城市轨道交通系统包含众多的弱电系统,如通信、信号、综合监控、环境与设备监控、旅客信息显示、门禁、自动售检票、火灾自动报警、屏蔽门、应急照明、变电所综合自动化等系统,这些系统主要由计算机、网络设备及自动化控制设备等组成,负责地铁内部信息传递、车站旅客运输、环境监控、乘客导引等,属于重要或特别重要的一级负荷,需要可靠性很高的电源来保证供电质量和连续性。
随着近年来电力设备制造工艺和应用技术的发展,目前在通信机房和大型数据中心,均有采用大容量UPS系统集中供电的先例,大容量UPS电源系统和先进控制技术在通信和数据中心等领域有较成熟的经验,为在轨道交通工程中实现对各个弱电系统UPS电源的集中提供了有利条件。
结合目前技术发展和实际工程需要,有必要对地铁弱电系统采用集中UPS系统容量选择的方法进行研究,并给出具体的有指导性的计算方法。
一、负荷统计
通过对各系统UPS电源的需求分析,并结合各系统对UPS电源专业的提资,综合考虑确定集中UPS系统整合范围为:综合监控(含环境与设备监控、门禁)、专用通信、自动售检票(计算机网络设备)、办公自动化(包含票务室、站长室的视频监控)、旅客信息显示、环控电控室的智能低压、车辆段/停车场安防。
根据整合范围,分别对车站、车辆段、停车场、控制中心各被整合系统进行了统计,如表1~4所示。

说明:旅客信息显示系统中的户外LED负荷不纳入集中UPS系统。

表2 车辆段各系统负荷统计表
说明:只对综合楼内UPS进行整合,其他单体建筑UPS不整合。

表3停车场各系统负荷统计表

表4 控制中心各系统负荷统计表
说明:调度大厅的大屏幕负荷不纳入集中UPS系统。
二、UPS电源容量
根据各专业所提负荷资料,各站点集中UPS系统的计算总容量为:
车站UPS容量=30+20+6+3+30=89kVA
车辆段UPS容量=30+60+30+20+6+6=152 kVA
停车场UPS容量=20+40+3+6=69 kVA
控制中心UPS容量=30+40+30+20+15=135kVA
根据对北京上海地铁等已采用集中UPS系统地区的了解,设计阶段如按各专业提资直接相加得出的UPS容量普遍偏大,往往导致线路开通后UPS的负荷率很低。为准确衡量地铁各系统提资与目前实际各系统的需求之间的差异,现对既有线UPS使用情况进行了调研。
以下是对广州地铁五号线、二号线典型车站、车辆段、停车场、控制中心弱电系统分散设置UPS的情况的调查结果。

车站各弱电系统分散式UPS调查表(五号线三溪)

车辆段各弱电系统分散式UPS调查表(五号线鱼珠)

停车场各弱电系统分散式UPS调查表(二号线大洲)

控制中心各弱电系统分散式UPS调查表(五号线鱼珠)
根据对广州地铁五号线、二号线的实地调查情况,结合其它地区UPS整合后容量普遍偏大的教训,本次按调研出的各弱电专业实际需要的UPS容量进行计算和选型,并考虑一定的预量,而电池后备时间按各系统提资进行考虑,这种调研、统计的方法能更准确地体现各系统对UPS的实际需求。因此,考虑到UPS的最佳负载率在75%左右,以及不同线路不同厂家的负载设备的能耗差异(考虑系数1.3)和远期UPS负载增加的可能(考虑系数1.3),对UPS容量计算如下:
车站UPS容量:(3+2.1+2.3+1.95+6.8+2)/0.75×1.3×1.3=40.9kVA
结合产品的规格,取60kVA。
车辆段UPS容量:(2+6+3+3+3+5+12+3)/0.75×1.3×1.3=83.4 kVA
结合产品的规格,取100kVA。
停 车 场 U P S 容 量 : ( 2 + 2 . 8 + 5 + 2 + 6 )/0.75×1.3×1.3=40.2 kVA
结合产品的规格,取60 kVA。
控 制 中 心 U P S 容 量 : ( 4 + 6 + 1 7 + 3 + 2 + 6 )/0.75×1.3×1.3=85.6kVA
结合产品的规格,取100kVA。
三、蓄电池容量
目前在工程设计中蓄电池的容量计算主要有两种方法,一是电压控制计算法,此方法比较精确简单。另一种是国际上普遍采用的阶梯负荷计算法。此方法概念清楚,计算精度高,它的特点是在保证蓄电池终止电压不低于最低允许电压的前提下来计算蓄电池容量。由于集中UPS系统采用的是分时断电的运行模式,为了得到比较精确的计算结果,本文采用阶梯负荷计算法。
1.计算方法
(1)按负荷阶梯分段予以计算,取其中计算容量最大者。
(2)当有随机负荷(指末期冲击负荷)时,随机负荷单独计算所需容量,并叠加在第一阶段以外的计算容量最大的放电阶段,然后与第一阶段选择计算容量比较后取其大者。
2.计算步骤
(1)直流负荷统计

直流负荷统计表
上表中各系统实际负荷取值为广州地铁现场调查值,再分别考虑1.3(设备差异系数)和1.3(远期预留系数)的系数。
另外,由于集中系统的负载均为计算机类型,故负载的功率因数按0.8考虑,逆变器效率按0.8考虑(满载时逆变器效率一般能达到0.9以上,但是从安全和经济的角度考虑,一般考虑负载率为75%左右时的效率)。
(2)绘制负荷曲线

(3)按直流母线允许最低电压要求,确定单体蓄电池放电终止电压。计算容量时,根据蓄电池型式、终止电压和放电时间,从上表中查找容量换算系数(KC)。
根据《电力工程电气设计手册—电气二次部分》的要求,为保证直流负荷端的电压满足要求,直流母线电压的波动范围按以下原则确定:对于控制、信号、保护装置等负荷时,电压波动范围按+10%,-15%考虑;对于事故照明、直流电动机、逆变电源装置、断路器电磁操动机构的合闸回路,电压波动范围按±10%考虑。因此,集中UPS系统蓄电池放电终止电压按1.8V考虑。电池选取阀控式密封铅酸电池。

④ 阀控式密封铅酸蓄电池(胶体)(单体2V)的容量选择系数表
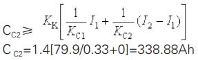
①按第一阶段(0~1min)计算容量:

②按第二阶段(1~30 min)计算容量:

③按第三阶段(30~60 min)计算容量:

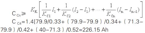
④按第四阶段(60~120 min)计算容量:

⑤随机(5s)负荷计算容量:

将CR叠加在C C2–C Cn中最大的阶段上,然后与C C1比较,取其大者,即为蓄电池的计算容量。
由于整合的系统中没有冲击性负荷,因此,不用校验随机负荷对容量的影响。
经计算第二阶段计算容量最大,为339 Ah,选取容量为400 Ah。
经同样方法,计算出:
车辆段第二阶段计算容量最大,为635Ah,选取容量为700Ah;
停车场第二、三阶段计算容量最大,为332 Ah,选取容量为400Ah;
控制中心第二阶段计算容量最大,为597 Ah,选取容量为700Ah;
其中,式中:

四、结语
轨道交通工程弱电集中UPS系统设计正日渐成为一种趋势,关于集中UPS系统设备容量计算和选取的基础是各被整合系统所提基础资料,建议地铁集中UPS系统实施中,由业主统一协调各被整合专业向集中UPS系统提资,强化提资准确性,明确实际使用负荷和负荷裕量,避免各专业所提负荷容量过大,造成设备容量选取过大的问题。同时,设计人员应在各专业提资基础上,统一综合考虑各系统裕量,做到合理配置设备容量,使集中UPS系统在成本控制、设备管理方面起到更显著作用。