致敬所有为此次疫情奋斗一线的工作人员及身居二线默默无闻的奉献者。
此时我们共同面对严峻的疫情,作为一名90后老师,既是学生学习知识的引路人,同时也是学生奉献祖国的引路人,在此我希望能尽绵薄之力,发挥一技之长为在家奋斗的同学们免费提供数学资料,后期会录制免费讲解视频,有需要的同学可以转载,有疑问之处可以留言。
让我们团结一心,众志成城,打赢这场疫情防控*击狙**战!
























































































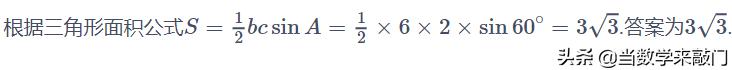
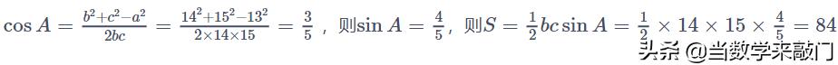
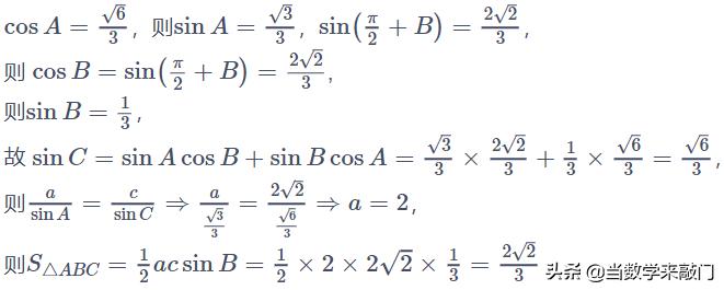
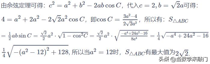
以上是《高考专题:解三角形综合》包含三角形面积公式-知两边及夹角;正弦定理与三角形面积;余弦定理与三角形面积; 三角形最值问题-化为角;利用三角函数求面积最值;解三角形-角度问题;与向量相关的解三角形问题;解三角形的应用-利用三角函数求长度最值等问题。有需要的同学赶紧收藏起来并转发给其他有需要的人。有疑问或反馈可在下方评论区留言。