轻松办公-OfficeExcel函数精解
(163)
统计之WEIBULL函数
一、函数功能
返回韦伯分布。
使用此函数可以进行可靠性分析,比如计算设备的平均故障发生的时间。
二、语法
WEIBULL(x,alpha,beta,cumulative)
三、参数说明:
1、参数X:参数值。
2、参数Alpha: 分布参数。
3、参数Beta: 分布参数。
4、参数Cumulative: 指明函数的形式。
四、注解
1、如果 x、alpha 或 beta 为非数值型,函数 WEIBULL 返回错误值 #VALUE!。
2、如果 x < 0,函数 WEIBULL 返回错误值 #NUM!。
3、如果 alpha ≤ 0 或 beta ≤ 0,函数 WEIBULL 返回错误值 #NUM!。
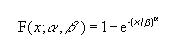
4、韦伯累积分布函数的计算公式如下:

5、韦伯概率密度函数的计算公式如下:

6、当 alpha = 1,函数 WEIBULL 返回指数分布:

五、示例
图例1:韦伯累积分布

图例2:韦伯概率密度

下一篇:《轻松办公-OfficeExcel函数精解(164)统计之ZTEST函数》
更多精彩内容将在以后的章节分享给朋友们,请添加好友至收藏,欢迎点赞并关注后期内容更新!