数学上将圆的周长和直径的比值称为π,约为3.1415926,这是很多人最早接触到的一个无理数。从古*开代**始就有不少人沉迷于计算圆周率,4000年前的古巴比伦王国就已经记载了圆周率π=3.125,中国古代的刘徽和祖冲之利用割圆术将π计算到了3.1415926和3.1415927之间,到了现代的超级计算机已经将圆周率计算到了小数点后10万亿位,事实证明π依然是一个无理数(无限不循环小数)。

可能有人有疑问:如何知道圆周率π是无法算尽的呢?一直计算下去有可能发现π是可以算尽的,只是人类目前还没算到而已。如果某天数学家突然宣布圆周率算尽了,又会出现什么后果呢?

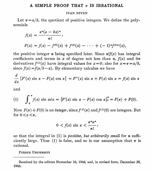
早在1947年,伊万·尼文就利用微积分和反证法证明π是无理数,圆周率已经经过严密的逻辑推理,如果未来被证实π能够被算尽,是一个有理数。不仅数学体系需要重新建立,就连科学测量标准都需要全部推倒重来。

如果圆周率能被算尽,那么割圆术就证明了将圆形分割到一定程度,“圆”就完全等于“正多边形”,这就意味着其实并不存在真正的“圆”,圆的光滑曲线实际上就是无数的小线段。这表明曲线也是不存在的,由于不存在曲线,几何学中的图形将变得混乱不堪。微积分中对曲线覆盖面积进行计算的思想方法也是错误的,极限累加理论也将不存在,微积分将会被颠覆,数学大厦将土崩瓦解。

如果圆周率被算尽,代表微积分是错误的,那么现代人利用微积分知识制作的集成电路将不存在,我们用的电子仪器也不会出现,航天工程中运用微积分制作模拟轨道也不会出现,或者说出现的一切都是瞎蒙的。物理学中很多常数都与π有关,把无理数π修改成一个有理数,那么组成物质的分子原子的电子轨道可能变得不稳定,物质难以凝聚形成,整个世界都会被牵连。
当然了,圆周率确定无疑是一个无理数,是不可能被算尽的。但为什么还会有那么多人去计算圆周率的位数呢?有什么实际意义吗?

其实圆周率π已经成为了检验超级计算机能力的一把标尺,能够辅助超级计算机的发展。由于圆周率计算过于复杂,用一般的电脑很难进行计算,所以运算能力和稳定性越好的计算机就可以算出π小数点后的更多位数。当年英特尔推出奔腾系列时发现了一个BUG,这个BUG正是通过运算圆周率才发现的,π能够帮助人类完善科技技术。

圆周率π最大的用处在密码学,重要的文本信息通常会经过加密算法,然后加入参数形成密文。这个参数就是密钥,在破译密码时最先需要找到的就是它,密钥的形成通常有两种方式,一般会从文学典籍或文字从选取一些段落或者是计算机随机生成的随机数,前者容易被破译发现,而计算机软件生成的随机数其实都是伪随机数,是有迹可循的,并非真正的随机数。这时数学家会利用π的小数位和拼接素数产生真正的随机数,对重要信息进行加密。

假设某个国家突然发现圆周率并不是无理数,它可以从第1000亿亿位后开始循环,π就变成了一个循环的数字,这就相当于圆周率被算尽了。那么战场上截获的情报就有可能被破译,计算机系统也会出现重大漏洞。
由此可见,π被算尽将会出现一系列颠覆我们认知的事件,远比想象的更复杂。而超级计算机运算圆周率,并非要将它算尽,只是利用圆周率检测计算机自身性能而已。