
三角函数万能公式一般是指以下两公式:
其中,
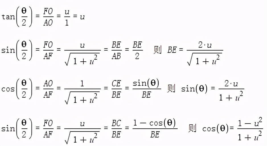
按示意图很容易得到以下的结论:

"万能公式"是中国数学书中的标准名称。在国外的数学书中,这两个公式一般描述为“ the method of last resort ”,最后的手段,兜底的公式,万不得已的公式。不得不说还是中国人乐观[捂脸]。但无论是"万能",还是"兜底",都足以说明这两个公式在三角函数中的分量。
此外,在国外的一些数学书中万能公式有时也称作“魏尔斯特拉斯三角函数代换公式”。没错,魏尔斯特拉斯(Weierstrass)就是那个发明了"处处连续而处处不可导的实值函数"的人。