八年级同学在学习二次根式了,今天我们来探究一道二次根式的计算题。
题目呈现
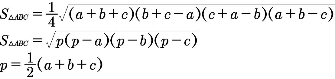
已知三角形的三边是√26,√18和√20,请用下面的海*公伦**式计算这个三角形的面积。

海*公伦**式
开始解题。
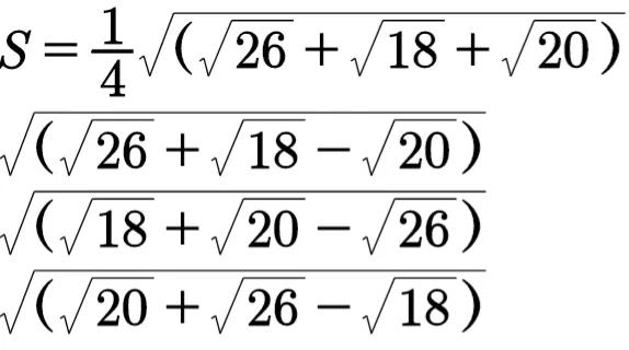
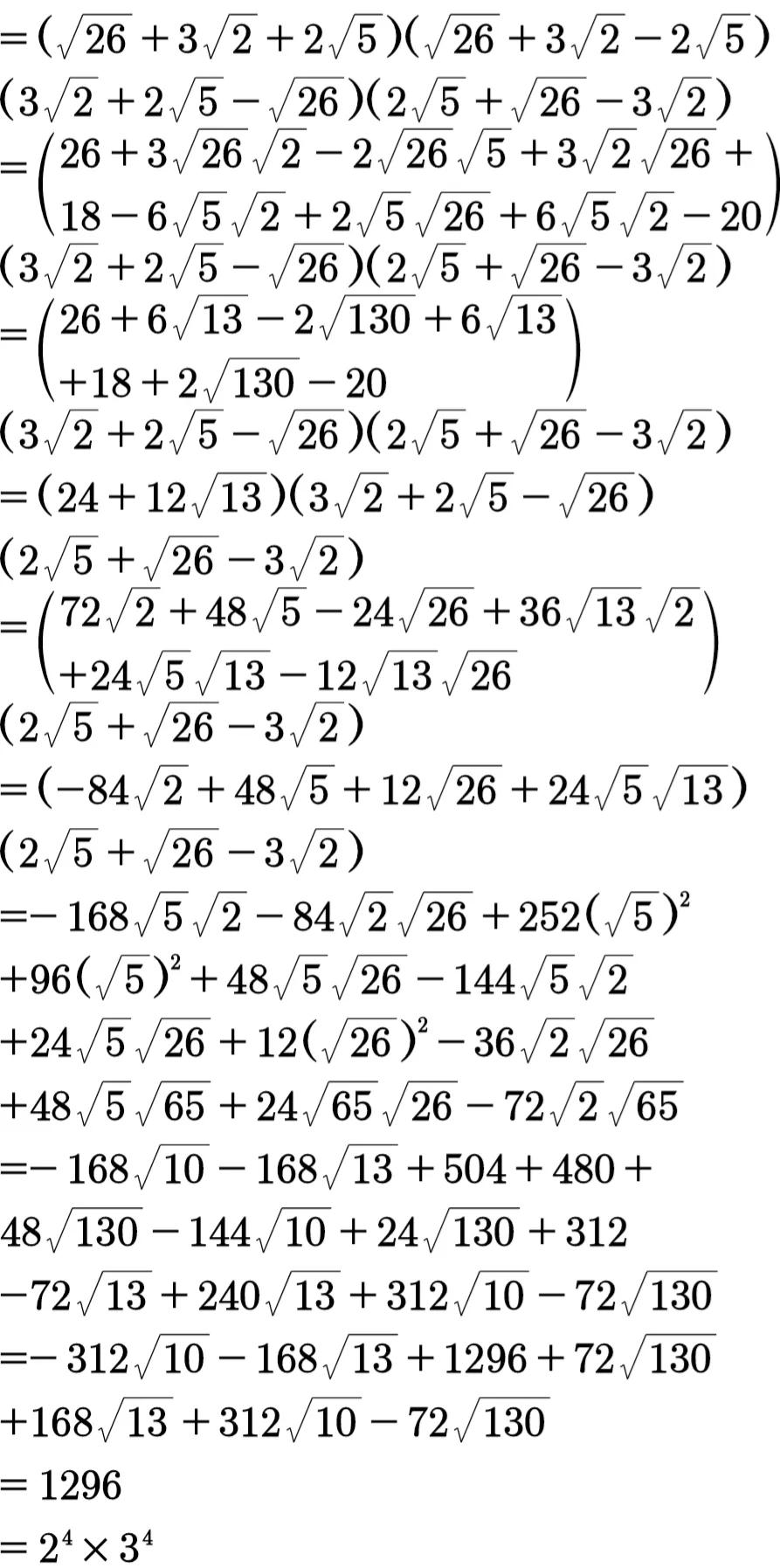
原式=

题目数据代入公式
为了排版和行文方便,以下我们只讨论被开方数。
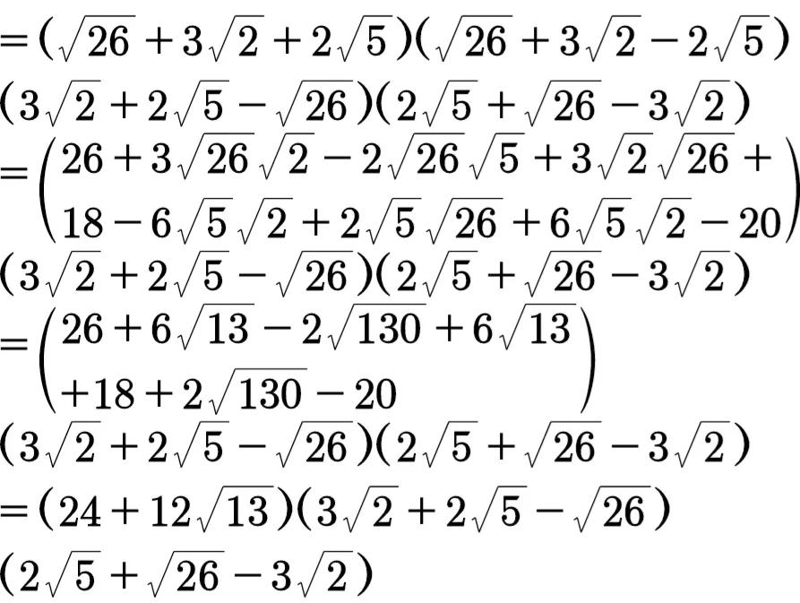
前面两个括号相乘,后面两个括号暂时不动,结果如下图所示:

应用分配律,将第一个括号里的每一项与第二个括号里的每一项分别相乘。这其实就是七年级数学的多项式乘法。
用平方差公式计算也可以得到相同的结果。
整理化简后得到上图。

应用分配律,两个括号进行多项式乘法。
现在只剩下最后两个括号了。再次应用分配律,进行多项式乘法,就可以消灭这两个括号。

离终点越来越近了。合并同类二次根式后,惊奇地发现原式变成了一个自然数开平方。

把1296进行因数分解,结果如上图。反应快的同学已经明白这是一个完全平方数,它的算术平方根等于2×2×3×3=36。
更普遍更一般的方法是笔算平方根,结果如下图所示:

答:题目所求面积为36÷4=9。
如果需要验算,可以用秦九韶公式:

把数据代入公式可得:

答案是9。
总结与回顾
做完题目后,非常佩服出题老师。题目数据设计非常巧妙,最后的答案是一个自然数。
有理数的和差商积还是有理数,无理数的和差商积不一定是无理数。
本题的计算容易出错,同学们做对了吗?

这个被开方数很复杂,由4个括号组成。我们通过正确的计算,一步步化繁为简,最终得知这个数是1296,是一个完全平方数,即1296=36²
简单梳理一下解题涉及的一些知识点。
式子√a(a≥0)叫做二次根式。
二次根式有以下性质:
(i)一个非负数的算术平方根的平方就是这个数,即
(√a)²=a (a≥0)
(ii)一个实数平方的算术平方根等于这个实数的绝对值,即
√a²=|a|
(iii)积的算术平方根等于积中各因式的算术平方根的积,即
√ab=√a√b (a≥0,b≥0)
二次根式的运算法则:
二次根式的加减法,先把各个根式化为最简二次根式,再去括号,把同类根式分别合并。
二次根式的乘法可以运用性质(iii),并参照多项式乘法法则进行运算。
在解题过程中,常常用到下面的公式:

题目背景:
相关链接:【变丑为妍术妙解避暑山庄难题 - *今条头日**】
网页链接https://m.toutiao.com/is/6vqv24w/ - 【变丑为妍术妙解避暑山庄难题 - *今条头日**】 - *今条头日**
一期一会,下期我们继续聊二次根式的话题。不过题目更难,讲解更透彻,论述更全面。敬请期待。
科学尚未普及,媒体还需努力。感谢阅读,再见。