2018年3月14日,霍金逝世,享年76岁。今天是霍金逝世一周年,作为当代最伟大的科学家之一,霍金绝对值得纪念。
21岁就被医生判定活不过两年,他硬是从死神手里多抢来了50几年,投身于宇宙学和黑洞的研究,并用通俗的语言将这些艰深的知识推向大众,唤起无数人的好奇心与想象力。

关于霍金,还有一个神奇的巧合。霍金出生的那天,是伽利略去世的日子,他走的这天,则是爱因斯坦的生日。人类史上三位伟大的科学家就此关联在一起。虽然只是纯粹的巧合,但还是颇为耐人寻味。

所以,今天不仅是霍金逝世一周年,也是爱因斯坦诞辰140周年。
有意思的是,3月14日还是圆周率日。圆周率π,即圆的周长和直径的比值,是一个神奇的数学常数,在科学中占据重要位置。

π是一个无理数,对其精确值的计算几乎贯穿整个人类文明史。公元5世纪,我国的数学家祖冲之用几何方法巧妙地将π计算到小数点后7位,即将其确定在3.1415926和3.1415927之间。
随着计算机技术的快速发展,人类计算π的精度也得到破天荒式的提高——π的十进制精度已高达小数点后万亿位。目前,人类计算π的值主要是为了破纪录。
作为无理数,π似乎又不是那么无理。虽然π无法转换为任何一个分数,但却可以用无穷级数表示出来。请看π的莱布尼茨公式:

数学是科学最基本的语言,而π又有着微妙的数学意义。因此,π不仅活跃于数学中,还经常跑到宇宙学、热力学、力学和电磁学等科学领域客串。
更神奇的是,π还可能是一个正规数。何为正规数呢?在数学上,正规数指的是数字随机分布,且0到9各数字出现机会均等的实数。也就是说,π可能包含了所有数字组合。这意味着,宇宙中的所有信息,过去的、现在的以及将来还为发生的一切都可能包含在π之中。
在《疑犯追踪》中,哈罗德·芬奇是这么说的:

“π,圆周长与其直径之比,这是开始。后面一直有,无穷无尽。永不重复。就是说在这串数字中,包含每种可能的组合。你的生日,储物柜密码,你的社保号码,都在其中某处。如果把这些数字转换为字母,就能得到所有的单词,无数种组合。你婴儿时发出的第一个音节,你心上人的名字,你一辈子从始至终的故事,我们做过或说过的每件事,宇宙中所有无限的可能,都在这个简单的圆中。用这些信息做什么,它有什么用,取决于你们。”
值得一提的是,迄今为止人类对π是正规数既无法证实,也无法证伪。
可以毫不夸张地说,如果我们的宇宙是一份被精心设计的作品,那么π就是其中最重要的参数之一。于是,爱因斯坦和霍金,两位专注于研究宇宙奥秘的大师自然就避免不了与π打上交道。

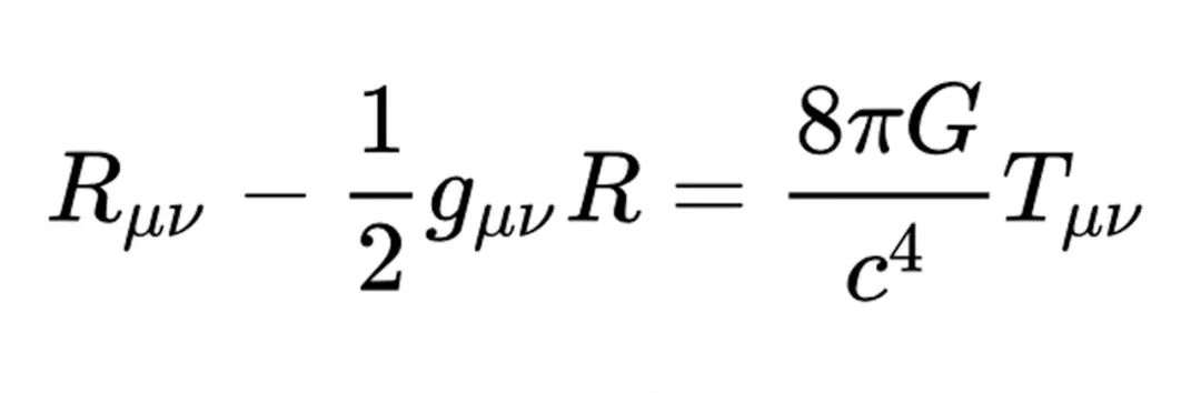
在爱因斯坦引力场方程中,π出现了:

在霍金辐射相关的一个的方程中,π也来凑热闹了:

可谁能想到,π最终竟然还与爱因斯坦和霍金的生死关联在一起——神奇的3.14——圆周率日、爱因斯坦生日和霍金逝世周年日。
当然,这一切只是美丽的巧合,却也注定成为一段永恒的科学佳话。