怎样关闭华为鸿蒙系统升级推送 (华为p20升级鸿蒙推送了吗)

鸿蒙3.0正式版的升级名单中,已经有20多款华为手机机型,也就是说,如果你的华为手机是这20多款机型的话,就可以升级到鸿蒙3.0的正式版了。可是,在评论区里还是有很多网友咨询我:自己的手机在名单当中,为什么还是没有收到推送?究竟该怎样升级鸿蒙3.0正式版?一起来看看吧。

华为mate30为什么没推送鸿蒙系统,怎样关闭华为鸿蒙系统升级推送

一:为什么没有推送?

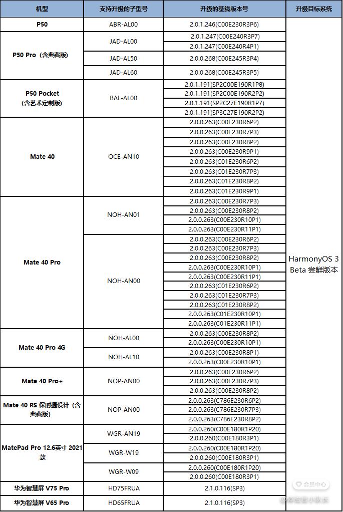
正常情况下,系统正式版是有推送消息的,会提醒用户“系统有最新版本”。那么,为什么很多华为手机用户的手机已经在名单当中了,却收不到推送呢?据我分析呀,可能的原因是你手机的系统没有升级到最新版的鸿蒙2.0,也就是“基线版本”。大家可以参照下面的2个图片,各个机型的基线版本都在其中。

华为mate30为什么没推送鸿蒙系统,怎样关闭华为鸿蒙系统升级推送

因为鸿蒙2.0要想升级到鸿蒙3.0,不管是升级到内测版、公测版,还是升级正式版,都有一个硬性要求,那就是手机系统必须是鸿蒙2.0的最新版本(基线版本)。

华为mate30为什么没推送鸿蒙系统,怎样关闭华为鸿蒙系统升级推送

比方说,我的nova7手机系统的最新版本是鸿蒙2.0.0.275,不升级到这个版本,就没办法升级到鸿蒙3.0,各个机型的鸿蒙2.0最新版本也有所区别,具体升级方法在下面。

二:怎样升级鸿蒙3.0正式版?

第一步:把手机系统升级到最新版的鸿蒙2.0

目前已经有20多款华为手机可以升级到鸿蒙3.0正式版了(如下图)。如果你的手机在这批名单当中,可以先升级到鸿蒙2.0的基线版本,然后再升级鸿蒙3.0。

华为mate30为什么没推送鸿蒙系统,怎样关闭华为鸿蒙系统升级推送

如何升级基线版本?先在手机上打开“我的华为”app。

华为mate30为什么没推送鸿蒙系统,怎样关闭华为鸿蒙系统升级推送

点击“服务”,进入服务界面(如下图)。

华为mate30为什么没推送鸿蒙系统,怎样关闭华为鸿蒙系统升级推送

点击“快捷服务”右侧的“更多”。

华为mate30为什么没推送鸿蒙系统,怎样关闭华为鸿蒙系统升级推送

然后点击“升级尝鲜”,手机就会开始检查鸿蒙2.0的最新版本,也就是基线版本。升级到基线版本后,就可以升级鸿蒙3.0了。

第二步:升级鸿蒙3.0正式版

升级到基线版本后,一般情况下,会有鸿蒙3.0正式版的推送。如果没有收到推送,我们还可以手动升级鸿蒙3.0正式版。打开“我的华为”app。

华为mate30为什么没推送鸿蒙系统,怎样关闭华为鸿蒙系统升级推送

然后点击“升级尝鲜”按钮。

华为mate30为什么没推送鸿蒙系统,怎样关闭华为鸿蒙系统升级推送

然后点击“HarmonyOS 3 尝鲜”右侧的“立即查看。

华为mate30为什么没推送鸿蒙系统,怎样关闭华为鸿蒙系统升级推送

然后再点击“升级尝鲜”(如上图),就会跳转到升级页面,然后按屏幕提示一步步操作就可以了。

通过上面的步骤,就可以把我们的华为手机升级到鸿蒙3.0正式版了。如果你的华为手机也在这批鸿蒙3.0正式版的升级名单当中的话,那就赶紧按照上面的方法去升级吧。

华为mate30为什么没推送鸿蒙系统,怎样关闭华为鸿蒙系统升级推送

今天就分享到这里,如果觉得好,那就长按下面的“点赞”按钮,给我来个【超级赞】吧。同时,欢迎“评论、收藏、关注”。你还可以点击我的头像,进入我的主页,观看更多的文章和视频。好了,我们下期再见。