本文是系列文章的第一篇,将向您介绍理解和分析负反馈放大器所需的基本概念。
不只是运算放大器。 。 。
在本文中,我们将介绍一般的负反馈结构和帮助我们分析和实现这种结构的知识。更具体地说,我们将关注负反馈放大器。这里的术语“放大器”有些误导:该结构不仅限于增加信号的幅度。这个“放大器”可以是单位增益系统,旨在改善电路的输入或输出阻抗特性,或者它可以是放大某些频率同时衰减其他频率的滤波器。
为什么要反馈(Feedback)?
所以我们有一个必须控制的输出变量,但是控制输入和输出的实际行为之间的关系是如此复杂或不可预测,以至于在某下应用指定的输入情况下很难(如果不是不可能的话)精确地调节输出。考虑两个例子:我们有一个电压输出数模转换器(DAC),我们想要控制1)电阻消耗的功率和2)LED的亮度。第一项任务不需要负反馈,因为输入和输出之间的关系简单且可预测:

应用上面的方程可知我们需要做的就是将所需的功率乘以电阻,然后取平方根。这对于现代微控制器来说,这是相当简单的数*运学**算,更重要的是,这种关系适用于任何环境条件下的任何电阻。 然而,第二项任务并非如此简单。 以下是Avago制造的LED的正向电流与正向电压的关系图:

由上面的图示可知这种关系是高度非线性的,并且受到LED类型的显着影响; 尽管未在该图中示出,但该关系也受温度的影响。 现在来看一下LED的亮度与正向电流特性曲线:

这种关系非常线性,两种半导体材料之间的差异最小。那么我们从中得出什么结论呢?通过控制电流来精确调节LED亮度是相当容易的,但是通过控制电压来精确调节亮度将是非常困难的。该怎么办?当然,需要采用一些负反馈设计!我们可以使用DAC电压作为负反馈放大器的输入,根据流过LED的电流来调整其输出电压(电流信息可以通过串联电阻测量)。现在我们在电压和亮度之间有一个简单,可预测的关系。
该LED示例是无数情况之一,其中实现开环(即,非反馈)控制是不期望的或完全不切实际的。想想温度调节:开环控制如何可能解释影响起居室温度的所有因素?天气状况,窗户,门,居住人数。 。 。 。但正如不起眼的恒温器普遍证明的那样,通过一点负反馈,这个问题就变得几乎无足轻重。
通用反馈放大器
当你看下面这个图时,请试着花一点时间来欣赏负反馈的优雅设计:

通过简单地从参考信号中减去实际输出值(乘以β)并使用结果作为开环放大器的输入,我们可以精确地控制负载,即使在输入 - 输出关系不一致或者复杂的情况下也能如此。
这里的关键参数是A和β。绿色斜体标签代表流经系统的信号的变量名称;我们正在使用单词(在本文的文本中也使用斜体)而不是下标变量,希望即将进行的分析看起来不会比实际上更不直观。 (我们保留A和β,因为反馈放大器不是没有A和β的反馈放大器。)
那么A和β究竟是什么?关于A没有太多可说的:在没有反馈的情况下,整个系统将适用于放大。在运算放大器电路的背景下 - 比较特别合适,因为运算放大器是理论反馈放大器的直接表现--A对应于运算放大器的开环增益。 β不是那么简单:反馈因子β确定有多少输出信号被反馈到减法节点。您可以将β视为从控制中减去的输出的百分比(表示为小数)。当您考虑下面的基本的同相运算放大器电路时,这应该变得更加清晰:

我们用来设置增益的两个电阻只不过是一个分压器网络,它将一定比例的输出应用到运算放大器的反相端。输出电阻两端的电压用比率R1 /(R1 + R2)乘以电阻对两端的电压表示。因此,反馈并从控制中减去的输出的百分比(表示为小数) - 即反馈因子β-是R1 /(R1 + R2)。值得您花些时间来培养对这一概念的直观理解,因为当我们讨论稳定性时,β将在未来的文章中占据突出的地位。
关于A和β的另一个注意事项:它们不必仅仅是常数,如A = 10^6和β= 0.1。它们也可以表示为频率的函数,这意味着A或β的值根据通过放大器系统的信号的频率而变化。这与A特别相关 - 内部补偿运算放大器的开环增益在低至0.1 Hz的频率下开始下降!
闭环
现在我们将简要介绍一些有助于我们进一步理解和分析反馈放大器行为的显着关系和公式。首先是β的数学定义:

这只是我们在上一节中描述的符号表达。接下来是输入和输出之间的直接关系,从上面显示的一般反馈结构图中可以很明显地看出:

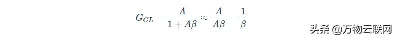
更有趣的是闭环增益(GCL)的等式,即当包括负反馈的影响时放大器系统的总增益:

这种关系非常简单,但它变得更好。在典型的反馈放大器应用中,数量Aβ(称为“环路增益”)远大于1,例如,开环运算放大器增益为10^6,反馈系数为0.1,环路增益为10^5.因此,我们可以简化闭环增益表达式如下:

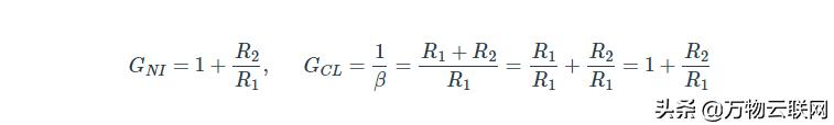
在这里,我们看到了我们对运算放大器电路经验的期望:增益仅取决于β。再看一下上面所示的同相运算放大器电路;当我们回想起标准同相放大器(GNI)的增益等式为1 +(R2 / R1)时,一切都汇集在一起:

结论
在介绍了负反馈和使用它的一般动机之后,我们提出了一个理论模型,帮助我们分析负反馈放大器的具体特性。然后我们采用了一些数学来证明结合负反馈的最显着的好处 - 即,对于所有实际目的,系统的整体增益完全由构成反馈网络的简单(和精确,如果必要)外部组件决定。在下一篇文章中,我们将探讨负反馈可以改善放大器电路性能的一些其他方法。