1.对数
(1)指数式与对数式的互化及有关概念:

(2)底数a的范围是a>0,且a≠1.
函数y=logax(a>0,且a≠1)是对数函数,x是自变量,函数定义域是(0,+∞).
2.常用对数与自然对数

3.对数的基本性质
(1)负数和零没有对数.
(2)loga 1=0(a>0,且a≠1).
(3)logaa=1(a>0,且a≠1).
注:为什么零和负数没有对数?
由对数的定义:ax=N(a>0且a≠1),则总有N>0,所以转化为对数式x=logaN时,不存在N≤0的情况.
4.指数式与对数式互化:
(1)指数式化为对数式,幂作为真数,指数当成对数值,底数不变,写出对数式;
(2)将对数式化为指数式,真数作为幂,对数作为指数,底数不变,写出指数式.
5.求对数式logaN(a>0,且a≠1,N>0)的值:
(1)设logaN=m;
(2)将logaN=m写成指数式am=N;
(3)将N写成以a为底的指数幂N=ab,则m=b,即logaN=b 。
推出对数恒等式alogaN=N(a>0且a≠1,N >0):
因为ax=N,所以x=logaN,代入ax=N可得alogaN=N.
6.性质alogaN=N与logaab=b的作用:
(1)alogaN=N的作用在于能把任意一个正实数转化为以a为底的指数形式.
(2)logaab=b的作用在于能把以a为底的指数转化为一个实数.
7.利用对数性质求解的2类问题解法:
(1)求多重对数式是由内到外, 如求loga(logbc), 先求logbc值, 再求loga(logbc)值.
(2)已知多重对数式的值,求变量值,应从外到内求,逐步脱去“log”后再求解.
8.判断一个函数是否为对数函数:

9.求对数函数的定义域时应遵循的原则:
(1)分母不能为0.
(2)根指数为偶数时,被开方数非负.
(3)对数的真数大于0,底数大于0且不为1.
注:若自变量在真数上,则必须保证真数大于0;若自变量在底数上,应保证底数大于0且不等于1.
.5.2对数运算:对数加减,真数乘除(底数相同时)。
1.对数的运算性质
如果a>0,且a≠1,M>0,N>0,那么:
(1)loga(MN)=logaM+logaN;
(2)loga=logaM-logaN;
(3)logaMn=nlogaM(n∈R).
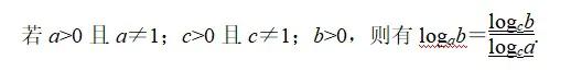
2.对数的换底公式:

需要免费的数学专业指导,请私信我。