1.直角三角形中的锐角三角函数
初中数学中第一次接触三角函数,是为了在直角三角形中表示边长之间的关系。

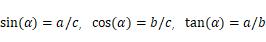
在图中的直角三角形中

角度α的范围为0°~90°,即弧度0~π/2,可以将上述三角函数看作自变量取值范围为(0, π/2)的函数。
2.任意角的三角函数
锐角三角函数的局限性太明显了,与上篇文章《角度扩展之任意角与弧度角》中角的范围扩展类似,三角函数的自变量取值范围也可以相对应地扩充到整个实数集。

现在我们来重新定义三角函数,将角的范围扩充。以原点A为圆心作半径为r的圆,圆上任意一点B的坐标为(x, y),半径AB与x轴形成夹角α(实数集上的任意角),则定义

上述定义中,正弦函数和余弦函数对任意实数角都存在函数值,正切函数要求x不能为0,其自变量的取值范围应为

3.单位圆中的三角函数
上述定义中涉及到圆的半径r,由于r可以取任意正实数值,为了更加简化三角函数的定义,我们令r=1。

即在圆心在原点的单位圆中,任意角的三角函数定义简化为

正切函数的角仍然不能为π/2的奇数倍。
这样一来,我们就把三角函数的定义域扩充到实数域之内。根据任意角的定义,单位圆上任意一点都对应无数多个角度,它们之间的差值为2π的整数倍。换个角度理解就是,相差为2π的角对应的正弦值、余弦值、正切值都相同。正弦函数、余弦函数在实数范围内是周期为2π的周期函数,而正切函数实际上为周期为π的周期函数。