作者:ADI产品应用工程师Lluis Beltran Gil
摘要
评估板(EVB)及其配套软件具有即插即用功能,可轻松评估ADI产品的性能。其图形用户界面(GUI)提供了直观的方式,可进行手动配置并与该设备通信。但是,在更复杂的产品中,如果不能自动处理这些重复性任务,那么在评估所有可用功能的同时,扫描产品的所有附加功能可能会变得非常耗时。
文中说明了如何记录宏,以及如何无需开发复杂的软件控制器代码,也能在Python®和MATLAB®环境中使用宏来自动处理某些评估任务。本文以ADI的AD7380 和 AD7606C-16为例自动处理所有用户交互,用于扫描不同的配置,发起转换,然后导出结果。通过使用这些示例,来自动评估过采样数字滤波器带给模数转换器(ADC)的性能优势。虽然本文着重介绍AD7380和AD7606C-16,但文中的信息也适用于ADI的其他产品和应用。
简介
ADI提供了一些方法来轻松评估每次发布的新产品及其可实现的性能和特性。首先,我们的评估板由印刷电路板(PCB)(集成主要器件,例如ADC)和所需的配套产品(例如基准电压源、驱动放大器、时钟源、电源解决方案等)组成。其次,这些板附带的软件可以展示解决方案可实现的实际性能。它展示了使用该平台可以获得的真实数据。在过去几年中,ACE软件1平台一直用于此目的。
在ACE平台中,每个产品都有一个插件,通过简洁明了的GUI访问设备寄存器映射,从而简化了设备配置。
在ADC示例中,ACE通常以波形或直方图的形式显示原始数据,并通过FFT计算AC性能指标,例如SNR或THD。本文展示如何无需进行软件开发自动处理所有这些程序。

图1.评估板的硬件和软件交互框图,包括ACE与Python/MATLAB的通信。
ACE插件
图2显示AD7380插件芯片视图,其中包含多个按钮,以便轻松配置该器件:
- REF允许选择内部或外部基准电压源
- OSC可以启用过采样,并设置过采样率

图2.AD7380的ACE插件芯片视图
图3显示AD7606C-16插件芯片视图,其中多个按钮用深蓝色突出显示,可用于:
- 通过单击PGA符号选择每个通道的模拟输入范围
- 选择内部或外部基准电压源
- 选择过采样率
- 配置偏置/增益/相位校准功能
- 配置诊断

图3.AD7606C-16的ACE插件芯片视图
虽然前面的示例使用ADI AD7380和AD7606C-16,但本文不止介绍这些产品,还包括与ACE配套使用和用于自动处理重复性任务的所有其他器件。每个ACE插件都有自己的GUI布局。但是,随着产品日益变得复杂,添加的功能越来越多(例如诊断、校准等),手动测试所有这些功能也会变得更加复杂和繁琐。ACE远程控制能够设置或扫描参数,例如,扫描过采样率和测量噪声性能的改善程度。
设置ACE远程控制
在开始编写远程控制ACE的代码之前,需要先按照以下步骤与ACE建立通信:
- 打开ACE,前往 设置
- 找到 IPC服务器 选项卡,确保已启动该服务器
- 确保已分配了一个端口,最好是2357

图4.与ACE建立通信
记录宏,生成脚本
ACE提供 宏工具 菜单,通过将配置和设备交互步骤存入宏文件进行记录。生成宏之后,可以使用该宏来一次性自动重复所有步骤。以下是生成宏的步骤:
- 打开ACE,进入 工具 >> 宏工具。
- 点击图5中蓝色高亮显示区域中图标右侧的记录宏命令按钮。
- 开始执行设备交互,例如更改参数、向存储器映射中的寄存器输入值、捕捉数据等。在浏览和使用GUI时, 命令 窗口中会填入信息。
- 在记录要输入的所有操作/设置之后,点击 停止记录宏命令 按钮。按钮在上述同一位置。将会自动弹出命令窗口。
例如,在记录宏时,用户使用图2中所示的按钮配置过采样率和分辨率模式。命令窗口如图5所示。

图5.命令窗口和宏工具
在这个窗口中,可以查看记录的所有步骤,甚至可以跳过/中断任何无需自动生成的步骤,然后将整个程序导出到一个可选择语言的脚本中,如图5中红色高亮部分所示。
记录宏文件之后,可以再次保存和*放播**,以重复之前执行过的步骤。ACE有一个内置功能,可以生成脚本,按照所选的受支持的语言执行记录的操作。所以,按照之前的列表,接下来的步骤是:
- 点击图5中蓝色高亮显示区域右侧的 生成 图标,打开脚本生成器窗口。
- 从C#、MATLAB或Python中选择所需的语言,然后点击 导出 。
之后,可以将该代码导入IDE中执行。以这段代码为基础,添加额外的功能,例如仪器控制,构建自动测试台,以获取测量结果。2接下来的章节中显示的示例使用Visual Studio Code或MATLAB,这些示例仅使用产品评估板来执行噪声分析,不使用任何额外的设备。如需查找用于管理、存储或对收集到的数据进行绘制的代码示例,如接下来的几个章节所示,请访问 wiki.analog.com并搜索相关的评估板。

图6.使用Python语言的ACE代码生成编辑器
使用Python自动处理评估任务
上一节中生成的.py文件可用于轻松启用和重复之前记录的一系列操作。此外,通过编辑这些脚本和自动处理某些任务,还能获得更大的益处。在前面的示例中,在AD7380 ACE插件中设置了过采样率和分辨率,对生成的宏进行了编辑,以便使用输入参数,如图7所示。注意,默认情况下,这些宏被称为execute_macro(),但可以将这个名称更改为更具描述性的名称。

图7.编辑Python函数,以便使用输入参数
这些宏现在可以在内部调用实现循环,扫描过采样率值,显示噪声性能如何随着过采样率提高而改善,以及启用两个额外的分辨率位带来的好处。

图8.这些指令用于实现循环,该循环扫描过采样率,打开和关闭两个额外的分辨率位。
因此,Python示例代码访问导出的数据文件,读取ACE插件测量的SNR数据,并通过串行*控器监**报告数据。如表1所示,过采样可以改善噪声性能3,但在某些情况下,为了展示AD7380显示为18位字,而非16位字带来的真正优势,需要两个额外的分辨率位。
表1.AD7380 SNR与过采样率的关系
|
OSR |
动态范围 (正常分辨率) |
动态范围(提高分辨率,18位) |
|
1 |
90.8 dB |
90.8 dB |
|
2 |
92.6 dB |
93.6 dB |
|
4 |
94.3 dB |
96.5 dB |
|
8 |
95.8 dB |
99.2 dB |
|
16 |
96.3 dB |
100.4 dB |
|
32 |
96.5 dB |
100.5 dB |
使用MATLAB自动处理评估任务
与Python示例一样,自动生成的代码也可以导出用于MATLAB中,在本例中生成一个.m文件。在本例中,宏被定义为一个函数,但可以对宏进行编辑,以便使用输入参数。以下MATLAB示例使用AD7606C-16板。
同样,可以通过自动使用ACE来轻松评估AD7606C-16的过采样优势。图9显示一个MATLAB函数,经过编辑后可以使用多种参数,例如吞吐量、样本数量、接口类型(串行或并行)、基准电压源(内部或外部)、过采样率、数字走线数量或模拟输入范围。

图9.编辑MATLAB函数,以便使用输入参数
这个特定函数可以在主代码中使用,以快速启用不同配置的数据采集,轻松执行多个AD7606C-16指标比较,例如:
- 噪声性能与过采样率
- 性能与吞吐量
- 性能与模拟输入范围
- 内部基准电压源与外部基准电压源
- 串行接口与并行接口等等。
注意,这只是以AD7606C-16为例;根据所评估的产品不同,可能需要执行多种不同的性能评估。
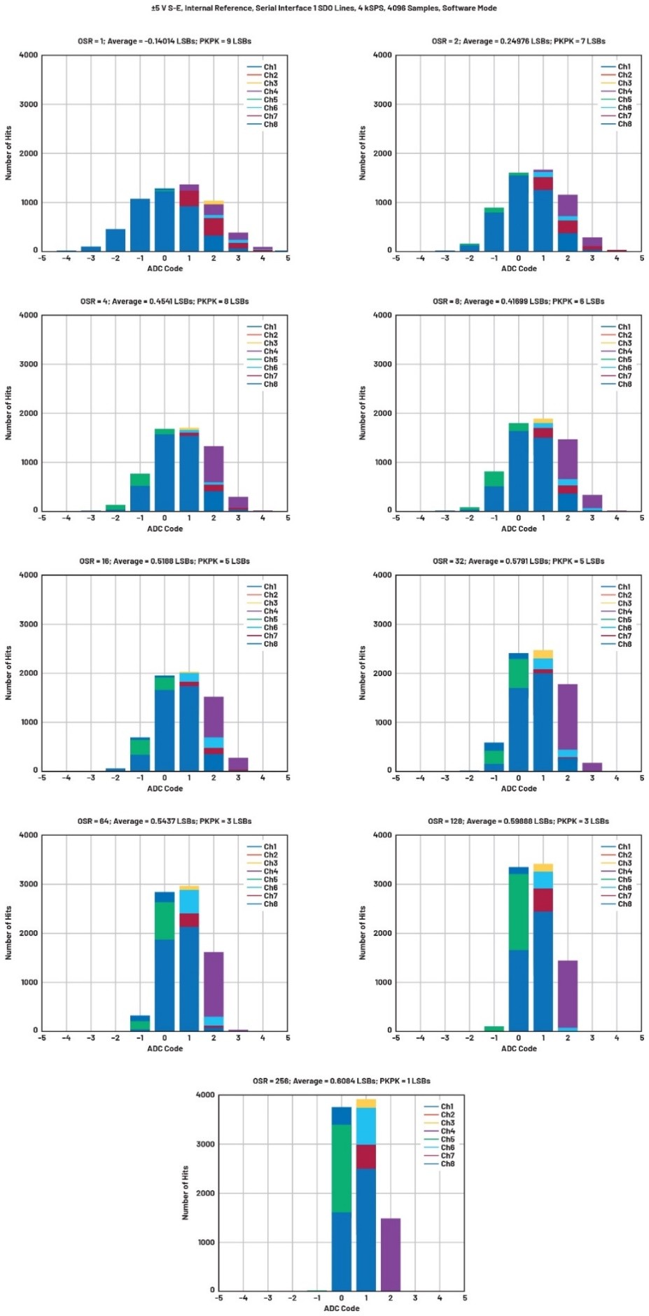
您可以访问wiki.analog.com 4查看AD7606C-16的使用说明,包括可用的源代码。其中介绍了如何生成宏代码,也给出了后期处理数据的示例。OversamplingSweep.m示例扫描过采样率,针对每个值绘制代码直方图。如图10所示,过采样率越大,代码直方图越窄。表2也显示代码的峰峰值分布如何随过采样降低。
表2.AD7606C-16的代码分布与过采样率的关系
|
OSR |
峰峰值(LSB) |
|
1 |
16 |
|
2 |
13 |
|
4 |
12 |
|
8 |
10 |
|
16 |
7 |
|
32 |
6 |
|
64 |
4 |
|
128 |
4 |
|
256 |
2 |

图10.代码直方图显示噪声性能如何随过采样率改善。可使用简单脚本扫描可用的多种过采样率选项(高达256个)
结论
新型ACE平台可作为新评估板的软件框架,由于能够记录宏,对于希望加快ADI产品评估工作速度的硬件设计人员来说,这是一个有利的工具。这些宏通过行业通用的编程语言,例如Python或MATLAB助力实现测试自动化。自动处理这些任务反过来又会加快产品评估和选型,帮助加快上市时间,缩短硬件设计周期。有关此主题和其他主题,可访问EngineerZone™获取更多支持,也可访问 wiki.analog.com,获取更多远程控制示例。
参考资料
1 “分析 | 控制 | 评估(ACE)软件。”ADI公司
2 “AD5791 ACE远程控制。”ADI公司,2020年2月。
3 Jonathan Colao。“适用于微型电机驱动应用的快速反应、光学编码器反馈系统。”模拟对话,第54卷第2期,2020年4月。
4 “AD7606B/C ACE远程控制。”ADI公司,2021年2月。