镇静剂类药物是指能使中枢神经系统产生轻度抑制,减弱机能活动,从而起到缓和激动、消除躁动不安、恢复安静作用的一类药物。临床上常见的有吩噻嗪类、苯二氮卓类和巴比妥类药物。近年来,个别饲养者因经济利益的驱使,擅自在畜禽饲养过程中添加该类药物以起到镇静催眠、增重催肥、缩短出栏时间的作用;另外,在动物运输过程中,为减少动物死亡和体重下降,防止肉品质降低,也常使用该类药物以减少应激带来的损失。非法使用该类药物会使其原型和代谢产物不可避免地残留于动物源性食品中,这些食品被人们食用之后会对人体中枢神经系统等造成不良影响,因此许多国家都将该类药物列为禁用药物。我国农业部176号和235号公告规定严禁在动物饲料和饮用水中使用此类药物,在动物源性食品中不得检出该类药物。本部分综述了镇静剂类药物的理化性质、药理、药动学、危害、国内外限量要求以及残留检测的样品前处理、仪器测定方法等内容,以期为该类药物的全面了解和残留检测提供参考。
1概述
1.1吩噻嗪类药物
1.1.1化学结构
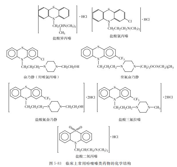
吩噻嗪类药物分子结构中具有共同的硫氮杂蒽母核,基本结构如下图5-82所示。

结构差异:母核2位上的R′取代基,通常为H、Cl、CF3、COCH3、SCH2CH3等;10位上的R取代基,则为具有2-3个碳链的二甲或二乙胺基,或为含氮杂环如哌嗪和哌啶的衍生物等。临床上使用的该类药物多为其盐酸盐(图5-83)。
1.1.2化学性质
(1)具有紫外和红外吸收光谱特征 该类药物的紫外特
征吸收主要由母核三环的π系统所产生。一般具有3个峰值,即在204~209nm(205nm附近)、250~265nm(254nm附近)和300~325nm(300nm附近)处。最强峰多在250~265nm处(ε为2.5×104~3×104);2个最小吸收峰则在220nm及280nm处附近。
2位上的取代基(R’)不同会引起吸收峰发生位移。例如2位上卤素的取代(-Cl及-CF3)可使吸收峰向红移2~4nm,同时会使250~265nm区段的峰强度增大。R引起吸收峰位移,可能是通过对位效应影响三环π系统的S,而间位效应又影响三环π系统的N所发生的。因此利用其紫外特征吸收可进行该类药物的鉴别。
该类药物母核的S为二价,易氧化,其氧化产物为*砜亚**及砜,与未取代的吩噻嗪母核的吸收光谱有明显不同,它们具有4个峰值。因此可以利用紫外吸收光谱的这些特征测定药物中杂质氧化物存在的量;同时也可在药物含量测定时对氧化产物的干扰进行校正。

吩噻嗪类药物取代基R和R’的不同,产生不同的红外吸收光谱,国内外药典已用于该类药物较多品种的鉴别。
(2)易氧化呈色 吩噻嗪类药物遇不同氧化剂例如硫酸、硝酸、三氯化铁试液及过氧化氢等时,其母核易被氧化成自由基型产物和非离子型产物(砜、*砜亚**、3-羟基吩噻嗪)等不同产物,随着取代基的不同,而呈不同的颜色。
(3)与金属离子络合呈 色母核中未被氧化的硫原子可与金属离子(如Pd2+)形成有色络合物,其氧化产物砜和*砜亚**则无此反应。利用此性质可进行鉴别和含量测定,并具有专属性,可排除氧化产物的干扰。
1.1.3代表*药性**物
氯丙嗪(chlorpromazine),属于吩噻嗪类药物,是抗精神病类药物中的经典*药性**物,由法国学者于1950年首先合成,药用一般为盐酸氯丙嗪,化学名称为N,N-二甲基-2-氯-10H-吩噻嗪-10-丙胺盐酸盐。
1.1.3.1理化性质
氯丙嗪通常为白色或乳白色结晶粉末。微臭,味极苦,有吸湿性。极易溶于水(1∶1),水溶液显酸性,5%水溶液pH为4.0~5.0,易溶于乙醇或氯仿,不溶于*醚乙**或苯。由于吩噻嗪环的硫和氮原子有丰富的电荷密度,易被氧化,在空气或日光中放置渐变为红色,氧化产物非常复杂,最少有12种粉末或水溶液遇空气、阳光和氧化剂渐成黄色、粉红色,最后呈棕紫色,毒性随之增强。
1.1.3.2药理作用
吩噻嗪类药物的作用与结构有关,当2位引入氯原子,作用增强,如氯丙嗪作用强于丙嗪3倍;当2位引入三氟甲基,比引入氯原子作用更强,如三氟丙嗪的作用是氯丙嗪的4倍。
吩噻嗪类药物在兽医临床上用作镇静安定药、增强*醉药麻**及催眠药等。以下以氯丙嗪为例了解吩噻嗪类药物的作用机理。
主要通过阻断脑内多巴胺受体而产生镇静作用,常用量还可抑制延脑催吐化学敏感区的多巴胺受体,有镇吐作用;抑制体温调节中枢,使体温降低;长期服用该类药物可产生依赖性或成瘾性,长期大量应用时可引起锥体外系反应(如震颤、运动障碍、*坐静**不能、流涎等)。近年来发现氯丙嗪还可引起一种特殊持久的运动障碍,称为迟发性运动障碍,表现为不自主的刻板运动,停药后不消失,抗胆碱药可加重此反应。有时可引起抑郁状态。
在兽医上氯丙嗪主要用来镇静和止吐。日粮中添加氯丙嗪能间接起到使动物催肥的作用,在动物运输过程中有些不法商贩常常大剂量使用氯丙嗪,这是因为氯丙嗪能降低动物的维持需要,减少途中失重和死亡率。
1.1.3.3药动学
内服、注射均易吸收,但内服吸收不规则,并有个体和种属差异。内服达峰时间单胃动物约3h,肌内注射单胃动物达峰时间15h。药物内服有首过效应,吸收后90%~95%与血浆蛋白结合。呈高度亲脂性,易通过血脑屏障,脑内以丘脑、丘脑下部、海马、基底部神经节浓度最高。脑内浓度较血浆浓度高4~10倍。另外,肺、肝、脾、肾、肾上腺等组织内亦较多。能通过胎盘屏障,并能分泌至乳汁内,山羊乳中浓度高于血浆浓度。主要在肝内经羟基化、硫氧化等代谢,有的代谢产物仍有药理活性。大部分由尿排除,余者由粪排除,有些进入肠肝循环。犬半衰期约6h,山羊为1.5h。氯丙嗪排泄缓慢,动物体内残留时间可达数月之久。
1.1.3.4危害
(1)一般急性、慢性毒性 动物组织中氯丙嗪残留水平一般较低,再加上人们食用的数量有限,正常情况下食用动物性产品导致氯丙嗪急性中毒事件的概率较低。氯丙嗪等镇静类药物在肉品中残留,人食后头脑不清醒,出现一系列的生理变化,表现为嗜睡等,而且一旦不食用还会导致人兴奋等。氯丙嗪可能通过母乳进入婴儿体内,由于婴幼儿药物代谢功能不完善,因此会比较敏感,再加上氯丙嗪具有高度的亲脂性,易通过血脑屏障,因此其对婴幼儿的毒性要高于成年人。
氯丙嗪可以引发高血糖症。Bhattacharyya等的研究表明,高剂量的氯丙嗪可与胰岛素相互作用,使其功能丧失,进而引发高血糖症。氯丙嗪与其他药物同时服用时可能导致中毒,Cheety等研究报道,一名女性在同时服用氯丙嗪和口服避孕药的情况下,出现了严重的运动性障碍及震颤,而且其血浆中氯丙嗪的浓度比单独服用同剂量氯丙嗪条件下高6倍之多。可见,口服避孕药可能增加氯丙嗪的血浆浓度,继而导致中毒。
(2)“三致”作用 曾经有过关于孕妇口服大量氯丙嗪导致胎儿畸形而形成脑瘫的报道。刘学彦研究表明,较高浓度氯丙嗪对体外培养人外周血淋巴细胞有一定致畸变作用。蒙华庆等对服用氯丙嗪后的病人的外周血淋巴细胞微核率和染色体脆性表达率进行了检测,结果也显示氯丙嗪对人淋巴细胞染色体具有一定的损伤作用,但其作用未显示出与剂量和疗程的相关性。但刘慧君等对长期服用氯丙嗪药物后姐妹染色单体互换频率的研究却显示了相反的结果,认为氯丙嗪对人体淋巴细胞DNA没有明显的损伤作用。杨玲玲等也有类似的研究结果。氯丙嗪是否对人淋巴细胞染色体有损伤作用还需进一步的研究探讨。
(3)其他健康效应 氯丙嗪容易渗入细胞膜脂质层中,并大量积累。宋延生等研究发现,在日晒情况下,表皮细胞中大量集聚的氯丙嗪极易被激发而形成药物自由基,且同时有活性氧自由基产生。这些自由基有可能攻击细胞脂质层,加速细胞的脂质过氧化;另外,攻击细胞的酶使之失活,导致细胞内正常代谢程序混乱,从而造成表皮细胞的伤害,严重时细胞死亡而脱落,导致皮疹和色素沉着。国内外对氯丙嗪引起的过敏性皮炎已有多次报道。有资料表明,角膜和晶状体中氯丙嗪沉积是长期服用氯丙嗪而引发的一种并发症。氯丙嗪还具有一定的光毒性和光敏性,可以引起皮肤光敏性损害。
1.2苯二氮卓类药物
苯二氮卓类药物属第二代安眠镇静药,具有催眠、镇静、抗惊厥等多种药理作用。该类药物种类很多,人用已有20余种,主要包括*西泮地**(安定)、硝西泮(硝基安定)、艾司唑仑和氯氮卓、阿普唑仑、*唑三**仑、盐酸氟西泮、氯硝西泮和奥沙西泮等药物。兽医临床应用品种不多,常用者为*西泮地**、奥沙西泮和氯氮卓。上述药物除了氯氮卓外,均为*西泮地**的衍生物。
1.2.1化学结构
苯二氮卓类药物结构相似,均具有环状结构,典型药物结构见图5-84、图5-85。


1.2.2化学性质
因具有环状结构,故熔点、沸点较高,难挥发;在其基本结构中均含有氮原子,故大都显中性或弱碱性,在强酸和强碱下均易分解。
1.2.3代表*药性**物
*西泮地**又名安定、苯甲二氮唑,是苯并二氮卓类药物的代表*药性**物,也是兽医临床上最常用的药物之一。
1.2.3.1理化性质
白色或淡黄色结晶粉末。无臭或几乎无臭,味极苦。不溶于水,极易溶于氯仿,易溶于乙醇和*醚乙**。紫外光(365nm)下显黄绿色荧光。
1.2.3.2药理作用
*西泮地**为长效类的苯二氮卓类药物,苯并二氮卓类为中枢神经系统抑制药,可引起中枢神经系统不同部位的抑制,随着用量的加大,临床表现可自轻度镇静到催眠甚至昏迷。这类药的作用部位与机制尚未完全阐明,可加强或易化γ-氨基丁酸(GABA)的抑制性神经递质的作用,GABA在苯并二氮卓受体相互作用下,主要在中枢神经各个部位起突触前和突触后的抑制作用。这类药为苯并二氮卓受体的激动剂,苯并二氮卓受体为功能性超分子功能单位,又称为苯并二氮卓-GABA受体-亲氯离子复合物的组成部分。受体复合物位于神经细胞膜,调节细胞放电,主要起氯通道的阈阀功能。GABA受体激活导致氯通道开发,使氯离子通过神经细胞膜流动,引起突触后神经元超极化,抑制神经元放电,这个抑制转译为降低神经元兴奋性,减少下一步去极化兴奋性递质。苯并二氮卓类增加氯通道开发的频率,可能通过增强GABA与其受体的结合或易化GABA受体与氯离子通道的联系来实现。苯并二氮卓类还作用于GABA依赖性受体:
(1)抗焦虑和镇静催眠作用 通过刺激上行性网状激活系统内的GABA受体,提高GABA在中枢神经系统的抑制,增强脑干网状结构受刺激后的皮层和边缘性觉醒反应的抑制和阻断。分子药理学研究提示,减少或颉颃GABA的合成,这类药的镇静催眠作用降低;如增加其浓度则能加强苯并二氮卓类药的催眠作用。
(2)遗忘作用 在治疗剂量时可干扰记忆通路的建立,从而影响近事记忆。
(3)抗惊厥作用 可能由于增强突触前抑制,抑制皮质-丘脑和边缘系统的致痫灶引起癫痫活动的扩散,但不能消除病灶的异常活动。
(4)骨骼肌松弛作用 主要抑制脊髓多突触传出通路和单突触传出通路。*西泮地**由于具有抑制性神经递质或阻断兴奋性突触传递而抑制多突触和单突触反射。苯并二氮卓类也可能直接抑制运动神经和肌肉功能。
1.2.3.3药动学
内服吸收迅速。生物利用度约76%。0.5~2h血药浓度达峰值,4~10d血药浓度达稳态,消除半衰期为20~70h。肌内注射吸收缓慢且不规则。静脉注射后与血浆蛋白结合率高,可高达99%。*西泮地**及其代谢物脂溶性高,易穿透血脑屏障;可通过胎盘分泌入乳汁;未结合部分可迅速通过血脑屏障进入中枢神经系统,但又快速转移至其他组织再分布,可蓄积于脂肪和肌组织中。在肝内生物转化,生成具有药理活性的代谢物,如去甲西泮、奥沙西泮和替马西泮等。在长期用药过程中去甲西泮在体内所占的比例增加,使去甲西泮的作用持续时间进一步延长,半衰期比原药更长,为2~5d。由肝代谢的产物可与葡萄糖醛酸结合而失活,经肾排除。
廖文强等测定*西泮地**在大鼠体内的血药浓度消除半衰期约为2.2h,与其在人体内消除半衰期35h相差很大,说明该药有明显的种属差异。龙超峰等应用3P87程序对*西泮地**在人血浆中的血药浓度-时间数据进行拟合,得出*西泮地**代谢符合二室模型。刘菊芳等对大鼠单次口服去甲*西泮地**的药动学进行了研究,结果表明其在体内代谢符合二室开放模型。廖洁丹等采用MCPKP药动学程序处理猪一次内服*西泮地**测得的血浆药物浓度-时间数据,得出其在体内代谢符合一级吸收二室开放模型。说明猪口服*西泮地**后,药物迅速进入中央室,而后重新分布至周边室并缓慢消除。停药0d,组织药物浓度顺序为肝>肺>肾>肌肉;停药35d,在肝脏、肺和肌肉中仍然能检测到*西泮地**。
1.2.3.4危害
苯二氮卓类药物的中毒机理及症状:苯二氮卓类药物使人中毒的主要原因是抑制中枢神经系统,症状主要表现为嗜睡、肌肉软弱、易被唤醒,大量服用可无先兆地突然进入昏迷或昏睡状态,血压下降,呼吸循环系统受到抑制。它们与酒类饮料共用时,药效和毒性均增强。
1.3巴比妥类药物
1.3.1化学结构
巴比妥类药物是巴比妥酸的衍生物,分子中具有丙二酰脲的结构。基本结构见图5-86。当R1=R2=H时,为巴比妥酸,没有药效。

临床上使用的巴比妥类药物大部分是巴比妥酸的5,5-二取代物,少数为1,5,5-三取代物,另外还有硫代巴比妥酸的衍生物。其中常见的是5,5-二取代物,具体见表5-56。

1.3.2理化性质
白色结晶或结晶粉末,具有固定熔点。游离体微溶或极微溶于水,易溶于乙醇及有机溶剂。钠盐易溶于水,不溶于有机溶剂。常见的4种巴比妥类药物的结构和性质见表5-57。

巴比妥类药物的化学性质主要和环状的1,3-二酰亚胺基的结构有关。酰亚胺基上的氢受邻位羰基的影响,具有活性。
(1)具有弱酸性酰亚胺基上的氢受邻位羰基的影响,可以发生1,3-质子迁移,由酮式变为稀醇式:

所以巴比妥类药物在水中能产生二级电离,而显弱酸性,能与碱成盐。

(2)水解反应巴比妥类药物与碱溶液一起加热时,可水解产生氨气。

(3)与重金属离子反应巴比妥类药物分子中的二酰亚胺基在适当的pH条件下(弱碱性)能和一些重金属离子反应(如Ag+、Cu2+、Co2+、Hg2+等),生成有色或不溶性的物质。

(4)具有紫外吸收特征巴比妥类药物在水溶液中能产生二级电离,电离的级数随溶液pH的不同而不同,而其吸收光谱是与它的电离程度有关的(表5-58)。

1.3.3代表*药性**物
苯巴比妥,为巴比妥类药物的代表*药性**物之一,也是兽医临床上常用的药物之一。
1.3.3.1理化性质
为白色的片状结晶或白色结晶颗粒或白色有光泽的粉末。无臭、味苦。露置空气中有吸湿性。极微溶于水。在乙醇或*醚乙**中溶解,在氯仿中略溶,在氢氧化碱或碳酸碱溶液中能溶。
1.3.3.2药理作用
苯巴比妥为长效巴比妥类药物,具有抑制中枢神经系统作用,尤其是大脑皮层的运动区。在低于催眠剂量时即可发挥抗惊厥作用。加大剂量能使大脑、脑干与脊髓的抑制作用更深,骨骼肌明显松弛,意识及反射消失,再继续加大剂量可抑制延髓生命中枢,引发中毒死亡。试验证明,苯巴比妥可增强GABA神经递质的抑制作用。
1.3.3.3药动学
内服、肌内注射均易吸收,广泛分布于各组织及体液中,其中以肝、脑浓度最高。血浆蛋白结合率40%~50%。透过血脑屏障速率极低,起效慢。内服后1~2h、肌内注射20~30min起效。内服犬生物利用度90%,达峰时间4~8h。犬多次给药,苯巴比妥的半衰期为37~75h,平均半衰期53h,单次静脉注射5mg/kg的半衰期为926h;马半衰期28h,驹128h。在肝内主要通过氧化代谢。反刍动物体内代谢快。在肾小管处可部分重吸收,故消除慢。
1.3.3.4危害
长期使用此类药物可产生耐受性和依赖性,多次连用会产生蓄积中毒,长期用药突然停用可产生戒断症状(如有焦虑、睡眠障碍、厌食、恶心、呕吐、高热、低血压、震颤、抽搐、定向障碍及幻觉等),出现兴奋甚至惊厥。过量时症状为运动失调,语言不清,重者昏迷和呼吸抑制。表5-59给出了4种巴比妥类药物的治疗量、中毒量、致死量和血药浓度。巴比妥类药物长期服入过量或一次服入大量易造成急性死亡,致死期一般多在服药后10h左右。

2 国内外限量要求
由于吩噻嗪类、苯二氮卓类和巴比妥类药物具有潜在危害,非法使用该类药物会使其原型和代谢产物不可避免地残留于动物源性食品中,这些食品被人们食用后会对人体中枢神经系统等造成不良影响,因此许多国家都将此类药物列为禁用药物。
2002年,我国农业部、卫生部和国家药品监督管理局联合发布公告第176号«禁止在饲料和动物饮用水中使用的药物品种目录»,禁止在饲料和动物饮用水中使用吩噻嗪类(氯丙嗪、盐酸*丙嗪异**)、苯二氮卓类(*西泮地**、硝西泮、奥沙西泮、*唑三**仑)、巴比妥类(巴比妥、苯巴比妥)等精神类药品。
3残留分析方法
测定吩噻嗪类、苯二氮卓类和巴比妥类等镇静类药物的方法很多,方法的灵敏度差别很大。已报道有气相色谱(GC)、高效液相色谱(HPLC)、薄层色谱(TLC)、气相色谱-质谱(GC-MS)、高效液相色谱-质谱(HPLC-MS)以及ELISA、光度法、毛细管电泳法(CE)等,但以GC、HPLC为主要的分离分析手段。随着色谱-质谱联用技术的成熟,利用GC或HPLC分离药物,用MS检测药物,同时完成药物的筛选、确证和定量的GC-MS、HPLC-MS方法报道日渐增多,并大大提高了分析的灵敏度,降低了分析的检测限,专一性强,GC-MS、HPLC-MS已被广泛用于该类药物的残留检测。而这些方法的样品前处理至关重要。
3.1样品前处理
3.1.1吩噻嗪类代表药物
(1)血样 用氢氧化钠溶解,加二氯甲烷或*醚乙**或乙酸乙酯混匀,离心或涡旋振荡,或加无水乙醇制成标准血样,加磷酸氢二钾溶解,再加盐酸调pH至1.5,用无水硫酸钠吸干液体,再加等体积甲醇-*酮丙**混合液,用乙醇溶解定容。分离出有机层,转管,氮吹浓缩;超声振荡提取,甲醇或乙醇或流动相溶解残渣。过SPE柱,*腈乙**水洗脱。
(2)饲料样品 一般用甲醇溶解饲料样品,碱化甲醇振荡提取样品,*醚乙**洗涤残余物,过滤,蒸干,用甲醇溶解后过膜上机测定。
(3)尿样 一般选用碱化*腈乙**或庚烷乙酸乙酯提取,涡旋振荡,过Bond ElutC8柱,甲醇冲洗,氮吹干,用磷酸二氢钾溶液和特丁基甲醚净化。
(4)组织样品 类似于尿样的处理,猪肾用*腈乙**涡旋混合,超声水浴,离心后取上清液,再依次用酸化*腈乙**和正己烷净化,氮气吹干,甲醇溶解后定容。猪肝匀浆后加入乙酸乙酯和氢氧化钠振荡,离心,用*腈乙**超声溶解残渣,加正己烷离心,弃去有机层,用*腈乙**冲洗C18柱,取待用的提取液冲洗C18柱,弃去流出液,用水淋洗C18柱,抽干。用氨化乙酸乙酯洗脱,收集洗脱液,将洗脱液用氮气吹干,加入乙酸乙酯,超声混匀(GB/T 20763—2006)。
3.1.2苯二氮卓类药物
常用LLE法、SPE法等方式提取、净化样品中的苯二氮卓类药物。大部分样品中苯二氮卓类药物的提取通常是先碱化,再用有机溶剂提取。但尿样因原药较少而且代谢物多以其葡萄糖醛酸苷结合物的形式存在,故先水解结合物,代谢物游离后再提取。郭幼梅等通过葡萄糖醛酸苷酶使结合物水解、代谢物游离,提高了*西泮地**类代谢物的检出率。
(1)LLE法 最常用的提取、净化方法。Boukhabza等报道了在pH9.5条件下用*醚乙**-二氯甲烷提取血浆中*西泮地**、*唑三**仑、氟硝安定等药物,回收率为83%~86%。姜兆林等考察了正己烷、甲苯、苯、氯代正丁烷、*醚乙**、氯仿、二氯甲烷、乙酸乙酯、正己烷-异戊醇、苯-异戊醇、正己烷-二氯甲烷、正己烷-乙酸乙酯等多种溶剂提取经β-葡萄糖醛酸苷酶水解后的尿中18种苯二氮卓类原型药物及其主要代谢物的效果,萃取率为73%~96%,但用极性较大的乙酸乙酯萃取,杂质较多,而用极性较小的正己烷萃取,萃取率却较低。戴伟列等用LLE法提取血、尿、肝及其他脏器中的*唑三**仑及其主要代谢物,回收率在78.7%以上。沈笑平研究了在酸、碱条件下,用*醚乙**、氯仿提取35种常见安眠镇静类药物,回收率在70%以上,氯仿对*唑三**仑、阿普唑仑、艾司唑仑的提取率高。王立新等进行了二氯甲烷、乙氯乙烯、乙酸乙酯、*醚乙**、氯仿几种溶剂的提取试验,发现HPLC测定结果不仅有杂峰干扰而且回收率偏低,改用氯仿与异戊醇(98∶2,V/V)混合提取,有良好的回收率且基线平稳。总之,在中性或碱性条件下,用混合溶剂通过LLE方式的提取效果较好。
(2)SPE法可较好地从大体积样品中提取微量被测物,并可避免LLE的乳化现象。姜兆林等考察了用GDX系列树脂固相萃取经酶解后的尿中18种苯二氮卓类原型药物及其主要代谢物的效果,原型药物的萃取率均在80%以上,7-氨基和α-羟基代谢物的萃取率较低,为50%~60%,通过对GDX101、GDX201、GDX301、GDX403、和GDX501的比较发现,除GDX501萃取率低、杂质较多外,其余效果差别不明显。王建国等比较了直接用氯仿萃取、酶水解后用氯仿萃取、酶解后SPEGDX403柱提取尿中咪达唑仑代谢物的效果,结果表明SPE简便、快捷、回收率高、效果最佳。王芳琳等采用SPE对生物体液和脏器中的安定及其代谢物进行提取,血中的平均回收率为84.4%~90.5%,肝中的平均回收率为75.8%~82.4%。李国忠等采用GDX403柱提取、净化尿中唑仑类药物及其代谢物,回收率大于70%。邢若葵等采用自动SPE仪提取、净化尿中的α-羟基*唑三**仑,提取率约90%。King等采用Toxi-LabVGMP3柱固相萃取尿中大多数苯二氮卓类药物,提取物干净,回收率高。Black等采用SPE提取尿中的苯二氮卓类药物及其代谢物,7-氨基氯硝西泮的回收率为95%,α-羟基阿普唑仑、α-羟基*唑三**仑和劳拉西泮的回收率大于66%。Rasanen等用IsoluteConfirmHGX柱提取血、尿中的苯二氮卓类药物及其代谢物,只有7-氨基代谢物的提取回收率较低。张吟等主要是将样品通过已活化好的SPEC18小柱,用水冲洗小柱,弃去水溶液,除去柱上残留水液,再用甲醇冲洗2次,接收甲醇洗脱液,用氮气流挥干,残留物用甲醇-水溶解。总之,有关SPE提取生物样品中苯二氮卓类药物的报道较多,所用的SPE柱有GDX系列、C18等,其效果相差不大。
(3)固相微萃取技术(SPME) 是在SPE基础上发展起来的样品提取、净化技术,其在生物样品中苯二氮卓类药物提取、净化中的应用也有报道。王波等采用SPME对水解后的尿样进行提取富集。SPME由于在样品水溶液酸碱性调整后,完全摒弃有机溶剂反复提取、合并、浓缩及再次调整pH进行酸碱反提、过柱净化等步骤,集采集、净化、进样于一体,装置简单、操作简便,可大大缩短检验时间。1997年的Eisert和Pawliszyn发展了新的In-tubeSPME,与传统的采用纤维吸附的SPME相比,In-tube SPME是完全自动的更有效率的处理技术,它以毛细管气相色谱柱作为萃取基质,提高了萃取基质的选择性,特别是对于极性化合物。In-tube SPME可通过人为设定萃取条件(毛细管柱的类型、解吸溶剂、吸附/解吸次数,吸附/解吸速度等)来达到较高的提取、分离效果,它具有快速、简单、自动、价格便宜等特点,是一项很有效的样品预处理技术。Yuan等运用In-tube SPME处理了尿和血浆中常见的7种苯二氮卓类药物,除血浆中某些药物的回收率较低外,效果均很好。此技术对苯二氮卓类药物的广泛应用还有待进一步研究。
考虑到样品组分的复杂性,有报道应用LLE结合SPE的方法进行提取。黄士新等使用这种技术进行了饲料样品中苯二氮卓类药物的提取、净化,提取剂为正己烷-二氯甲烷(5∶3,V/V),且与无机相良好分层,再过Florisil固相小柱,甲醇洗脱。
3.1.3巴比妥类药物
(1)提取 报道的检测样品主要是血浆、血清、尿样,提取方法主要有三种:用氢氧化钠溶液调节pH至12,放置10min进行碱解。使药物转化为钠盐进入水相,离心分离,上清液用磷酸调节pH为3.0~3.5(酸性),再用有机溶剂萃取净化。或是样品中加入β-葡萄糖酸苷酶磷酸缓冲溶液(pH6.5)于37℃保持60min,使结合的、轭合的药物释放,酶消解条件温和,不会引起药物分解,但必须针对药物的种类选择适当的水解酶。还有直接向样品中加入磷酸缓冲溶液调pH,然后水样直接上SPE柱净化。Shankar等首次报道使用木瓜蛋白酶(papain)和中性蛋白酶(neutrase)从加标肝脏样品中酶解巴比妥酸类药物,回收率高于其他的酶解方法和传统的提取法,这两种酶解法简单,酶便宜并能重复使用。
固体样品(如含有动物组织成分的宠物食品)及动物组织中巴比妥类药物的提取一般选用甲醇做提取剂,提取方法有匀浆提取、超声波辅助提取、SPE、索氏提取和振荡提取。其中索氏提取是经典的提取方法,也是许多国家的标准方法。而振荡法是最常用的方法,该方法简便,设备易得。提取过程常加入无水硫酸钠以提高提取回收率。甲醇提取液吹干,溶于磷酸盐缓冲液(pH7.4),过SPE柱净化。有时为了提高灵敏度,样品中加入β-葡萄糖酸苷酶酶解后,再用甲醇提取。HooijerinkDick等以0.25mol/L盐酸为提取液从骨粉样品中提取戊巴比妥,经超声提取、振荡匀浆和高速离心,用氢氧化钠调节pH为9.8后,利用自动化的Extrelut柱进行萃取,提取戊巴比妥,用5mL乙酸乙酯从Extrelut柱上洗脱药物,提取效率较高。
(2)净化 对于一些杂质含量较低的样品,如尿样、血样等,用LLE简单净化,可直接进行色谱检测。巴比妥酸类药物属弱极性,提取溶剂常用的有氯仿-异丙醇(9∶1,V/V)、*醚乙**、二氯甲烷、乙酸乙醣、乙酸正丁酯。但对生物样品由于其杂质含量高、成分复杂,简单的LLE达不到净化要求,一般常用SPE法净化。
测定生物样品中巴比妥类药物最常用的净化方法是C18SPE柱,如Bond Elut Certify SPE柱,用前用2mL甲醇和2mL 0.1mol/L NaAC(pH7.0)缓冲溶液淋洗SPE柱,水提取液直接上柱,用2mL 0.1mol/L NaAC(pH7.0)淋洗并在真空下抽干,用2mL正己烷-乙酸乙酯(95∶5,V/V)淋洗柱子,弃去;用2mL正己烷-乙酸乙酯(75∶25,V/V)洗脱,吹干,用乙酸乙酯定容,样品溶液进行色谱分析。邱丰和等将一种新型大孔高分子树脂X-5树脂用于血中安眠镇静类药物快速筛选研究。X-5树脂对酸性、中性、碱*药性**物都有较高的吸附率,样品处理速度快,杂质干扰少。冯翠玲等在对多种镇静安眠类药物的多残留分析中广泛应用X-5树脂,树脂先用氯仿、甲醇等溶剂进行前处理,再装成SPE柱,装好的柱子用水冲洗,挤干水分后将提取液过柱,用水淋洗柱子,常用的洗脱液有氯仿-乙醇(1∶1,V/V)、甲醇-乙酸乙酯(1∶1,V/V)、氯仿-甲醇(1∶1,V/V)等。GDX系列大孔树脂是另一种大孔高分子树脂,GDX403SPE小柱是一种常用的SPE柱,使用前用5~10mL甲醇活化,再用4~10mL蒸馏水洗除甲醇,最后用pH6.0(血样)或pH22(肝样)缓冲溶液4mL和4mL蒸馏水平衡柱子,将预制的血样和肝样上柱,再用相应的缓冲溶液和蒸馏水顺序洗柱、抽干,最后用*酮丙**-氯仿(1∶1,V/V)2mL平衡2~5min,再加2~3mL混合溶剂洗脱样品。GDX301是另一种GDX树脂SPE柱,朱昱等将其用于血样中5种巴比妥类药物的GC-MS测定,检测限小于10ng/mL。Hall等使用65μm聚乙二醇-二乙烯基苯(CW-DVB)纤维固相微萃取,成功地从尿样溶液中提取8种巴比妥类药物,并用离子阱GC-MS测定,LOD为1ng/mL。Masae等建立了用直接浸入固相微萃取(DI-SPME)从血样和尿样中提取巴比妥类药物的GC-MS分析方法,并对SPME的影响因素如纤维种类、盐浓度、pH、萃取温度和浸提时间等进行了优化,尿样的LOD为0.01~0.6μg/mL,血样的LOD为0.05~1μg/mL。由于SPME纤维没有选择性,因而许多生物基质中的干扰物也同时被提取,降低了测定的特异性和灵敏度,同时对纤维造成污染。Staerk等采用高温SPME技术克服了这一缺点,他们利用高温(200℃)在一个密封的小瓶中将药物提取液加热,使药物挥发并以蒸汽状态存在,采用顶空SPME技术提取药物,同时在SPME的纤维上涂有衍生化试剂乙酸酐-吡啶,酰基化后,直接进行GC-MS分析,司可巴比妥和苯巴比妥在全扫描模式下LOD为0.5μg/mL。杨瑞琴等用酰胺类化合物和GC固定液(如XAB-2、Tenax)制备了一种新型固相微萃取膜,并成功地分离了尿液中的*啡吗**、苯巴比妥。Tienpont等首先将搅拌棒吸附萃取-热解吸(SBSE-TD)技术与GC-MS在线联用,分析了生物体液、尿液中巴比妥类药物。采用乙酸酐做衍生化试剂,在全扫描模式下,对异戊巴比妥、苯巴比妥、司可巴比妥、海索巴比妥进行检测,LOD为1μg/L,LOQ为5μg/L;在SIM模式下,LOD为10ng/L,SBSE具有相当高的富集有机物能力,且具有通用性和灵敏度高的特点。
3.2检测技术
3.2.1 GC
GC法是在柱层析的基础上发展起来的,是目前典型的、应用最广的仪器分析方法之一。GC法灵敏度高,检出限一般为μg/kg级。GC检测精神类药物残留一般选用ECD检测器,高极性和高沸点的药物还需预先进行衍生化或使用双柱色谱以提高检测灵敏度和选择性。
David等用GC检测人血清中氯丙嗪的检测限为5μg;贺江南采用SPME-GC法测定盐酸氯丙嗪的浓度,线性范围为1~1000μg/mL,检出限为0.84μg/mL,回收率为96.05%。
巴比妥类药物极性较弱,熔点低,加热易挥发,可用GC检测。由于巴比妥类药物含有氮元素,GC的氮磷检测器(NPD)和氢火焰离子化检测器(FID)均能检测,NPD的灵敏度较高,LOD在10~100μg/L,FID的LOD为10~400μg/L。GC分离巴比妥类药物常用色谱柱有DB-5或HP-5弹性石英毛细管柱,氮气做载气;SE-54弹性石英毛细管柱,氮气做载气。检测时采用程序升温,起始温度一般为70℃,终止温度为300℃左右,升温过程及升温速率随检测药物而略有不同。
苯二氮卓类药物极性或沸点偏高,应用GC分析前需要衍生化或采用双柱色谱法,检测过程相对繁琐。姚丽娟等建立了血浆和尿中11种苯二氮卓类药物及其9种代谢物的GC-ECD分析法,样品中分析物的检出限大多数低于10μg/L,其中1-羟基*唑三**仑经三甲硅烷基衍生化后,血浆中最低检出浓度为1μg/L,平均回收率为9.1%~103.7%。国外学者对传统单色谱柱GC法进行了改进,运用DB-5、DB-17双色谱柱/ECD检测血、尿中苯二氮卓类药物,提高了未知药物分析的可靠性。
由于GC的分离能力较强,其在安眠镇静类药物的多种类(苯二氮卓类、巴比妥类、吩噻嗪类)多残留分析中发挥了重要作用,同时分离分析药物达26种以上。杜书明等建立了常见23种药物的毛细管气相色谱分析法,该方法在特定条件下能将样品中23种药物成分同时分离,最低检出浓度为0.02mg/L,平均回收率为86.8%~102.8%(图5-87)。

虽然GC-FID、GC-NPD及GC-ECD等对于定量测定可满足残留分析要求,但对于定性判断确有一定的局限性,对于药物的确证常需借助于MS。
3.2.2 HPLC
HPLC是在传统柱色谱的基础上引入LC理论发展起来的高效分离分析技术。
吩噻嗪类的LC检测一般选用C18柱、紫外检测器(UVD)。田莉等选用流动相为甲醇-水-四甲基乙二胺-冰醋酸(700∶300∶44∶35),检测血清中氯丙嗪浓度线性范围为0.05~10μg/mL,回收率为103.3%。朱砾等选用甲醇、磷酸铵缓冲液为流动相,以安定为内标,检测氯丙嗪的血药浓度,结果表明,批内、批间RSD<8.9%,回收率为92%~94%,最低检测限为10ng/mL,线性范围为25~750ng/mL。尹明兰用乙酸乙酯提取血清中的氯丙嗪,用HPLC同时测定了血清中5种精神药物,浓度在003~100μg/mL范围内线性关系良好,方法回收率为88.6%~98.7%,日内和日间RSD<5.0%。黄士新等以醋酸胺-*腈乙**(35∶65,V/V)为流动相,检测饲料中的氯丙嗪,结果表明其在0.05~50μg/mL.范围内线性良好,最低检测限为0.05μg/mL。范盛先等以为*腈乙**-水-0.5mol/L乙酸铵(50∶49∶1)流动相,氯丙嗪在猪肾中最低检测限为10μg/kg,回收率为83%,批间变异系数均小于20%。Kozuh选用0.05mol/L磷酸盐(pH4.5)-四氢呋喃-*腈乙**(60∶5∶35,V/V),在猪肌肉组织和尿样中,氯丙嗪在2.5~200ng/mL范围内线性良好,最低检测限为2.5ng/mL。
苯二氮卓类检测常用的是UVD和二极管阵列检测器(DAD),反相C18柱,选择适宜的流动相,使安定及其他药同时分离。HPLC法柱效高,分离效果好,灵敏度高,分析苯二氮卓类药物时不需要衍生化,是苯二氮卓类药物残留检测的确证性方法之一。如Aurélie等使用HPLC整体分离柱,以磷酸盐缓冲液-*腈乙**为流动相,以DAD测定人血浆中20种苯二氮卓类药物的含量,除硝西泮外,所有苯二氮卓类药物的检测限均低于血药浓度范围。汤文利等使用同类色谱柱和检测器,改进流动相后,*西泮地**和安眠酮的检测限分别降低至1.2ng/L、4.0ng/L,而且其他镇定安眠类药物对检测效果干扰很小。我国农业部于20.05年发布饲料中*西泮地**测定的行业标准,提出用HPLC/DAD测定饲料中的*西泮地**,该标准适用于配合饲料、浓缩饲料和添加剂预混料,最低检测浓度可达1mg/kg(NY/T934—2005)。Manabu等使用UVD,以*腈乙**-三氯乙酸为流动相,检测血液中多种镇静类药物残留量,盐酸*丙嗪异**、氯丙嗪和氟硝西泮的最低检出浓度分别为0.43μg/mL、0.24μg/mL和0.04μg/mL。黄波等用一种流动相快速分析5种血液中镇静催眠药,色谱条件为:填料YWG-G18柱,流动相为甲醇-水-四甲基乙二胺-冰醋酸(67∶33∶0.4∶0.32),检测波长254nm,以安眠酮为内标,安定的检出限为0.2μg/mL,线性范围04~10μg/mL。刘贵银等指出流动相用甲醇-水即可使各组分流出,但柱压较高,加入*腈乙**可降低流动相黏度,降低柱压,因波长<290nm时空白甲醇色谱图有负峰干扰样品测定,选292nm为测定波长,内标物为己烯雌酚,且避免使用磷酸盐类,减少了对色谱柱的损害。洪燕敏将内标物改为二苯胺,使得线性范围达0.05~1μg/mL,最低检测限为5ng/mL。
HPLC检测苯巴比妥的方法报道较多,这是由于苯巴比妥具有较强的紫外吸收,因而可以直接用HPLC-UV进行测定。由于巴比妥类药物的极性较弱,多采用RP-HPLC测定,常用的LC柱主要是C18柱(10μm、5μm、3μm)和C8柱;常用UVD,检测波长不等,如有254nm、230nm、220nm(苯巴比妥),254nm、250nm、225nm(戊巴比妥);一般以磷酸盐缓冲溶液(pH3.5~7.8)-*腈乙**、甲醇-*腈乙**-乙酸水溶液(pH6.3)、甲醇-水为流动相,用内标法定量测定,LOD最低可达030μg/mL。美国药典规定对苯巴比妥含量测定采用HPLC,采用C18(250mm×4.0mm内径)色谱柱,流动相为甲醇-乙酸盐缓冲液(2∶3,pH4.5),流速为2mL/min,咖啡因为内标,UV检测波长为254nm。巴比妥的HPLC测定方法具有操作简单、分析时间短、样品一般不需衍生处理等优点,但检测的灵敏度有时较低,通常用于测定血药浓度及药物的常量分析等。
此外,LC也被广泛用于巴比妥类药物的多残留分析,Meyler等用HichromSpherisorbCN柱,以甲醇-*腈乙**-5mmol/L乙酸钠(pH6.3)(5∶20∶75,V/V)为流动相,在10min内同时测定戊巴比妥等4种镇静类药物。Tanaka等用键合的2μm多孔硅胶微球做固定相建立了10种巴比妥类药物的HPLC测定方法,与常规的ODS柱相比,此法有更高的灵敏度并缩短了分析时间。Forgacs等研究了45种巴比妥类药物在聚乙烯包被的硅胶柱上的分离情况,以甲醇-水为流动相,每种药物都能获得对称的色谱峰,研究表明药物的脂溶性和原子的空间效应与保留行为有关。冯翠玲等采用C18柱(5μm),DAD利用多波长检测,二组流动相梯度洗脱分析系统,建立了包括安定、巴比妥、吩噻嗪三大类13种安眠镇静类药物的多残留分析方法,线性范围为0.5~10μg/mL。Capella-Peiro等以十二烷基硫酸钠(SDS)-丙醇、丁醇或戊醇为流动相、C18柱为色谱柱,用UVD(λ230nm)检测,建立了血样品中巴比妥、异戊巴比妥、海索巴比妥和司可巴比妥4种药物的胶束液相色谱法(MLC),检测限为30~50ng/mL。Garcia Borregon等采用Micro-HPLC系统和柱后光学衍生化技术,分析了多种巴比妥类药物,克服了一些巴比妥类药物对光不稳定、最大吸收在270nm而不是典型的220nm的缺点,在巴比妥类药物的法医学分析认定中被应用。
3.2.3 TLC
TLC兼备了柱色谱和纸色谱的优点,适用于挥发性小或高温易变化而不适宜用GC分析的物质,缺点是对生物高分子的分离效果不甚理想,在实际应用中受到很大限制。但是TLC作为一种廉价的筛选技术,适用于高熔点的精神类药物残留检测,但不适合巴比妥类药物。有学者报道了一种鉴别中毒者尿液和胃内容物中非巴比妥类安眠镇静类药物的TLC方法,可快速鉴别致毒药物。高青等采用TLC筛选中药制剂和保健食品中包括*西泮地**、阿普唑仑、氯氮卓在内的12种镇静类药物,筛选结果与液质联用方法一致。
薄层扫描法是检测安定的常规方法,用适宜的提取剂将安定类物质从样品中提取出来,经柱层析净化,在薄层板上用适宜的展开剂展开层析,分离,利用其在紫外灯(254nm)下检识斑点,如李太平等以硅胶GF254薄层板,展开剂为氯仿-苯-*酮丙**-甲醇(5∶5∶3∶1),反射锯齿扫描,散射参数为3,测定波长为230nm,参比波长为350nm,测定尿中的安定,最低检出量60ng。目前,高效薄层色谱(HPTLC)也被应用到精神类药物的检测中。有资料报道尿中氟硝西泮代谢物7-氨基氟硝西泮的HPTLC定性分析和半定量分析方法,分析物斑点用荧光胺进行荧光显现,灵敏度高,检测限为5μg/L。HPTLC在保持了TLC简便、快速的特点的同时,弥补了常规TLC在灵敏度和重现性方面的不足,分辨率几乎和HPLC相当。
3.2.4高效毛细管电泳(HPCE)
HPCE是分析科学中继HPLC之后的又一重大进展,使分析科学得以从微升水平进入纳升水平。目前已有多种灵敏度很高的检测器和分离效果很好的分离模式为HPCE提供性能保证。Hancu等研究了一种同时分离检测奥沙西泮、美达西泮、阿普唑仑等8种苯二氮卓类药物的胶束电动毛细管电泳色谱(MEKC),各分析物的检测限为0.22~0.73mg/L,除氯氮卓和溴西泮外的6种组分均有良好的线性范围;另外也有毛细管区带电泳(CEC)用于苯巴比妥残留检测的研究,检测时间只需4.5min。CE也可以与其他分析技术联用以检测违禁精神类药物,目前已经有HPCE与免疫分析、电化学分析等联用技术检测吩噻嗪类药物的相关研究报道。
3.2.5色谱-质谱联用技术
3.2.5.1 GC-MS
GC-MS是目前所有联用技术中最成熟的一种,有完善的图谱标准库。高效的色谱分离技术与质谱法提供的丰富结构信息结合,使GC-MS成为痕量精神类药物分析试验的常规手段。
路平等采用GC-MS法测定猪肝中氯丙嗪的残留量,采用EI电离源方式进行选择离子扫描(SIM),选择离子包括m/z86、233、272和318,方法检测限为1μg/kg,加标回收率为68%~9210%。有报道采用GC-MS同时检测人血液中10种精神药物残留,*丙嗪异**和氯丙嗪在0.50~25mg/L范围内线性关系良好,检出限在5μg/kg以下。朱馨乐等建立了猪尿中*西泮地**的GC-MS检测方法,样品经C18固相萃取后进行GC-MS分析,检测限为0.5μg/L,线性范围为0~500μg/L,平均回收率为70%~120%。GC-MS可以解决以前难以分析的复杂混合物的分离测定问题,在药动学研究方面也是一种很好的方法。吴惠勤等用GC-MS方法同时检测氯丙嗪在内的10种精神类药物,氯丙嗪浓度在0.1~25mg/L范围内线性关系良好,检出限为5.0μg/kg。
Maurer研究了24种巴比妥类药物及其代谢物的GC-MS确证方法研究发现用GC-MS分析确证巴比妥类药物时,巴比妥、戊巴比妥和异戊巴比妥的质谱图很类似,这时需要用色谱保留时间进行区分;一些药物如硫喷妥在GC分离时发生分解,它的分解产物产生与巴比妥相同的质谱图,这时需要用GC与GC-MS综合分析确定药物成分。测定巴比妥类药物,MS可以采用全扫描模式和SIM扫描模式,SIM模式的灵敏度较高;化合物的电离方式有化学电离(CI)源或EI源,LOD最小达0.06μg/L,一般LOD≤10μg/L。为了提高测定的准确度,常使用一些巴比妥类药物做内标物,如海索巴比妥、阿普巴比妥或阿洛巴比妥以及同位素标记的巴比妥如苯巴比妥-d5,另外还有其化合物如丙基解痉素(SKF524)和正二十烷等。巴比妥类药物由于极性较小,可直接净化进样,进行GC-MS或GC-MS/MS测定。如Pocci等建立了测定尿样中异戊巴比妥、布他巴比妥、戊巴比妥、苯巴比妥和司可巴比妥的GC-MS方法。尿样经键合硅胶SPE柱净化,以海索巴比妥为内标,进行离子阱质谱检测。在全扫描模式下,定量限为20~500ng/mL。
由于巴比妥类药物的丙二酰脲环结构氮上有2个氢,可以采用衍生化技术减小药物的极性,提高灵敏度和分离效果,得到更好的峰形,避免托尾峰,提高定性定量的准确性。巴比妥类药物的灵敏度为10~30μg/L,甲基化后降低为0.1~10μg/L,同时衍生化还可有效地克服生物基质的干扰,常用的衍生化方法有提取甲基化、酰基化和硅烷基化。巴比妥酸的l,3-二酰亚氨基团上的2个氢原子被甲基化,得到l,3-二甲基巴比妥酸药物。已报道的文献研究表明一般2个氢原子同时被衍生化,很少有一甲基衍生化物。常用甲基化方法有碘甲烷(CH3I)直接甲基化法,即用*酮丙**溶解净化后吹干的残留物,加入50mg碳酸钾和25μLCH3I,在60℃下,反应1h,吹干后用乙酸乙酯定容至1mL,进行GC-MS分析。或者是瞬时甲基化法,即以二甲基*砜亚**(DMSO)为介质,加入氢氧化四甲铵(TMAH)的25%甲醇溶液,二者用量比为1∶20(V/V),混匀后静置反应2min,吹干后乙酸乙酯定容至1mL,进行GC-MS分析,因此TMAH又称瞬时甲基化试剂。提取甲基化是Liu在1994年提出的另一种常用的衍生化方法,即样品经25%TMAH-DMSO(1∶20,V/V)处理后,再加CH3I密封静置反应5min,然后加盐酸酸解,用异辛烷提取甲基化巴比妥,进行GC-MS分析。除甲基化外,霍秀敏等以N,O-双(三甲基硅烷基)三氟乙酰胺(BSTFA)和三甲基氯硅烷(TMS)为硅烷基化试剂,介质为吡啶,其中吡啶-BSTFA-TMS的体积比为10∶9∶1,此衍生化反应条件简单、快速,多个基团在一步反应中全部衍生化,混匀后,静置10min即可吹干进行GC-MS分析。N-甲基-N-三甲基硅烷基三氟乙酰胺(MSTFA)是另一种常用的硅烷基化试剂。部分巴比妥类药物GC-MS在SIM模式下的检测离子见表5-60。


Norton等采用流动池(flow-cell)和直接沉积(direct deposition,DD)接*技口**术,建立了气相色谱———傅立叶变换红外光谱(FT/IR)测定方法。Hout首先将大体积进样技术和程序生温汽化技术用于巴比妥类药物的残留分析,进样量为50~100μL,建立了生物样品(血样)中的司可巴比妥、苯巴比妥等的GC-MS、GC-FID检测方法,其中GC-FID的LOD为5~10ng/mL,GC-MS在SIM模式下,LOD为250pg/mL,与一般的分流不分流进样(1L)相比灵敏度提高了50倍。
3.2.5.2 LC-MS
LC-MS是一种快速、有效地进行复杂试样分析的方法。LC-MS操作简便、灵敏度高、检测限低、样品不需衍生化,目前作为较为理想的精神类药物残留确证方法已进入实际应用阶段。
我国农业部于2007年发布的以HPLC和LC-MS同步测定饲料中盐酸*丙嗪异**、盐酸氯丙嗪、*西泮地**、盐酸硫利达嗪等的方法,适用于各种饲料中精神类药物的测定,HPLC和LC-MS确证法对该类药物最低检出浓度分别为1mg/kg、0.2mg/kg(NY/T1458—2007);曹莹等用LC-MS检测了猪肉中*西泮地**残留,最低检测浓度达到0.4mg/kg;Hajime等报道了同时测定血清中包含氯丙嗪在内的11种药物的LC-MS方法,氯丙嗪的检测限为1ng/mL。Hajime采用的LC-MS能同时测定出血清中包含氯丙嗪在内的11种药物,氯丙嗪检测限为1ng/mL。
Timothy利用HPLC-四级杆MS确证分析了12种巴比妥类药物,以经甲酸调节pH为3.0的水-*腈乙**(70∶30,V/V)为流动相,研究了在不同电离方式下(EI/CI)的质谱图,并总结了药物的质谱裂解规律。Hori等用LC-电喷雾电离MS对催眠、镇静、镇痛类药物急性中毒者的血液样品进行确证分析,其中包括苯巴比妥、异戊巴比妥和戊巴比妥,血样经OasisHLB(30mg)净化处理,在阴离子模式下,定量范围为1~100mg/mL;在全扫描模式下,最低检测限为05mg/mL。同样Miyaguchi等建立了用SPE-LC-电喷雾电离单级四级杆MS对血样中46种镇静催眠类药物的筛选方法,其中包括5种巴比妥类药物,检测限为0.1~5ng/mL。Heller建立了犬粮中戊巴比妥的HPLC/APCI-MS的测定方法,样品用甲醇提取,C18SPE柱净化,定量离子m/z 182,检测限为40g/mL。
3.2.5.3串联质谱法(MS/MS)
MS/MS是通过两个质量分析器串联方式,以期获得更多有关结构信息的分析方法。MS/MS结合GC或LC,可以克服待测物极性和熔点对单一仪器分析的限制,并且提高了同类药物分析的选择性。近年来MS/MS在精神类药物检测技术中也有较广泛的应用(表5-61)。


按照欧盟对违禁使用兽药残留确证检测的要求,要确证镇静剂类药物至少需要4个识别点(IP)。孙雷等建立了LC-MS/MS方法,选择每种药物的母离子以及对应的两个响应较强的子离子,通过MRM方式进行采集,这样一个母离子获得1个IP,对应的两个子离子各获得1.5个IP,达到了确证检测方法的要求。所测定的10种镇静剂的定性和定量离子对、锥孔电压以及碰撞能量等参数见表5-62,空白猪肉中添加10种镇静剂药物(5μg/kg)的多反应监测色谱图见图5-88。



Zhao等用GC-MS/MS检测猪肉中巴比妥类药物,对巴比妥、异戊巴比妥、苯巴比妥的最低检测浓度分别为0.2μg/kg、0.1μg/kg和0.1μg/kg,三种物质在0.5~50μg/kg均存在良好的线性范围。邓晓军等建立了LC-MS/MS法,同时检测动物性产品中14种苯二氮卓类药物及其代谢物残留量,其定量下限为1.0μg/kg,线性范围为1..0~200μg/kg,各基质的加标平均回收率为64%~117%。Spell等建立了用SFE提取和负离子LC/ESI-MS/MS分析人血中的苯巴比妥、布他巴比妥、戊巴比妥、戊硫代巴比妥的方法,提取利用SFE,在40℃和500atm下,提取35min,用甲醇吸附4种药物,浓缩后进行HPLC分离,分析采用三级四级杆MS,负离子电喷雾(ESI)离子化方法,在多极反应监测模式下,4种药物的检测离子:苯巴比妥(m/z 231.10>188.0)、布他巴比妥(m/z 222.8>179.90)、戊巴比妥(m/z 225.10>181.90)、戊硫代巴比妥(m/z 241.20>58.00)。GB/T20763—2006采用LC-MS/MS法检测猪肾和肌肉组织中氯丙嗪的检测限为0.5g/kg。
3.2.6免疫分析法
应用抗体反应检测样品中微量物质的免疫分析法是利用抗原抗体特异性反应识别和检测样品中微量物质的方法。已有的检测精神类药物免疫分析法包括ELISA、荧光偏振免疫测定法、放射免疫法、免疫分子排阻色谱法、胶体金免疫层析法等。目前已商业化的免疫分析产品有德国Dade Behring公司、美国雅培公司等的苯巴比妥试剂盒,杭州迪恩生物科技股份有限公司的安定类和氯丙嗪试剂盒等。
3.2.6.1 ELISA
ELISA具有操作简便、灵敏度高、高通量和检测成本低等优点。ELISA测试盒提供了更准确快速检测饲料、动物性产品中违禁药物残留的初筛方法。国内研究人员优化了苯巴比妥单克隆抗体的制备方法,研制了苯巴比妥血药浓度监测竞争ELISA试剂盒(PB-Kit),该试剂盒的检测范围为10~128μg/L,检测限为1μg/L,血清样品添加回收率为94.7%;ELISA检测饲料、猪肝中残留*西泮地**的检测下限为0.01μg/kg,提取方法的回收率超过90%,检测总时间在2h以内。有些精神类药物的抗体很难制备,在一定程度上限制了ELISA的广泛应用。
3.2.6.2荧光偏振免疫测定法(FPIA)
FPIA利用样品中待测物和已知量的荧光标记的该物质竞争抗体,根据反应后体系中荧光偏振强度来定量。Mahbub等利用FPIA法分析了镇静类药物中毒患者尿液中的*西泮地**、硝西泮含量,检测浓度在200μg/L以上;美国雅培公司已建立命名为TDX的苯巴比妥荧光偏振免疫快速检测系统,但是检测限有待降低。FRIA总体来说灵敏度偏低,抗体与抗原结构相近的代谢产物易产生交叉反应,准确性和特异性有待进一步完善。
国内外学者对其他免疫分析法,如放射性免疫(RIA)、免疫分子排阻色谱在精神类药物分析检测方面的应用也进行了探索。但这些方法存在放射性污染隐患和需要昂贵的设备等问题,应用面还很有限。胶体金免疫层析法适宜现场检测、操作简单,是一种良好的批量初筛手段,目前已获得巴比妥类药物的胶体金试纸授权专利(CN 2935154Y),有望开发出商品化的检测产品。
3.2.6.3电化学传感器技术
电化学传感器技术是现代生物技术与物理学、化学等多学科、多领域相交叉和结合的产物,集富集、分离于一体。转换元件可以是各种电极(固体电极、离子选择性电极、一次性丝网印刷电极等),目前用于精神类药物检测的电极一般为传统固体电极,尚无应用一次性丝网印刷电极的相关报道。
精神类药物大多数是疏水性的大分子,基本上都是多环或杂环化合物,在一般的裸固体电极上的响应信号很低,故需对电极进行修饰,以获得更好的电响应信号。相关研究如在固相离子选择电极和玻碳电极表面分别修饰四苯基硼酸盐PVC膜和亲脂性纳米单层材料,制成的电化学传感器检测*西泮地**和盐酸*丙嗪异**,检测限为0.1~0.63μg/mL。纳米修饰玻碳电极既可富集待测分子以提高检测的灵敏度,又能显著减少水溶性物质如抗坏血酸等的干扰。Elisa等用修饰碳糊电极伏安传感器测定血液、尿液中的*西泮地**和奥沙西泮。结果发现该传感器检测奥沙西泮电极响应曲线和检测限均较理想,但检测*西泮地**的效果较差。黄菲研究了几种精神类药物在自主装膜、导电聚合物膜修饰电极和多壁碳纳米管修饰玻碳电极上的电化学行为,指出这几种修饰电极制备的电化学传感器具有进行现场*品毒**分析、药物检测的可能性和可行性。传感器技术具有响应速度快、操作简便、易携带、可反复使用、成本低廉等优点,但稳定性较差,目前尚无商品化的精神类药物电化学传感器产品。
目前,将传感技术与分子印迹技术、芯片相结合应用到有害物质检测领域显示出越来越大的开发潜力。分子印迹聚合物(MIP)又称人工抗体,具有特异性识别待测物质的特性。MIP在药物、农药和环境污染物的选择性富集、分离和检测方面已获得应用。有研究制备了苯巴比妥和氯丙嗪的MIP,并建立了氯丙嗪分子印迹化学发光微流控传感器芯片的测定方法。此芯片具有高度识别和在线富集待测分子的功能,改善了化学发光法本身的选择性差和难以用于复杂样品中药物测定的缺点。这种基于分子印迹或芯片技术的传感技术检测违禁精神类药物的报道还很少,但由于其具有独特的优势,必将得到更广泛的研究和应用。