艾萨克·牛顿,一个任何人都耳熟能详的人物,他的大名是如此的如雷贯耳,他是大部分人上学时认识到的第一位物理学家、数学家,他是人类历史上少有的天才级人物。

牛顿本人正如他的名字一样,真的很牛!他是人类历史上第一位将科学和神学分家的人,他凭借一己之力,通过总结前人的经验,凭借自己犹如神助一般的思维见解,以及高超的数学能力,开创了经典物理学。
其中最为伟大的发现就是我们熟知的万有引力,万有引力的发现不仅为开普勒的三大定律提供了理论依据,还解释了人们日常生活中看到的所有物体自由下落的现象,以及行星绕太阳运行的本质。

万有引力的数学公式看起来相当的简洁,但其中有两个相当关键的部分:万有引力的大小和两个物体的质量成正比,而与两个物体之间距离的平方成反比。
第一部分我们还能够理解,但第二部分F∝1/r,这个关系现在看来依然让我们感到困惑,为什么引力会和质量物体距离的平方成反比呢?牛顿当时是怎么知道这种数学关系的?
今天我们就说下平方反比的来历,通过这件事,我们就能充分的认识到牛顿在当时的惊人见解。

在说牛顿之前我们不得不提一下伽利略和笛卡尔,这两位历史上比较有名的物理学家。因为牛顿本人都说了,他的成就是站在巨人的肩膀上完成的。
伽利略本人除了是一位伟大的天文学家以外,还是实验物理学的开山鼻祖,在伽利略之前,人们认为力是维持物体运动的根本,这个观点来自亚里士多德。
说的意思是,物体运动是因为他受到了一个持续的力,如果撤掉这个力,物体就会静止。但伽利略认为力不是物体运动的根本,是改变物理运动速度的原因。
其实伽利略已经把牛顿第二定律差不多说出来了。(F=ma)

再一个就是笛卡尔,在开普勒提出行星运动三大定律以后,很明显亚里士多德之前提出的物理规律已经不适合新的时代要求了。
(亚里士多德认为在地球上重物下降、轻物上升,在地球之外的天上和地球不遵循同样的物理规律,天上是由以太组成的,各大行星在各自的天球上绕着地球旋转,在行星的天球之外是恒星天球,然后是由上帝主管的原动力天,原动力天为行星的运动提供原动力)
因此为了适应新的太阳系模型(日心说)以及行星的椭圆轨道,就急需提出一套新的物理学,来为此模型作为理论基础。
笛卡尔当时想开创新的物理学,想完成牛顿的工作,但他最终还是没有成为牛顿这样的人。
不过笛卡尔还是提出了一些惊人的见解,为牛顿后来的工作铺平了道路。

首先笛卡尔认为宇宙中除了物质就是运动,再没有其他任何事物了。
这个思想相当的关键,意思就是说,地球和天上没有区别,都遵循着同样的物理规律。举个例子就是:在笛卡尔看来苹果和月球没有任何区别。
彻底否定了亚里士多德几千年来认为的,天地之别的概念。这个思想启发了牛顿,敢把月球绕地球的运动,和苹果在地面的下落联系起来进行研究。
其次笛卡尔认为,物体在没有受到外力的情况下,会保持自己原有的状态(静止或者匀速直线运动),而且数量守恒。
这个思想也启发了牛顿提出了第一定律,也就是惯性定律。
有了以上前人的成就,牛顿作为人类几百年难得一见的天才,能够开创新的物理学就显得理所当然了。
我们常听说牛顿的万有引力来自于他在家躲避瘟疫的时候,看见自家后院下落的苹果想到的,其实并不是这样的,牛顿躲避瘟疫的时间是1665年,而万有引力出来的时间是1687年,这中间经历了23年。

足以见得万有引力并不是牛顿一时间的灵光乍现,而是几十年的辛苦成果,因此一颗苹果不足以让牛顿发现万有引力。
但这颗下落的苹果足以让牛顿思考,苹果本身是受到了一个看不见摸不着的力,不然苹果应该保持静止,而不会下落。(这一点可以从笛卡尔早就提出的惯性定律得出)
其实在当时很多人都认识到了这一点(苹果应该是受到了力才会下落,但他们不敢相信),但只有牛顿敢于相信,苹果受到了一种看不见的、魔法般的、超距作用力。
说真的,就算亚里士多德复活,他也不敢相信世间竟然有如此神奇的魔法之力,那么牛顿为何就愿意相信呢?

因为在牛顿的心里一直住着一位万能的上帝,一位有着自由意志的上帝,牛顿本人一生都痴迷着炼金术,他相信世间存在魔法,相信超自然现象,有人甚至认为牛顿除了是一位科学家以外,他还是人类历史上最后一位魔法师。
这样的牛顿相信两个物体之间有超距作用力,就显得合乎情理了。
而牛顿研究这个超距作用力并不是从苹果入手的,而是绕地球旋转的月球,根据笛卡尔的见解,牛顿本人产生了这样在当时十分超前的想法:
让苹果下落的力和使得月球绕地球旋转的力是同一个力。
不可否认,这是牛顿灵光乍现的时刻。
而且牛顿为了验证他这个想法, 还做了一个惊人的思想实验。就是牛顿大炮。

想象在一座高山上架一门大炮,就像上图那样,现在大炮向前发射炮弹,排除空气阻力以及神乎其神的引力外,这个炮弹的路径就是A,直线匀速飞行,并且彻底的远离地球,不会落到地面上。
但是牛顿想,地球上有神奇的引力,那么炮弹的路径就会变成B或者是C,落点的远近取决于炮弹的初始速度。
那么当炮弹的速度达到一定的值,那么炮弹的下落的速率就会等于地面弯曲的速率,这时炮弹就不能落到地面上了,它的路径就是D。
这时的炮弹其实是一直往地面落,但是总是会错过地面,因为地面是弯曲有一定曲率的。那么同样的,月球绕着地球转,也是同样的道理,月球一直在受到地球的引力,往地面落。但是一直在错过地面。
这个想法简直神了,不仅让牛顿知道了平方反比定律,而且这也是现代人类发射火箭的原理。没有一个聪明绝顶的大脑,是根本想不到这个思想实验的。

那么牛顿是如何证明平方反比定律的?
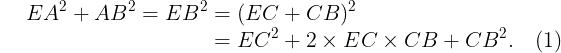
上图就是月球绕地球运动的轨道,月球的轨道速度为V,如果月球没有受到地球的引力,那么它的路径就是AB,在任何时间内AB的距离都等于VΔt。
但是月球会受到地球的引力,那么在Δt的时间内月球都会落向地球,而下落的距离就是CB。
三角形EAB是一个直角三角形,那么通过勾股定理就能得出:

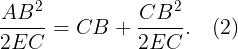
其中EC和EA是相等的,可以抵消掉,然后给式子的两边我们再除一个2EC,得:

上个式子中的CB,这个值的大小会随着Δt的变小而变小,而CB²会比CB变小的更快,也更快的趋近于0,因此我们可以忽略掉上式中的CB²,得出:

上式中的AB等于VΔt,EC其实就是月球的轨道半径,因此:

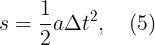
牛顿当时也知道自由落体公式,他能轻而易举的写出一个物体在Δt的时间内下落的距离:

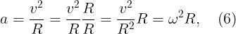
上个式子中的a就是自由落体的加速度,因此在根据式子(4),我们就能写出月球自由落体的加速度为:a =v²/ R。还可以写成:

上式中的ω是角速度,ω还可以写成:

上式中的C是月球轨道的周长等于VT(T月球的轨道周期),所以ω=2π/ T。
在牛顿当时已经知道了月球的轨道周期,以及月球的轨道半径,所以把这些数字带到式子(7)和(6)中就能得出月球的a= 0.274cm / s²。
很明显,月球在距地地球R的位置上所受到的重力加速度小于地球表面处的重力加速度(g = 981 cm /s²);
这表明当远离地球的时候,引力就会减小,但是它们之间的关系是什么呢?
对于地球表面来说,苹果与地球的距离就是地球的半径Rₑ = 6371 km,而月球与地球的距离为R =384400公里。
牛顿注意到g / a和R / Rₑ之比分别为3580和60.33。
两者之间的关系大约是:

牛顿得出这个数学关系的过程并不是特别的复杂,主要的是他的思想在当时无人能及。
也可以说,牛顿当时敢这样去想、去算,完全是因为自己炼金术士的身份。他相信宇宙中存在魔法般的超距作用力。
通过对月球轨道的计算,让牛顿更加坚信了自己的想法没有错。万有引力是真实存在的,而且可以写成F=GmM/r^2。
并且在1687年发表了人类历史上最伟大的巨著《原理》,为人类拨开迷雾,迎来科学的光明。