学好数学的第一步是“记住并深刻理解公式”,这样在做题时才会有货。应同学们的需求,小编把整理好的高中数学公式分享给大家,还没有记住的同学抓紧时间了!
1.几何与常用逻辑用语

2.复数

3.平面向量

4.算法、推理与证明

5.不等式、线性规划

6.排列组合与二项式定理

7.函数、基本初等函数的图像与性质

8函数与方程,函数模型及其应用

9.导数及其应用


10.三角函数的图形与性质

11.三角恒等变化与解三角形


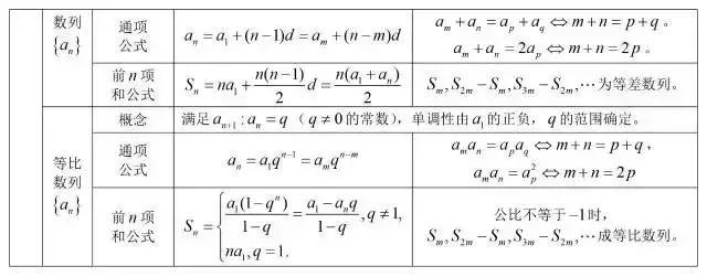
12.等差数列、等比数列


13.数列求和及数列的简单应用

14.空间几何体


15.空间点、直线、平面位置关系


16.空间向量与立体几何

17.直线与圆的方程


18.圆锥曲线的定义、方程与性质


19.圆锥曲线的热点问题

20.概率


21.离散型随机变量及其分布

22.统计与统计案例


23.函数与方程思想,数学结合思想

24.分类与整合思想,化归与转化思想

25.坐标系与参数方程


26.不等式选讲


