1.二次根式的有关概念
(1)二次根式: 该式子称作二次根式。注意被开方数a只能是非负数。并且根式也是非负数。

(2)最简二次根式: 被开方数不含分母,不含能开得尽方的因数或因式,这样的二次根式,叫做最简二次根式。
(3)同类二次根式: 化成最简二次根式后,被开方数相同的几个二次根式,叫做同类二次根式。
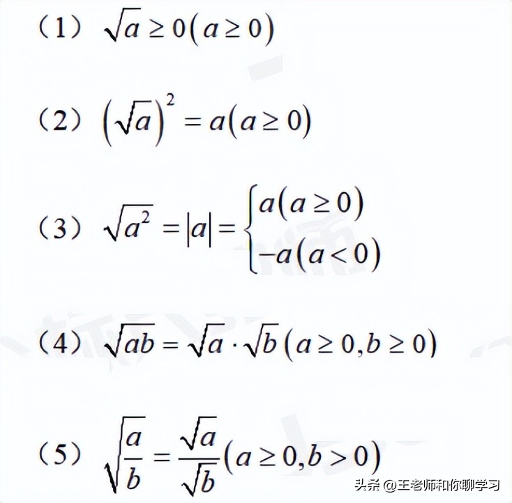
2.二次根式的性质

3.二次根式的运算
(1)二次根式的加减: 先把二次根式化为最简二次根式,再合并同类二次根式。
(2)二次根式的乘除:

和

(3) 二次根式的运算仍满足运算律,也可以用多项式的乘法公式来简化运算。二次根式的运算结果一定要化成最简二次根式。
常考的10个类型题

点评:关于二次根式的根号内外的“移进”和“移出”,关键是要抓住二次根式的被开方数是非负数这个特点,先确定字母的隐含的取值范围,再结合图1

图1
进行“移进”和“移出”的变形化简;这类题在考试中常出现在考题的填空和选择题中,是正确率比较低的热点考题高频考点,这个知识点容易与其它知识点联姻构成有一定含金量的综合题,而双重非负数性在其中扮演的往往是关键角色,上面的几道例题就是要抓住算术平方根及其被开方数都是非负数的破题;比如很多同学对于例3这类题不知从何入手,但只要抓住本题是二次根式构建的,从被开方数是非负数这点入手,就可以隐藏在其中的a的值挖出来,从而使问题得以解








故④正确;根据垂直平分线的判定并结合图象可知EF是线段 BC的垂直平分线,⑤正确故选①④⑤
点评: 几何的相关计算中往往要通过二次根式的计算或化简来解决不在少数,是中考和各类考试的热点考题;这类题型把二次根式的计算或化简和勾股定理即其它几何知识很好结合在一起考察,是数形结合等思想方法较好体现。这类题型还很容易与函数及其图象结合在一起。