高中数学三角函数公式太多太复杂,针对这个问题,同学们应该怎样做才能迅速记忆这些公式呢?
现在,同学们可以跟着我的思路,来推导三角函数公式吧!
注意:思想一定要集中,这样,记忆才会更加深刻!
首先,有正弦余弦的和差公式的函数需要记住。
记忆方法:
观察这两个公式,分别叫正弦和余弦,正弦可以联想到正义,那么余弦就可以联想到小人了。君子可以不同的在一起合作(正弦的公式里面包含sin和cos)而且表里如一(正负号);小人一般是跟自己一样的人在一起(cos在一起,sin在一起),而且喜欢把自己人放在前面(cos在前),表里不如一(正负号)。
以上,你就记住了
接下来记
式子的右边同时除以:sinAcosB
将式子的右边同时化为正切的形式,得到:
三角形的和差公式:
对已经得到的三个公式取正号:
命: A=B
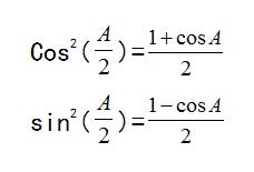
得到3个二倍角公式:
根据
可以对 cos2进行拓展,得到:
以上二倍角公式:
=============================
同时:

同时除以
可以得到
同时除以
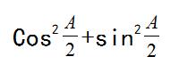
总结3个平方公式:
=============================
由二倍角公式
令 A=2B,得到:
也就是半角公式:
其中正负看A的范围。
============================
根据三角形的正弦和差公式求积化和差公式:
正负号两式相加:
2sinCcosD=sin(C+D)+sin(C-D)
两式相减:
2cosCsinD=sin(C+D)-sin(C-D)
(实际和上面是统一个公式)
根据三角形的余弦和差公式

正负号两式相加:
2sinCcosD=sin(C+D)+sin(C-D)
两式相减:
2sinCsinD=cos(C-D)-cos(C+D)
和差化积公式:
2sinCcosD=sin(C+D)+sin(C-D)
2cosCcosd=cos(C+D)+cos(C-D)
2sinCsinD=cos(C-D)-cos(C+D)
令: C+D=A;C-D=B
得到

可得到积化和差公式:
================================
万能公式:
由二倍角公式

令: 2B=A
得到
对第一和第二个公式分别除以1,也就是
得到
两式右面分贝除以
得到
======================================
将
带入三角形的和差公式可得到各类诱导公式,当然你也可以用“奇变偶不变,符号看象限”来记忆。
同学们,你们一定要理解公式推导过程,做题的时候每用一次就推导一次公式而不是查公式(不要偷懒合上书本和各种公式手册),推导的多了所有的公式就显然了,然后做题的时候公式就能换着各种姿势想怎么用就怎么用~坚持这个原则,数学考个140+或145+是没有问题的。
=====================================
在孩子的成长是最重要的,在这个过程中,难免会出现各种各样的问题。
孩子学习成绩不好,记忆力差,是因为没有掌握对学习方法。
我每天会分享一些关于教育、学习方法、记忆训练的文章,这里还有帮助孩子提高记忆,提高成绩的网络免费公益课,欢迎为您的孩子报名参加。微信:203512892,如果你们有任何问题,欢迎向我咨询。