

本节课的知识点:
1.三角函数的和差公式的推导及公式的熟练记忆;2.二倍角公式推导(利用三角函数基本公式以及和差公式);3.辅助角公式(又称提斜公式),往往考察大题。
公式的推导:cos(a+b)=cosa*cosb+sina*sinb。

主要利用角度相等,∠qom=∠oab 。


利用诱导公式和基本公式推导以下公式,需要记忆。

三角函数的和差公式:

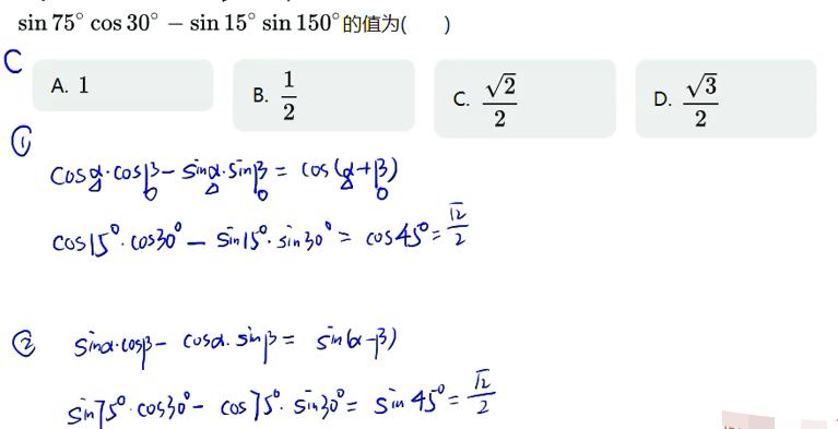
例题:

下题结合诱导公式去考,考察sina和cosa的诱导公式转换。


考察tan函数计算:

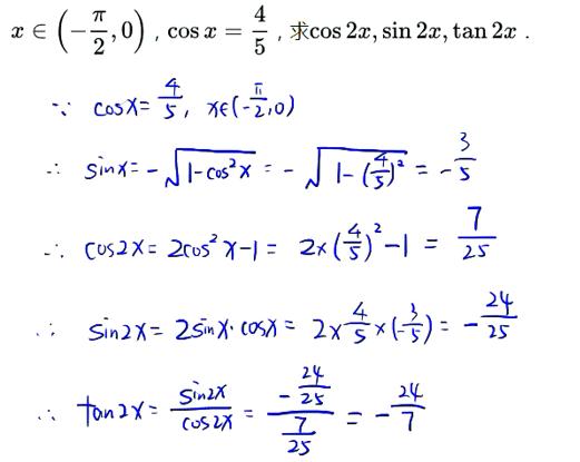
二、二倍角公式推导:原理就是在和差公式的基础上,运用基本公式进行转换得到。注意降幂升角。

二倍角公式:书本上的公式VS考场上关于公式的考察。

例题:




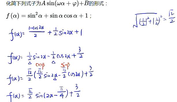
辅助角公式:既可以化成sina也可以化成cosa函数。利用的是和差公式。

题型:



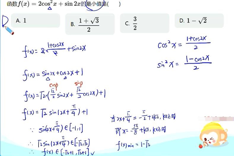
求解下题:大题求解最值问题时,一定要写上当取什么值时,有最值。



收工,Get✓。
如果小伙伴们觉得此技巧对你有帮助的话,欢迎在下方留言、点赞、转发给更多的朋友!