木聚糖酶可以治鹅大肠杆菌吗 (木聚糖酶可以降解半纤维素吗)

木聚糖醇和木聚糖酶有啥区别,木聚糖酶喂牛的功能及应用

文|曹操的历史书

编辑|曹操的历史书

前言

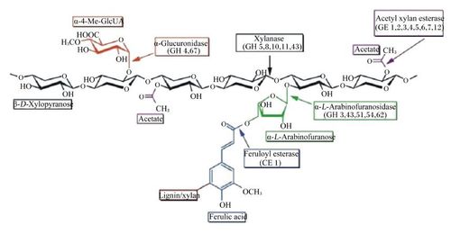
纤维素生物质的结构复杂性归因于含量较大的半纤维素分数,其中主要成分为木聚糖。

木聚糖在其天然状态下的特征是异多聚糖(异木聚糖),具有β-(1,4)-木糖基(Xylp)骨架,带有阿拉比诺呋喃糖苷、乙酰基和葡萄糖醛酸基团,以及含有半乳糖、木糖和阿拉伯糖的寡糖链。

木聚糖醇和木聚糖酶有啥区别,木聚糖酶喂牛的功能及应用

细微的架构和侧基分支在不同植物和甚至同一植物的不同组织中各不相同,谷物中的阿拉伯木聚糖高度分枝。

小麦和大麦胚乳中的阿拉伯木聚糖含有相当水平的主链Xylp残基,其上单独或双重取代了连接到C-2/C3位置的阿拉比诺呋喃糖基(Araf)。

增加了复杂性的是,阿拉比诺呋喃糖基侧基单位可以与香豆酸部分以C5酯键连接,进而形成二酰基交联。已经证明二酰基二聚反应有助于木聚糖与木质素之间的连接,以及木质素与果胶和木质素之间的连接。

木聚糖醇和木聚糖酶有啥区别,木聚糖酶喂牛的功能及应用

在木聚糖的降解过程中,主链酶和释放侧链取代基的酶(统称为辅助酶)之间的协同作用是关键过程。

值得注意的是,当使用阿拉比诺呋喃苷酶(ARF,EC 3.2.1.55)去除Araf取代基时,内切木聚糖酶已被认为能够以协同增效的方式发挥作用。

木聚糖醇和木聚糖酶有啥区别,木聚糖酶喂牛的功能及应用

在谷物木聚糖中(如小麦木聚糖),其中的Araf取代基可能与香豆酸酯键连接,香豆酸酯(Araf-FA)键可以首先被香豆酸酯酶(FAE,EC 3.1.1.73)断裂。

这种处理将使得ARF可作用于可用于ARF作用的阿拉比诺呋喃糖基侧基。谷物阿拉比诺木聚糖降解中进一步涉及的问题是与Araf残基双重取代的主链Xylp残基导致了复杂性。

ARF可分为两个组:主要组包含对在位置2或3上单取代为阿拉伯糖的Xylp具有活性的酶,因此被称为ARFm2,3。

另一个较少见的组包含对双阿拉伯呋喃糖基化的Xylp具有特异性活性的酶,释放出1,2-或1,3-连接的Araf,这些酶被称为ARFd2或ARFd3。

木聚糖醇和木聚糖酶有啥区别,木聚糖酶喂牛的功能及应用

材料和方法

以下实验材料来源于Megazyme:小麦阿拉伯木聚糖、黑曲霉α-L-阿拉比诺呋喃糖苷酶(GH51,AnARF)、和双歧杆菌青春期(GH43,BaARF)的阿拉比诺呋喃糖苷酶,以及包括A2XX、A2+3XX、A3XX和XA3XX的阿拉比诺呋喃木寡糖(AXOS)。

木聚糖醇和木聚糖酶有啥区别,木聚糖酶喂牛的功能及应用

XaARF基因由GenScript公司合成,在经过改造的pUC57质粒的HindIII位点连接。在EcoRI和HindIII酶切后,该基因被亚克隆到pET26b表达载体中,得到的基因载体构建物被转化到BL21感受态细胞中。

选择一个转化子,在2 ml LB-Kan培养基中接种,以225 rpm、30℃的条件下过夜培养。将培养物以1:50的比例稀释在30 ml LB-Kan培养基中,在相同条件下过夜培养。

取10 ml过夜培养物加入到400 ml带搅拌瓶中的LB-Kan培养基中,在37℃、200 rpm的条件下培养至OD600为0.7。添加0.1 mM的IPTG诱导表达,继续在18℃、140 rpm的条件下培养15小时。细胞经离心沉淀,使用Cellytic B细胞裂解试剂按照供应商说明裂解。

木聚糖醇和木聚糖酶有啥区别,木聚糖酶喂牛的功能及应用

裂解液通过Ni-Sepharose亲和层析柱进行纯化,使用20 mM磷酸钠、0.5 M氯化钠、10 mM咪唑胺在pH 7.4下的结合(起始)缓冲液,并梯度洗脱至300 mM咪唑胺。

收集峰值分数(OD280),并通过缓冲液交换至含有10%甘油的pH 7.5的20 mM磷酸钠缓冲液中,并使用离心过滤器进行浓缩。

基因/蛋白质序列从GenBank AAM36157.1中获取。使用Geneious软件进行序列分析和向量构建。使用Clustal Omega进行多序列比对。对于图形和统计分析,使用KaleidaGraph软件计算标准误差并绘制图表。

木聚糖醇和木聚糖酶有啥区别,木聚糖酶喂牛的功能及应用

纯化的酶在Bis-Tris NuPAGE梯度凝胶(4% - 12%)中以50 mM 3-吗啉丙磺酸(MOPS)缓冲液在变性和还原条件下运行(恒定100 V,持续2小时)。

用SimplyBlue Safe染色剂对凝胶进行染色,蛋白质标记物为Precision plus Kaleidoscope standards,凝胶条带通过图像分析软件进行分析。

木聚糖醇和木聚糖酶有啥区别,木聚糖酶喂牛的功能及应用

通过监测阿拉伯糖的释放来分析酶对AXOS的水解能力。分析是在Shimadzu LC-10AD输送系统上进行的,使用RCM单糖Ca2+柱(200 × 10.0 mm, Agilent),以H2O作为洗脱剂,在85℃下以0.2 ml/min的流速进行。

洗脱剂通过折射率检测器进行监测。通过保留时间和加入标准物质来识别阿拉伯糖峰。

还通过监测寡聚体产物的形成来估计AXOS的水解作用,使用薄层层析进行分离。薄层层析在硅胶板上进行,使用n-BuOH/HCOOH/H2O(2:3:1)的移动相进行两次展开。

糖类通过将展开的板用10% H2SO4甲醇溶液中的1 mg/ml或西洋杜鹃酚喷洒后进行检测。

木聚糖醇和木聚糖酶有啥区别,木聚糖酶喂牛的功能及应用

结果与讨论

通过BLASTP搜索,发现该序列与Xanthomonas campestris α-L-阿拉伯呋喃糖苷酶(Q8PBD1)和Rhodanobactor fulvus α-L-阿拉伯呋喃糖苷酶(14W0Z9)的主要结构相关,相似度分别为82.6%和73.2%。

这种酶具有三聚体结构,并能够切断内部二取代木聚糖苷基的阿拉伯呋喃糖苷键。

木聚糖醇和木聚糖酶有啥区别,木聚糖酶喂牛的功能及应用

在E. coli克隆中表达的XaARF经过Ni-Sepharose亲和层析柱纯化,在10%Tris-Glycine凝胶和SDS-PAGE 4% - 12%梯度凝胶上获得单一条带。

图1显示了亲和层析图谱,附带有10% Tris-Glycine凝胶的插图(按照Invitrogen的方案,在变性和还原条件下运行),酶蛋白在0.15 mg和0.3 mg的样品加载下显示出单一条带。

条件:Ni-Sepharose 亲和柱,使用20mM磷酸钠、0.5MNaCl、10mM咪唑的结合(起始)缓冲液,梯度洗脱至 300 mM 咪唑。

对于 SDS-PAGE 插入,纯化的酶使用 50 mM 3-吗啉代丙烷-1-磺酸 (MOPS) 缓冲溶液在预制 10% Tris 甘氨酸凝胶上运行,使用变性和还原条件(恒定 100 V,持续 2 小时)。

木聚糖醇和木聚糖酶有啥区别,木聚糖酶喂牛的功能及应用

图 1。XaARF 的亲和纯化。

使用A2XX AXOS底物测试了酶作用的pH效应,并通过HPLC监测阿拉伯糖生成物。

底物(化学结构见图2)在通用缓冲液中配置,反应混合物包含0.6 mM缓冲液,1.7 nmol XaARF,10 mM A2XX,总体积为60 ml。

木聚糖醇和木聚糖酶有啥区别,木聚糖酶喂牛的功能及应用

图 2。用于酶作用分析的 Megazyme AXOS 底物的化学结构。

观察到消化在碱性pH下减少,从pH 4.0时的143.40 ± 3.03,pH 5.0时的136.25 ± 4.03,降至pH 8.0时的25.38 ± 6.29。

木聚糖醇和木聚糖酶有啥区别,木聚糖酶喂牛的功能及应用

图 3。pH 值对以 A 2 XX 为底物的 XaARF 作用的影响。

进一步使用1,5-α-L-阿拉比诺七糖(Ara7)作为底物研究了pH效应。通过HPLC监测消化过程中阿拉伯糖的增加和底物的减少。结果证实,酶在低pH范围内的作用更为有利(图4)。因此,pH 5.5的醋酸钠缓冲液被用于酶的活性分析。

木聚糖醇和木聚糖酶有啥区别,木聚糖酶喂牛的功能及应用

图 4 使用 1,5- α -L-阿拉伯糖七糖作为底物时,pH 值对 XaARF 作用的影响

研究了酶对四种具有不同结构的阿拉比诺-木寡糖的作用。反应性的顺序如下:A3X > XA3XX > X2+3XX > A2XX。

图5中的曲线表明,XaARF能够高效催化对于木糖喙核苷基的C3位置进行阿拉伯糖的切割。如果单个阿拉伯呋喃糖基取代的木糖喙核苷基位于末端(非还原端),则酶作用相对较快(在1小时内,A3X的反应中可达到180 mg阿拉伯糖的最大产量)。

木聚糖醇和木聚糖酶有啥区别,木聚糖酶喂牛的功能及应用

图 5。XaARF 作用于 A 3 X、A 2 XX、A 2+3 XX 和 XA 3 XX。条件:0.02 nmole 酶,10 mM AXOS,50 mM 乙酸钠,pH 5.5,40˚C 孵育

相比之下,对于位于内部的单元,反应速度较慢,XA3XX反应2小时内可达到182 mg阿拉伯糖的最大产量。

相反,即使位于末端(例如A2XX),连接到木糖喙核苷基的阿拉伯呋喃糖基在前三个时间点上的产量也是最低的。总之,XacARF 表现出对 C3 连接的 C2 连接阿拉伯糖的偏好,来自单取代的吡喃木糖基末端超过内部定位单元。

对于A2+3XX的酶作用需要进一步的调查。阿拉伯糖的产量明显高于A3X和XA3XX,在2小时孵育后,每100 ml反应产生231 mg阿拉伯糖(图6)。

这一结果明确表明,酶能够作用于双取代木糖喙核苷基。很可能C3连接的阿拉伯糖在反应的第一阶段被切割,然后是C2连接的阿拉伯糖的切割。

木聚糖醇和木聚糖酶有啥区别,木聚糖酶喂牛的功能及应用

图 6 XaARF、BaARF 和 AnARF 对 A 2+3 XX水解的活性比较

将XaARF的作用与两种商业可获得的阿拉比诺呋喃糖苷酶(ARF)进行了比较:BaARF和AnARF(均来自Megazyme Ltd.)。

BaARF属于GH43家族,已知其特异性地切割与双取代木糖喙核苷基的C3连接的末端阿拉比诺呋喃糖残基。AnARF是一种51家族酶,已知其水解末端阿拉比诺呋喃糖连接,图6中的曲线支持这样的活性描述。

此外,酶XaARF在相同的反应条件下产生的阿拉伯糖产量是这两种酶的两倍或更多,因为它催化了双取代木糖单元中C2和C3连接的阿拉比诺呋喃糖残基的释放(这也由图5中的结果所证实)。

木聚糖醇和木聚糖酶有啥区别,木聚糖酶喂牛的功能及应用

参考文献:

[ 1 ]Biely, P.、Vrsanskáa, M.、Tenkanen, M. 和 Kluepfel, D. (1997) 内切-β-1,4-木聚糖酶家族:催化特性的差异。生物技术杂志,57, 151-166。[ 2 ]Biely, P.、Singh, S. 和 Puchart, V. (2016) 复杂植物木聚糖结构的酶促分解:最新技术。生物技术进展,34,1260-1274。[ 3 ]Biely, P. (2003) 木聚糖分解酶。载于:Whitaker, JR、Voragen, F. 和 Wong, D. 编,食品酶学手册,Marcel Dekker,纽约。

[ 4 ]Izydorczyk, MS (2021) 阿拉伯木聚糖。载于:Phillips, G. 和 Williams, P., Eds., Handbook of Hydrocolloids, 3rd Edition, Elsevier, Ltd., Amsterdam, 399-441。[ 5 ]Zannini, E.、Nunez, AB、Sahin, AW 和 Arendt, EK (2022) 作为功能性食品成分的阿拉伯木聚糖:综述。食品,11,第 1026 条。