我们总是试图对题型做分类,用一些这样那样的标准,为了那么多纷繁复杂的题目看起来更有条理一些,但对于这种二次函数综合题来说,无论怎么分,都会不尽完美.虽然题有很多,但方法不外乎那几种,或许从方法来对题目归类更合理一些.即便无从选择,一个一个试也是能试出来.
01
问题与策略
对于相似存在性存在性问题,单动点还是双动点并不是重点,在找到一组相等角的前提下,恰当选择表示两边成比例还是继续构造第二组相等角才是关键,在边易表示的情况下表示边,在角易构造的情况下构造角.分析明白每个条件尤其是关键性条件的用意,离得到答案便不远了.
解题策略
相似存在性第二篇:双动点类问题,主要内容如下:
(1)已知相等角构造两边成比例:根据线段位置表示边.
(2)已知直角构造直角边成比例:①直接表示水平或竖直直角边;②化斜为直.
(3)已知相等锐角构造直角:直角三角形存在性问题
(4)已知直角构造相等锐角:①三垂直相似构造旋转角;②直接构造三垂直
02
构造两边成比例
与上一篇方法类似,根据两边对应成比例且夹角相等来判定相似.
2019*疆新**中考删减
如图,在平面直角坐标系中,抛物线y=ax²+bx+c经过A(-1,0),B(4,0),C(0,4)三点.
(1)求抛物线的解析式及顶点D的坐标;
(2)点P为线段BC上一动点(点P不与点B,C重合),过点P作x轴的垂线交(1)中的抛物线于点Q,当△PQC与△ABC相似时,求△PQC的面积.



03
构造直角边成比例
双动点问题更多与直角三角形相关,若已知直角,则两直角边成比例即可,若直角边与坐标轴平行,则可用点坐标求得,若直角边为斜线,考虑化斜为直.
2018常德中考删减
如图,已知二次函数的图像过点O(0,0)、A(8,4),与x轴交于另一点B,且对称轴是直线x=3.
(1)求该二次函数的解析式;
(2)P是x轴上的点,过P作PQ⊥x轴与抛物线交于Q.过A作AC⊥x轴于C,当以O,P,Q为顶点的三角形与以O,A,C为顶点的三角形相似时,求P点的坐标.



【小结】对于直角三角形而言,从三角函数的角度来看,两直角边对应成比例与有一组锐角三角函数值相等其实是一回事,对于位置特殊一点的(比如直角边与坐标轴平行),直接表示线段计算,而位置比较一般的可以通过(1)表示线段;(2)构造三垂直相似得到结果.
2018绵阳中考
如图,已知抛物线y=ax²+bx(a≠0)过点A(根号3,-3)和点B(3根号3,0).过点A作直线AC轴,交y轴于点C.
(1)求抛物线的解析式;
(2)在抛物线上取一点P,过点P作直线AC的垂线,垂足为D.连接OA,使得以A,D,P为顶点的三角形与△AOC相似,求出对应点P的坐标;
(3)抛物线上是否存在点Q,使得△AOC的面积是△AOQ面积的三分之一?若存在,求出点Q的坐标;若不存在,请说明理由.




2018广安中考
如图,已知抛物线y=1/2x²+bx+c与直线y=1/2x+3交于A、B两点,交x轴于C、D两点,连接AC、BC,已知A(0,3),C(-3,0).
(1)求此抛物线的解析式;
(2)在抛物线对称轴l上找一点M,使MB-MD的绝对值最大,并求出这个最大值;
(3)点P为y轴右侧抛物线上一动点,连接PA,过点P作PQ⊥PA交y轴于点Q,问:是否存在点P,使得以A、P、Q为顶点的三角形与△ABC相似?若存在,请求出所有符合条件的点P的坐标;若不存在,请说明理由.



2018达州中考
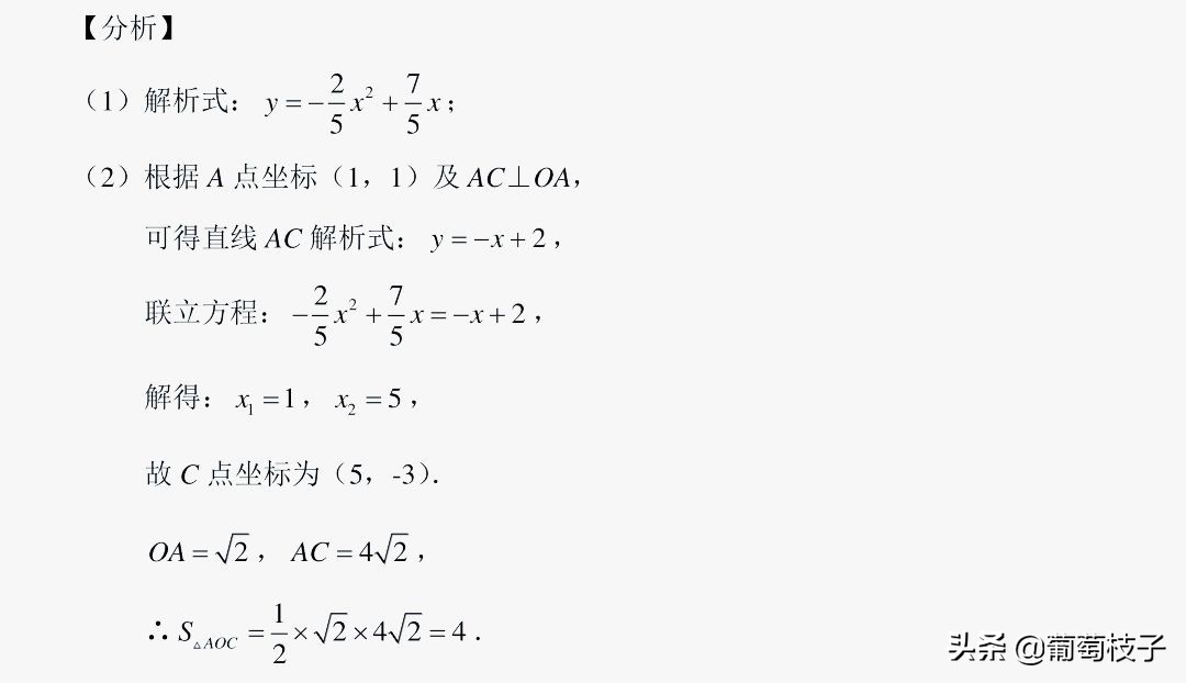
如图,抛物线经过原点O(0,0),点A(1,1),点B(3.5,0).
(1)求抛物线解析式;
(2)连接OA,过点A作AC⊥OA交抛物线于C,连接OC,求△AOC的面积;
(3)点M是y轴右侧抛物线上一动点,连接OM,过点M作MN⊥OM交x轴于点N.问:是否存在点M,使以点O、M、N为顶点的三角形与(2)中的△AOC相似,若存在,求出点M的坐标;若不存在,说明理由.



04
构造直角
若已知三角形有一组锐角相等,且其中一个为直角三角形,则另外为直角三角形即满足相似,问题便转化为构造直角,利用斜率之积为-1可帮助解题.
2019锦州中考删减
如图,在平面直角坐标系中,一次函数y=-3/4x+3的图象与x轴交于点A,与y轴交于B点,抛物线y=-x²+bx+c经过A,B两点,在第一象限的抛物线上取一点D,过点D作DC⊥x轴于点C,交直线AB于点E.
(1)求抛物线的函数表达式
(2)是否存在点D,使得△BDE和△ACE相似?若存在,请求出点D的坐标,若不存在,请说明理由.


2018铜仁中考删减
如图,已知抛物线经过点A(-1,0),B(4,0),C(0,2)三点,点D与点C关于x轴对称,点P是x轴上的一个动点,设点P的坐标为(m,0),过点P做x轴的垂线l交抛物线于点Q,交直线BD于点M.
(1)求该抛物线所表示的二次函数的表达式;
(2)点P在线段AB运动过程中,是否存在点Q,使得以点B、Q、M为顶点的三角形与△BOD相似?若存在,求出点Q的坐标;若不存在,请说明理由.


05
构造相等锐角
若已知两三角形均为直角三角形,也可考虑构造一组锐角相等,构造旋转角或直接构造三垂直均可解决问题.
2018莱芜中考
如图,抛物线y=ax²+bx+c经过A(-1,0),B(4,0),C(0,3)三点,D为直线BC上方抛物线上一动点,DE⊥BC于E.
(1)求抛物线的函数表达式;
(2)如图1,求线段DE长度的最大值;
(3)如图2,设AB的中点为F,连接CD、CF,是否存在点D,使得△CDE中有一个角与∠CFO相等?若存在,求点D的横坐标;若不存在,请说明理由.




2018乌鲁木齐中考
在平面直角坐标系xOy中,抛物线y=-1/4x²+bx+c经过点A(-2,0)、B(8,0).
(1)求抛物线的解析式;
(2)点C是抛物线与y轴的交点,连接BC,设点P是抛物线上在第一象限内的点,PD⊥BC,垂足为点D.
①是否存在点P,使线段PD的长度最大?若存在,请求出点P的坐标;若不存在,请说明理由;
②当△PDC与△COA相似时,求点P的坐标.




2018盘锦中考
如图,已知A(-2,0),B(4,0),抛物线y=ax²+bx-1过A、B两点,并与过A点的直线y=-1/2x-1交于点C.
(1)求抛物线解析式及对称轴;
(2)在抛物线的对称轴上是否存在一点P,使四边形ACPO的周长最小?若存在,求出点P的坐标,若不存在,请说明理由;
(3)点M为y轴右侧抛物线上一点,过点M作直线AC的垂线,垂足为N.
问:是否存在这样的点N,使以点M、N、C为顶点的三角形与△AOC相似,若存在,求出点N的坐标,若不存在,请说明理由.



2019泸州中考删减
如图,在平面直角坐标系xOy中,已知二次函数y=ax²+bx+c的图像经过点A(-2,0),C(0,-6),其对称轴为直线x=2.
(1)求该二次函数的解析式;
(2)点B是该二次函数图象与x轴的另一个交点,点D是直线x=2上位于x轴下方的动点,点E是第四象限内该二次函数图象上的动点,且位于直线x=2右侧.若以点E为直角顶点的△BED与△AOC相似,求点E的坐标.



【写在最后】以上是关于找相似存在性的一点问题,其实变化样式并不多样,方法也是有迹可循.但近年也出现了一些其他关系相似存在性的问题,下一期继续更新.