氢气作为一种可持续的环境友好型能源,具有很高的存储能量,被视为未来最有可能取代化石能源的能量载体 。氢气产业覆盖生产、储存和使用三个方面。目前,氢气主要由天然气通过蒸汽转化得到。可再生的替代方式有生物制氢,生物质催化降解制氢,电化学制氢和光化学制氢。为了将氢气分散使用,能源设备必须紧凑,因此必须将氢气的产生与储存相结合,一个有潜力的解决方案是寻找新材料。石墨烯是一种理想的储氢材料,可以用来代替金属混合物储氢材料、金属-有机框架储氢材料等。目前,重要的挑战是如何利用石墨烯产生既环境友好的,又经济、高效的氢气。
近日,Antonio Politano 等人在ACS NANO上发表了一篇关于外延石墨烯水解析氢机理探究的文章,详细地阐述了石墨烯-过渡金属界面产生和储存氢气的机理。

图1. 石墨烯在干燥和水浸湿两种条件下的XPS和振动探究。(a) Gr/Ni(111) 的C 1s中心峰(下方)和Gr/H2O/Ni(111)的C 1s 中心峰(上方),光子能量400 eV; (b) Gr/H2O/Ni(111)的O 1s中心峰,光子能量650 eV; (c) 化学键能谱,黑色曲线为Gr/Ni(111),蓝色为Gr/H2O/Ni(111),光子能量135 eV; (d) 振动光谱,通过高分辨电子能量损失谱(HREELS)在镜面散射的条件下测量Gr/Ni(111)和Gr/H2O/Ni(111)。
从 (a) 图中可以看出C0峰的强度减小,C1峰消失,同时在284.08、285.30、284.31eV处出现C3、C4、C5的峰,C3、C4是在Gr/Ni(111)加氢后观测到,C5和石墨烯对插层水的解耦作用有关;(b) 图显示两个O 1s的峰,主峰532.51(O1)和第二特征峰530.54(O2),第一个来自未解离的水,第二个来自解离的OH-; (c) Gr/Ni(111)和Gr/H2O/Ni(111)的特征峰同样验证了水的诱发效果; (d) 显示了C-H的弯曲和伸展模型分别在179和367 meV。

图2. (a) Gr/H2O/Ni(111)的C 1s在升温速率0.4 K/s实时信号,;(b) C 1s各种成分的强度,每一个峰在图1a中已经标出,其中内图显示C 1s的信号,Gr/Ni(111)(灰色)、Gr/H2O/Ni(111)(蓝色曲线),Gr/Ni(111)加热到442 K(红线);(c) 水改性的Gr/Ni(111)在不同温度退火下的振动光谱;(d) 300到700 K热处理水浸湿的Gr/Ni(111)界面,O1s的O1和O2的强度的实时记录。
Gr/H2O/Ni(111)的热稳定性主要通过检测C 1s来探测,其方法是在加热过程中快速XPS实验法。C 1s的序列以2维图显示在(a)中; (b)主要显示C 1s的特征峰随温度的变化; (c)和(d) 高分辨电子能量损失谱同样可以证明Gr/H2O/Ni(111)在不同温度下发生了转变。

图3. 水诱发的石墨烯/金属的密度泛函理论模型(DFT)。最佳的石墨烯原子结构(左列没有缺陷,中心和右面有缺陷),(a) Gr/Ni(111);(b)夹层水分子分解成氢集团与镍(基底)键和,以及氢原子与石墨烯以共价键结合;一个氢原子(c) 和两个氢原子(d) 从石墨烯到金属基底。
根据密度泛函理论文章提出水分子插层进入石墨烯和金属界面,并在内部发生解离。其中,Gr/Ni(111)的层间水H+与石墨烯键和OH-基团与金属基底结合。

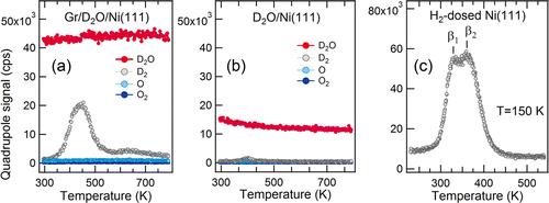
图4. (a) Gr/Ni(111)和(b) Ni(111)表面TPR吸收光谱;(c) Ni(111) 表面H2-dosed理论去吸附光谱。
为了避免超真空室背景氢气的影响,本文使用一定计量的D2O来验证。Gr/Ni和裸Ni被暴露在室温下的D2O,所有的曲线被要求2 K/s的加热速率。(a)表明氘气是独有的脱附气体,Gr/Ni(111)在442 K有一个脱附峰; (b) 显示D2O/Ni(111)并不能有效的析出氘气; (c) H/Ni(111)在程序加热脱氢曲线显示β2脱附峰在367 K,β1在320 K。
一句话总结
本文以Gr/Ni(111)为模型,通过将先进的光谱技术和理论相结合,系统阐述了室温下水析氢的各步反应机理。文章最后提到,石墨烯/金属界面理论在催化领域和相关能源领域具有很大价值,使得本文在技术道路上具有里程碑式的意义。
该文献导读由材料人新能源学习小组科研蜗牛供稿,参与新能源话题讨论请加入“材料人新能源材料交流群 422065952”,若想参与新能源文献解读和文献汇总、新能源知识科普和深度挖掘新能源学术产业信息,请加qq 2728811768。
本文来源:材料人网旗下新媒体网站材料牛http://www.cailiaoniu.com/9593.html
你可以通过以下方式*戏调**⁄(⁄ ⁄•⁄ω⁄•⁄ ⁄)⁄材料牛小编
微信:icailiaoren
微博:材料牛
知乎:材料人
材料人网,致力于向材料相关人才提供各种层次的服务和资讯
旗下设有社区、考学、招聘、资讯、商城等频道,期待您的关注