一、“绝对值”很年轻
德国伟大数学家魏尔斯特拉斯于1841年提出绝对值的定义,距离2023年仅有184年,所以说它年轻。同时增加一个数学史上的小知识,把无穷级数玩得很棒的欧拉大神一生未接触过绝对值。

卡尔·特奥多尔·威廉·魏尔斯特拉斯,德国数学家,被誉为"现代分析之父"
二、绝对值的定义及性质
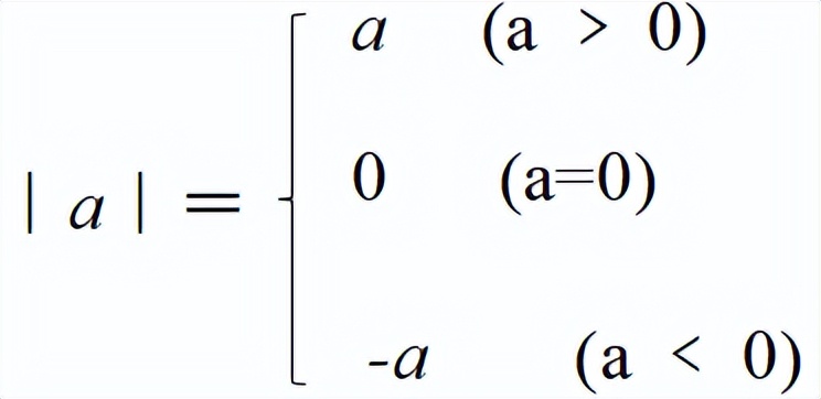
“绝对值”表示一个数a到原点的距离,记为|a|。同时要强调,表示数轴上两个数a、b之间的距离为|a-b|或|b-a|。结合概念可知:

有情提示:以后看到一个数a或-a,你就不能张口闭口就说是正数、负数或零了,而是要分类讨论了。
那么,绝对值有什么性质呢?
(1)绝对值有非负性,表示为|a| 0,初中非负性除了绝对值,还有二次根式;(后期会说到)
(2)任意两个数乘积的绝对值都等于这两个数的绝对值的乘积,也可以理解为单数见绝对值视负号而不见;
(3)两个数的和的绝对值小于等于这两个数的绝对值的和,此条更多用在高中,不过要注意初中|x-2|+|x+3|这类题,即当|x-2|+|x+3|的值最小时,求X的取值范围。
三、你可能对绝对值的理解太过于年轻
在数学史上,绝对值的运用是一个较慢过程,1801年,数学王子高斯发明绝对值的计算,1807年数学之王欧拉完善绝对值的计算法则,1816年拉克鲁瓦用Absolute Value 表示绝对值计算,最后是1841年魏尔斯特拉斯最终完善。但也不影响众多大数学家极度厌恶和鄙视应用“绝对值”,原因我觉得有两个。其一,处理起来极其不方便;其二,函数上处理零点处是否可导很麻烦,最典型的就是y=|x|在x=0处就不可导。好了,把话题拉回来,中学生不喜欢绝对值,是因为也有类型情况,总是想着分类分类再分类。初高中见得比较多的例如:
(1)|a|=-a,求a的取值范围;
(2)|a|=1,|b|=2,求a+b的值;
(3)|a|=2,求a-1的值;
(4)|a| 10,求a的取值范围;
(5)|a-2|=3,求a;
(6)|2a+1|=a-1,求a;
(7)|a+3|+|a-3|=10,求a.
不仅如此,随着数学的发展,又出一个“范数”,来源于绝对值,但高于绝对值,大家可以感受一下表示:||a||。注意,这不是绝对值的绝对值。也就是说,打好基础,为了后面能和它们更好的见面吧。