的影响较小,更稳定。与取土法和中子探测方法相比,Insentek传感器每小时记录土壤水分数据,无需人工成本,直接提高了ET c 测定的便利性和效率。
4.4 雨天模拟作物蒸发蒸腾量
通过遥感ETc模型发现,在玉米生长季降水量为250mm的地区[21],ETc与降雨呈负相关。但在降水量小于200mm的干旱地区,由于降水不足和水热通量相互作用,ETc与降雨的相关性变弱[46]。需要注意的是,这些遥感相关性大多是按年计算的[47],它没有像本研究那样反映ETc对日降水量的瞬时响应。通过分析,我们发现15mm的降水量对日ETc有明显的抑制作用。因此,雨天的ETc数据被单独用于分析相关性。我们的结果表明,模拟ETc与雨天的实际ETc较为一致。蒸渗法ETc和InsentekETc均与降雨量呈负幂函数相关。降水对InsentekETc的影响小于蒸渗法ETc,因为InsentekETc对降雨的响应较弱。InsentekETc是基于雨水入渗后的土壤蓄水量变化来测算的,造成了一定的滞后性[4]。
5. 结论
华北平原的玉米产量占中国玉米总产量的三分之一(每年约2.2亿吨),是中国主要粮仓之一。在此,我们将基于土壤水分数据的InsentekETc与蒸渗法ETc进行了对比。InsentekET c 与蒸渗法ET c 显著线性相关(R 2 =0.83-0.86),RMSE<0.87毫米,RPD<2.1,这说明Insentek传感器在测算玉米ET c 的过程中,有着可接受的准确度,是一种有效的估算ET c 工具。 由于降雨和土壤水分在ETc的水量平衡计算的有着重要作用,因此在不同的天气分析了ETc对它们的响应。 结果表明,雨天ETc与降雨量呈显著幂函数相关(R2=0.84-0.87)。 晴天ETc与表层土壤(0-30cm)中的土壤水分呈显著指数函数相关(R2=0.32-0.53)。土壤水分含量(0-30cm)-降雨-ETc模型可用于预测ETc。我们的方法为降低蒸渗法数据噪声提供了参考,可能会有助于华北平原地区ETc对气候变化的响应研究。