热冲压成形工艺及模具技术要点探讨
热冲压成形工艺是汽车行业近年来比较具有影响力的一项专门用于生产汽车超高强度钢板冲压件的先进技术,本文主要对该技术工艺及模具技术要点进行探讨,以期与同行进行交流。 节油减排是当前汽车行业降低汽车使用成本提高产品竞争力、减少排气污染提高企业形象的重要方略,而在节油减排措施中,汽车轻量化的效果最为明显,汽车重量每降低100公斤,每百公里可节约大概1.6升燃油。因此,塑料、铝合金、碳纤维、高强度钢板等各种替用材料开始在汽车制造中采用。其中,采用高强度钢板可以减少零件料厚、减小零件截面尺寸使零件重量减轻。或减少零件数量使车重减轻,这些替用材料在实现汽车轻量化和提高汽车的安全性能方面比其他材料有明显的优势,可以同时满足汽车轻量化和提高安全性能的要求。因此,高强度钢板在汽车领域的应用越来越广泛。
热成形技术是专门应用于成形超高强度钢板冲压件的成形技术,该技术以板料在高温状态下冲压成形并同时在模具内冷却淬火,可以成形强度高达1500MPa的冲压件。目前广泛应用于轿车的车门防撞梁、前后保险杠等保安件以及A柱、B柱、中通道等车体结构件的生产,如图1所示。

图1 热冲压成形应用零件
热冲压成形工艺 热冲压成形原理及流程 热冲压成形技术原理是把特殊的超高强度硼合金钢板加热到880~930℃,使坯料奥氏体化,随后将坯料送到带冷却系统的模具内冲压成形,在成形同时由模具表面将坯料冷却、淬火,使之发生相变,将奥氏体转化为马氏体,成形件因而得到强化。成形前硼合金坯料强度一般在500~600MPa,成形后的冲压件强度可以达到1500MPa,强度提高250%以上,零件硬度达到50HRC,但是伸长率下降比较大,成形前硼合金钢板伸长率可达24%以上,成形后伸长率只有8%左右,所以热冲压成形技术也被称为“冲压硬化技术”。其工艺流程如图2所示。

图2 热冲压成形工艺流程
热冲压成形工艺选材 目前,热成形用钢均选用硼合金钢,因微量的硼可有效提高钢的淬透性,使零件在模具中以适当的冷却速度获得所需要的马氏体组织,从而保证零件的高强度。目前热冲压成形用钢有4种:Mn-B系列、Mn-O-B系列、Mn-Cr-B系列、Mn-W-Ti-B系列。其中,汽车覆盖件热冲压成形钢板一般分为带涂层钢板以及不带涂层钢板。
其中,无镀层钢板成本低、焊接性能好,但其加热、冲压过程中有氧化皮产生需要进行喷丸处理,零件存储过程易生锈,耐腐蚀性能较差。22MnB5钢是典型的热冲压高强度无镀层钢板。22MnB5在不同加热温度下,抗拉强度随温度而变化(如图3)。从图3中可以看出,随温度的增加,板料抗拉强度在900℃时出现最大值,温度继续增加,抗拉强度呈现下降趋势。板料在加热温度为900℃时,表现出的力学性能较佳。板料要达到抗拉强度为1500MPa,温度在930℃左右即可,强度是普通钢板强度的3~4倍。
热冲压镀层钢板按镀层成分体系划分,可分为铝硅(Al-10Si)镀层、电镀锌镍(Zn-10Si)镀层、热镀纯锌(GI)层和合金花锌铁(GA)镀层,相比无镀层板材,其优势为:加热炉在生产过程中无需保护气体;热冲压件在加热、冲压过程中无氧化皮产生,无需喷丸处理,对模具无影响;零件在储存过程中不生锈,耐腐蚀性能好。其缺点为:目前比较成熟的汽车覆盖件用热冲压镀层钢板只可从国外采购,成本相当高;当板料加热到一定温度时,镀层易和加热炉陶瓷辊粘结,需定期更换陶瓷辊,年维护成本较高。

图3 抗拉强度随温度变化曲线图
热冲压成形生产工艺
热冲压成形直接成形生产工艺 热冲压成形直接成形工艺是指板料加热到奥氏体化温度保温一段时间后直接放到具有冷却系统的模具里进行成形及淬火,如图4所示,其优点如下:
(1)坯料在一套模具中进行成形及淬火,节省了预成形模具费用并加快了生产节奏;
(2)坯料加热前为平板料,这样不仅节省了加热区面积,节省能源,而且可以选取多种加热方式,例如可以采用感应加热炉进行加热。
热冲压成形直接成形工艺缺点是复杂的车门内零部件成形困难,且模具冷却系统的设计更加复杂,需要增加激光切割设备等。

图4 热冲压成形直接成形工艺图
热冲压成形间接成形生产工艺
热冲压成形间接成形工艺是指板料先经过冷冲压进行预成形,然后加热到奥氏体温度,保温一段时间后放到具有冷却系统的模具里进行最终成形及淬火,如图5所示,其优点是:

图5 热冲压成形间接成形工艺图
(1)可以成形具有复杂形状的车内零部件,几乎可以获得目前所有的冲压承载件;
(2)坯料预成形后,后续热成形工艺不需要过多考虑板料高温成形性能,就可以确保板料完全淬火得到所需要的马氏体组织;
(3)坯料预成形后可以进行修边、翻边、冲孔等工艺加工,避免淬火硬化后加工困难问题,例如板料淬火后修边须用激光切割设备修边,这会大大增加加工成本。
局部热冲压成形生产工艺
为了提高高强度钢板冲压零件吸收碰撞能量与阻止入侵等性能,国外一些发达的汽车企业已经研制出局部加热形式,即对同一个料片差别加热,使料片体现不同的特性,即局部强化。局部加热方式有两种:模具局部加热(图6)与料片局部加热(图7)。 图6 模具局部加热方式(控制冷却速度)

图7 料片局部加热方式
局部加热热冲压成品件低强度部位强度约为800MPa,加热部位强度约为1500MPa,这样既满足了车体吸收碰撞能量强度要求也满足了阻止入侵的强度要求。
热冲压成形及冷冲压成形工艺零件质量对比
热冲压成形零件特点
(1)由于选择在高温下成形,不带涂层冲压零件表面存在氧化,表面质量不佳;
(2)零件在冷却过程中由于温度分布不均匀,易产生热应力和热应变;
(3)由于材料的高塑性,在成形过程中零件不易起皱和破裂,基本没有回弹,尺寸稳定性比较好;
(4)材料经过加工变形和快冷,晶粒得到了细化,力学性能得到了很大的提高;
(5)材料经过变形和硬化后,强度提高,冷冲压切边冲孔已无法达到工艺和零件精度的要求,需要利用激光或等离子切割设备完成。
冷冲压成形零件特点
(1)由于是在室温下成形和采用冷轧板,零件表面光滑;
(2)由于材料的塑性有限,在成形过程中零件易起皱和破裂,易回弹,尺寸稳定性比较差;
(3)材料在加工过程中产生了加工硬化。
热冲压成形模具技术要点
相对于常规的冷冲压模具仅用于零件的成形,热冲压模具不但用于成形,还要用于给零件冷却淬火,因此其模具更加复杂,对模具材料选择、模具设计等方面提出了更加严格的要求,如图8所示。

图8 热冲压成形模具
在模具材料选择方面,热冲压模具材料首先要有良好热传导系数,确保钢板与模具表面之间的快速传热,实现良好的冷却功能。模具材料还要具备良好的热强度、热硬度、高的耐磨性和热疲劳性,保证模具内板冷却管道不被冷却介质锈蚀堵塞,因此国外一些热冲压模具材料中都含有较高的Ni和Cr。在模具材料选择时,一般要根据具体的工作情况,参照热锻造模具钢进行选择。
在模具凸凹模设计方面,不能照搬冷冲压模具的设计方法,因为热冲压工艺回弹很小,几乎无须考虑回弹对零件形状的影响,另外还需考虑热胀冷缩对零件最终尺寸和形状的影响,并以此为基础设计凸凹模具的关键尺寸。
在冷却机构设计方面,冷却系统必须保证模具对零件的快速、均匀冷却,冷却管道的总体布局、形状、直径、冷却管与模具工作表面、非工作表面以及冷却管之间的距离、冷却系统密封等都是冷却机构设计的关键所在,也是热冲压成形模具设计的最重要技术之一。设计冷却管道系统时,可以结合数值模拟技术对各管道内的冷却介质流动情况进行模拟分析,使各管道都具有相同的冷却效率,保证冷却的均匀性。
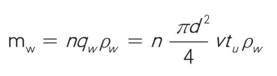
目前行业比较成熟的冷却水道计算公式及布置标准如下(冷却水道的计算公式):

式中,mw为单位时间内流过模具的水的质量(kg/ h);n为管道数目;qw为单个管道冷却水流量(m3/ h);ρw为冷却水在一定温度下的密度(kg/m3),取1000kg/m3;d为冷却水孔直径(m); v为冷却水流动速度(m/s); tu为单位时间,1h=3600s。

式中,Re为雷诺数; w为运动粘度(m2/s),10℃ 时,w=1.3077×10-6m2/s。20℃ 时,w= 0.805×10-6m2/s;管道雷诺数Re<>e>4000为紊流状态,2300≤Re≤4000为过渡状态。
冷却水道布置
冷却管道直径10~14mm;相邻管道中心距为17~20mm;管道中心距形面最小距离大于15mm。每个镶块的冷却系统相互独立,相邻镶块之间冷却水道互不连通。一般来说,模具凸起区域不利于热量向模具传递,凹形区域热量易向周围传递,在连续生产中,需在模具凸起区域设置冷却管道;在圆角过渡区容易产生热量集中,使零件该位置硬度较低。在连续生产中,需在模具圆角过渡区开设冷却管道。
热冲压成形模具设计开发是热成形关键技术,它不同于传统的冷冲压成形模具,它是冷却协调优化设计、冷却管道加工、计算机仿真分析技术、传热模拟等技术的集成,最终达到成形、冷却、组织性能优良的完美结合,其开发流程如图9所示。

图9 热冲压成形模具开发流程图 结束语 实现车身轻量化是一个系统的工程,需要全面考虑材料、设计、制造工艺技术等各方面的问题;新材料的应用离不开新成形制造技术的发展。随着汽车行业的竞争和社会发展对汽车提出的更高要求,促使了超高强度钢板在汽车上的应用,从而促进了热冲压成形技术的诞生和发展,反过来热冲压成形技术的应用推广和需求也会不断促进超高强度钢板材料更进一步的开发和性能提升,实现更高层次的汽车车身轻量化,实现社会发展对汽车行业节油减排,提高汽车安全性能的更高要求。
现在很多学习模具设计的小伙伴越来越多,很多人问我有没有资料,第一本书看什么比较好,根据你们的需求,我将一些模具设计的资料进行了分类管理,希望你们能在模具行业前途无量。私信回复我“资料"即可领取 !
