在阅读此文之前,麻烦您点击一下“关注”,既方便您进行讨论和分享,又能给您带来不一样的参与感,感谢您的支持。

编辑|暹罗
前言
使用制冷剂R-404A的蒸发压缩制冷装置的性能参数。每一千瓦制冷量下的各种性能参数,包括质量流量、压缩机功耗、冷凝器散热率、压缩机出口温度和性能系数。在不同的蒸发和冷凝温度下测试了两个制冷循环:标准循环和具有过热和亚冷的理想循环。
一、R-404A作为替代制冷剂的引入

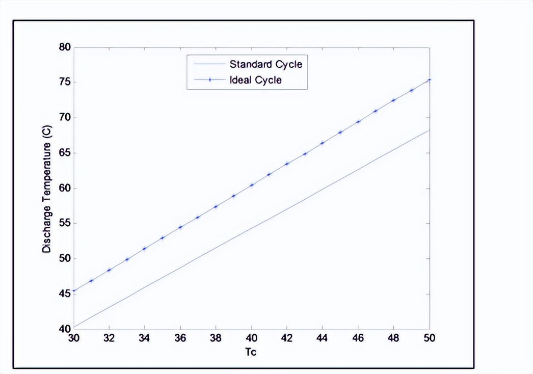
在Tc = 40℃下,从蒸发温度范围-10℃到15℃,标准循环的压缩机功率变化降低了38.8%,理想循环的降低了43.8%。在Te = 10℃下,从冷凝温度范围30℃到50℃,标准循环的压缩机功率变化增加了122%,理想循环的增加了54.5%。另一方面,对于制冷剂R-404A,在Te = 10℃和Tc = 40℃下,具有5℃过热和亚冷的理想循环的性能系数比标准循环高约25%。
由于氯氟烃(CFCs)和氢氯氟烃(HCFCs)对环境产生负面影响,几种化学物质正在逐步淘汰。 替代制冷剂如R-404A,它是一种混合物,是近共沸混合物(44% R125、52% R143a和4% R134a)的无色、无味混合物,被用作替代臭氧消耗制冷剂。Motta等人[1]实验性地研究了近共沸混合物R-407a和R-404A在绝热毛细管中的临界流动。

为环保制冷系统的发展做出贡献。Zhang和Webb通过修改Friedel关联提出了一个新的小直径管道两相摩擦压降相关性。Motta等人通过视觉研究了R-404A/油在绝热毛细管中的流动,特别关注蒸发点的行为。结果显示了质量流量的趋势,并为不同油浓度和工况下蒸发点的位置提供了一些有用的见解。
Ould Didi等人预测了五种制冷剂(R-134a、R-123、R-402A、R-404A和R-502)在两个水平测试截面中蒸发过程中的两相压降。 然后将这些数据与七种两相摩擦压降预测方法进行比较。观察到在高蒸汽质量率下的两相摩擦压降峰值与环流流动区域的干燥起始相一致。

Llopis等人从能源角度对R-404A和R507A制冷剂混合物在由复合压缩机驱动的实验性双级蒸发压缩装置中进行了实验性能评估。Zhou等人在激光手术中使用制冷剂R-404A进行了脉冲喷雾冷却的实验研究。具有低沸点(1大气压下-45.5℃)和高挥发性的冷冻剂R-404A具有替代当前R-134a(1大气压下-26.1℃)以改善连续激光治疗中深色皮肤的治疗效果的潜力。
实验性地研究了HFC-134a和R-404A在水平光滑管和微细翅片管内的冷凝过程中的传热情况。他们基于实验数据提出了新的关联式,用于预测各种工况下的冷凝传热系数。Chena和Kruseb开发了一个仿真程序,用于研究空调系统中混合制冷剂R-404A、R-32/134a和R-407C的浓度变化。
该程序用于预测替代制冷剂混合物R-407C、R-32/134a和R-404A的浓度变化及相关性能变化。 这种仿真技术广泛应用于测试不同条件下使用不同制冷剂的制冷系统,可以降低使用实验测试的实验室设备成本和工作量。

Jung和Radermacher 对装有纯制冷剂和混合制冷剂的单蒸发器家用冰箱进行了计算机模拟,旨在筛选出最佳的R12替代品。他们建议采用更高效的换热器作为提高能源效率的手段之一。Alshqirate
二、制冷剂R-404A的热力学性质转换为简化方程
使用计算机模拟技术研究了使用制冷剂R-407c而不是R-22的窗式空调机组的性能。Joudi等人提出了一项关于汽车空调系统的实验和计算机性能研究,采用了替代制冷剂。主要部分是对在原型汽车空调系统中使用R290/R600a作为R-12替代品的实验调查。

结果与文献中的实验和理论结果具有良好的一致性。杜邦根据广泛的实验测量结果开发和提供了R-404A的热力学性质表。
开发了计算机模拟软件,用于研究使用制冷剂R-404A的制冷装置的各种性能参数。通过使用饱和标准制冷循环和具有过热和亚冷的理想循环,获取了不同蒸发器和冷凝器温度下的性能参数。
标准制冷循环和具有过热和亚冷的理想循环可用于预测蒸汽压缩循环的性能,这需要完整的制冷剂热力学性质数据。 标准蒸汽压缩循环由图2中所示的等压冷凝器和蒸发器的传热、等熵压缩和不可逆绝热膨胀组成。

具有过热和亚冷的理想蒸汽压缩循环的状态。标准循环的各种性能参数按每千瓦制冷量计算,即:每千瓦制冷量中的制冷剂质量流量m(kg/s)可以计算如下:
he,o = 蒸发器出口并进入压缩机的比焓,单位为 kJ/kg。he,i = 进入蒸发器并离开冷凝器的比焓,单位为 kJ/kg。压缩机功率,,以每千瓦制冷量计算,单位为 kW,可以表示为:
hc,o = 压缩机出口处的比焓,等于进入冷凝器的比焓,单位为 kJ/kg。冷凝器中的放热量,,以每千瓦制冷量计算,单位为 kW,可以表示为:性能系数,COP,通过将制冷效果除以压缩机功率获得:
三、标准循环和理想循环的计算方法

为了使用计算机模拟计算研究中考虑的制冷循环的性能参数,需要用简单的方程形式来呈现所使用的制冷剂的热力学性质。正如之前提到的,杜邦已经开发并提供了R-404A的热力学性质表。所有这些数据都经过处理并转换为简单的方程。这些方程如下所示:
饱和蒸汽(Tg)温度:
Tg = A11 (P)3 + A12 (P)2 + A13 (P) + A14,饱和蒸汽(Pg)和饱和液体(Pf)压力:Pg = B11 (T)3 + B12 (T)2 + B13 (T) + B14,Pf = B21 (T)3 + B22 (T)2 + B23 (T) + B24,饱和蒸汽(hg)、饱和液体(hf)和过热(hs)比焓:hg = C11 (P)3 + C12 (P)2 + C13 (P) + C14,hf = C21 (P)3 + C22 (P)2 + C23 (P) + C24,hs = C31 + C32 (T),C31 = C33 + C34 (P),C32 = C35 + C36 (P)

饱和蒸汽(Vg)和过热(Vs)比容:,Vg = D11 (P)3 + D12 (P)2 + D13 (P) + D14,Vs = D21 + D22 (T),D21 = D23 + D24 (P),D22 = D25 + D26 (P)
饱和蒸汽(Sg)、饱和液体(Sf)和过热(Ss)熵:Sg = E11 (P)3 + E12 (P)2 + E13 (P) + E14,Sf = E21 (P)3 + E22 (P)2 + E23 (P) + E24,Ss = E31 + E32 (T),E31 = E33 + E34 (P),E32 = E35 + E36 (P)
上述系数的数值如下:适用于上述方程的温度和压力范围为: 温度范围为-50˚C至60˚C。压力范围为80至2900 kPa。
为了计算制冷剂R-404A的标准循环和理想循环的热力学性质和性能参数,开发了一个计算机模拟程序,使用Matlab软件作为编程语言。
针对每个性能参数(每千瓦制冷量中的制冷剂质量流量(kg/s)、每千瓦制冷量中的放热率(kW)、每千瓦制冷量中的压缩机功率(kW)、性能系数、压缩机排气温度(摄氏度)),开发了不同的计算机模拟程序代码,以在每个图表中呈现一组曲线。

这些程序可以考虑不同的条件和标准循环与理想循环之间的性能参数。还开发了比较程序,用于比较不同条件下标准循环和理想循环的每个性能参数的结果。
四、不同条件下标准循环和理想循环性能参数的变化趋势
进行不同蒸发温度(Te)和不同冷凝温度(Tc)值下理想循环和标准循环的比较如下:
分别比较了标准循环和理想循环在不同Te和Tc值下的质量流量变化。对于所有的Te和Tc值,标准循环的质量流量高于理想循环。这是因为标准循环在Te和Tc变化下的蒸发器入口和出口的比焓差较理想循环更低。
显示了随着Te和Tc的增加,标准循环和理想循环所消耗的压缩机功率的比较。标准循环的压缩机功率高于理想循环。这种差异随着Te或Tc的增加而增加,因为两种循环的的差异随着Te或Tc的增加而增大。
显示了随着Te和Tc的变化,标准循环和理想循环的放热率的比较。从图中可以看出,对于所有的Te和Tc值,标准循环的放热率略高于理想循环。这种差异随着Te或Tc的增加而增加,因为两种循环的的差异随着Te或Tc的增加而增大。

显示了随着Te和Tc的变化,标准循环和理想循环的排气温度的比较。由于理想循环的超热状态使得压缩机入口温度上升,压缩机排气温度高于标准循环的排气温度,对于所有的Te和Tc值。
比较了标准循环和理想循环在Te和Tc值变化下的性能系数(COP)。从图中可以看出,理想循环的COP高于标准循环。这是因为理想循环中的过热和亚冷效应导致制冷量增加,从而提高了COP。
标准循环和理想循环质量流量与不同Te(在Tc = 40˚C)和不同Tc(在Te = 10˚C)之间的比较。标准循环和理想循环压缩机功率与不同Te(在Tc = 40˚C)和不同Tc(在Te = 10˚C)之间的比较。 标准循环和理想循环放热率与Te(在Tc = 40˚C)和不同Tc(在Te = 10˚C)之间的比较。
标准循环和理想循环压缩机排气温度与Te(在Tc = 40˚C)和不同Tc(在Te = 10˚C)之间的比较。
标准循环和理想循环性能系数与Te(在Tc = 40˚C)和不同Tc(在Te = 10˚C)之间的比较。

在Tc = 40˚C下,从蒸发温度范围-10˚C到15˚C,标准循环的压缩机功率变化降低了38.8%,理想循环的降低了43.8%。在Te = 10˚C下,从冷凝温度范围30˚C到50˚C,标准循环的压缩机功率变化增加了122%,理想循环的增加了54.5%。
具有5˚C过热和亚冷的理想循环的性能系数比在Te = 10˚C和Tc = 40˚C下的标准循环的性能系数大约高出25%,对于制冷剂R-404A来说。
基于以上结论,可以将该仿真模型用于测试使用所研究制冷剂的不同条件下的制冷系统,这意味着减少了使用实验室设备进行实验测试的成本和工作量。
前面的结果和测试的性质表明,制冷剂R-404A是一种适合替代多种氯氟烃和氢氯氟烃的合适替代制冷剂,因为后者对环境产生不友好的影响。
结论
根据对制冷剂R-404A的标准循环和理想循环在不同蒸发温度(Te)和冷凝温度(Tc)下的比较,我们得出以下结论:
标准循环的压缩机功率随着Te和Tc的增加而减小,降幅分别为38.8%和43.8%。
标准循环的压缩机功率随着Te和Tc的增加而增大,增幅分别为122%和54.5%。
标准循环的放热率略高于理想循环,差异随着Te和Tc的增加而增大。
理想循环的排气温度高于标准循环,差异在所有Te和Tc值下都存在。
在Te = 10˚C和Tc = 40˚C下,具有5˚C过热和亚冷的理想循环的性能系数比标准循环的性能系数高约25%。基于以上结论,可以使用该仿真模型来测试使用所研究制冷剂的不同条件下的制冷系统,从而减少使用实验室设备进行实验测试的成本和工作量。
根据前面的结果和测试的性质,R-404A制冷剂是一种适合替代多种氯氟烃和氢氯氟烃的合适替代制冷剂,因为后者对环境产生不友好的影响。
参考文献
摩塔,M.,齐利奥,E.,阿普雷亚,C.(2008)。关于沿绝热毛细管的混合性物质R-407a和R-404A的临界流动:实验研究和建模。《制冷国际期刊》,31(2),180-187。
张,J.,韦伯,R. L.(2002)。小管道两相流的摩擦压降:一种新的广义相关关系。《热物质传递国际期刊》,45(12),2549-2565。
摩塔,M.,德尔科尔,D.,卡瓦利尼,A.,多雷蒂,L.(2004)。关于R-404A/油流动的绝热毛细管实验研究。《制冷国际期刊》,27(5),490-497。
Ould Didi,M. M.,Quintard,M.,Duru,P.(2004)。预测分析水平管道蒸发过程中制冷剂两相压力梯度。《制冷国际期刊》,27(8),880-893。
Llopis,R.,González-Cabrera,J. M.,Arce,A.(2008)。R-404A和R-507A制冷剂混合物在双级蒸气压缩装置中的性能。《制冷国际期刊》,31(2),329-337。