德国开普勒提出行星运动三定律

德国天文学家开普勒
开普勒定律是德国天文学家开普勒提出的关于行星运动的三大定律。第一和第二定律发表于1609年,是开普勒从天文学家第谷观测火星位置所得资料中总结出来的;第三定律发表于1619年。这三大定律又分别称为椭圆定律、面积定律和调和定律。
①椭圆定律:所有行星绕太阳的轨道都是椭圆,太阳在椭圆的一个焦点上。

②面积定律:行星和太阳的连线在相等的时间间隔内扫过相等的面积。

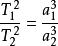
③调和定律:所有行星绕太阳一周的恒星时间(周期T)的平方与它们轨道长半轴(a)的立方成比例,即:

开普勒 (1571-1630), 德国天文学家 。开普勒于1571年12月27日出生在一个德国小市民家庭。他一来到人世间就遭到了许多不幸,天花使他成了麻子, 猩红热 弄坏了他的双眼。
17岁那年,开普勒进入了连蒂宾根大学学习,攻读 神学 ,1591年他获得了神学硕士学位。但因父亲负债累累,使他不得不中途退学。由于他体弱多病,他的父母认为他只适合做一名 牧师 ,因为这个职业轻松一些。可是开普勒的 数学 才华非常出众,当他了解到一些有关 自然科学 的理论之后,就把当牧师的想法抛得一干二净,终于在 奥地利 的一所大学里教了自然科学。
1600年,30岁的开普勒贸然给素不相识的 丹麦 天文学家 第谷 写信。他把自己研究天文学的成果和想法告诉了第谷。第谷看后,对开普勒的才华惊叹不已,立即写信邀请他来当自己的助手。但是开普勒来到第谷的身边仅10个月,老人便去世了。开普勒继承了这位老人留下的非常宝贵的资料,其中包括老人对火星运动的观测。
约翰·开普勒 接替了第谷的工作,开始编制鲁道夫星表。但开普勒的兴趣和注意力却更多地放在改进和完善哥白尼的 日心说 上,在探讨行星轨道性质的研究上。他发现第谷的观测数据,与哥白尼体系、 托勒密体系 都不符合。他决心寻找这种不一致的原因和 行星 运行的真实轨道。
最初的研究从观测与理论差异突出的火星着手。他运用传统的匀速圆周运动加偏心圆来计算,均遭到失败。经过长达4年近70次各种行星轨道形状设计方案的计算,开普勒认识到哥白尼体系的 匀速圆周运动 和 偏心圆 的轨道模式与火星的实际运动轨道不符。于是他大胆地抛弃了统治人类思想达2000年之久的“匀速圆周运动”偏见,尝试用别的 几何曲线 来表示火星轨道的形状。他认为行星运动轨道的 焦点 应该在产生引力中心的太阳上,并进而断定火星运动的 线速度 不是匀速的,近太阳时快些,远太阳时慢些,并得出结论:太阳至火星的半径在一天内扫过的面积是相等的。开普勒把这结论推广到其他行星上,结果也是与观测数据相符。
就这样,他首先得到了行星运行的等面积定律。随后他发现火星运行的轨道不是正圆,而是焦点位于太阳上的椭圆,他把这结论应用于其他行星也是适用的。于是他又得到了行星运行的椭圆轨道定律。这两条定律发表在他1609年出版的《新天文学》一书上。但他对自己取得的成就还不满足。他渴望找到一种能适合所有行星的总体模式,把各行星联系在一起。他坚信存在着一个把全体行星完整地联系在一起的简单法则。
在这个信念鼓舞下,开普勒忍受着个人在家庭方面遭受的巨大不幸,在很少有人了解和支持的困难条件下,经过九年的反复计算和假设,终于在1618年找到在大量观测数据后面隐匿的数的和谐性:行星公转 周期 的平方与它们到太阳的平均距离的立方成正比。这就是周期定律。为牛顿发现万有引力定律打下了基础。
在第谷的工作基础上,开普勒经过大量的计算,编制成《鲁道夫星表》,表中列出了1005颗恒星的位置。这个星表比其他星表要精确得多,因此直到十八世纪中叶,《鲁道夫星表》仍然被天文学家和 航海家 们视为珍宝,它的形式几乎没有改变地保留到今天。
开普勒主要著作有《宇宙的神秘》、《光学》、《宇宙和谐论》、《哥白尼天文学概要》、《彗星论》和《稀奇的1631年天象》等。其中,在《宇宙和谐论》中,开普勒找到了最简单的世界体系,只需7个椭圆就可以描述 天体运动 的体系了;在《彗星论》中,他指出 彗星 的尾巴总是背着太阳,是因为太阳排斥 彗头 的物质造成的,这是距今半个世纪以前对 辐射 压力存在的正确预言;此外,开普勒还发现了大气 折射 的近似定律。为了纪念开普勒的功绩, 国际天文*联学**合会 决定将1134号小行星命名为开普勒小行星。