a-甲基-9a-红霉素 A;9-脱氧-9A-甲基-9A-氮杂-9A-红霉素A;阿奇毒素;AZITHROMYCIN 阿奇霉素 标准品;阿奇霉素 (AZITHROMYCIN);阿奇霉素70%水溶性粉;水溶性阿奇霉素70%;AZITHROMYCIN 阿奇霉素 阿奇霉素多少钱
英文名 Azithromycin
详情请致电服务热线或前往瑞威尔生物科技官网查询
英文同义 10% aqueous azithromycin;70% water-soluble azithromycin;Azithromycin 98%;N-METHYL-11-AZA-10-DEOXO-10-DIHYDROERYTHROMYCIN A;Azitromvcin;11-(4-dimethylamino-3-hydroxy-6-methyl-oxan-2-yl)oxy-2-ethyl-3,4,10-tr;11-(4-DIMETHYLAMINO-3-HYDROXY-6-METHYL-TETRAHYDRO-PYRAN-2-YLOXY)-2-ETHYL-3,4,10-TRIHYDROXY-14-(5-HYDROXY-4-METHOXY-4,6-DIMETHYL-TETRAHYDRO-PYRAN-2-YLOXY)-3,5,6,8,10,12,13-HEPTAMETHYL-1-OXA-6-AZA-CYCLOPENTADECAN-15-ONE;9-DEOXO-9ALPHA-METHYL-9ALPHA-AZA-HOMOERYTHROMYCIN A
CAS 83905-01-5
分子式 C38H72N2O12
分子量 748.98
EINECS 617-500-5
相关类别 标准品;中药对照品;医药中间体;生化试剂;兽药类;化合物:原料药;抗生素类;对照品;微生物代谢物;化工;兽用原料;抗生素;兽药;大环内酰胺类抗生素;药物;原料药;植物提取物;原料;小分子*制剂抑**,天然产物;医药原料;有机硅化合物;医药原料药;合成;医药化工类;化学试剂;对照品-杂质对照品;原料中间体-原料药;其他化工产品;API原料药;化工原料-1;原料药API;医用原料;阿奇霉素,农药及染料中间体 阿奇霉素厂家
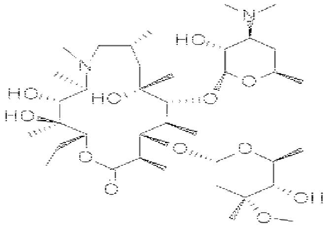
结构式 阿奇霉素

性质
熔点 113-115°C
比旋光度 D20 -37° (c = 1 in CHCl3)
沸点 822.1±65.0 °C(Predicted)
密度 1.18±0.1 g/cm3(Predicted)
储存条件 Store at -20°C
溶解度 Practically insoluble in water, freely soluble in anhydrous ethanol and in methylene chloride.
形态 neat阿奇霉素价格
酸度系数(pKa) pKa 8.74 (H2O t=25 I=0.167) (Uncertain);9.45(H2O t=25 I=0.167) (Uncertain)
旋光性 (optical activity) [α]/D 45±2°, c = 1% in ethanol
稳定性 Stable. Incompatible with strong oxidizing agents.
EPA化学物质信息 Azithromycin (83905-01-5)