#头条创作挑战赛#

全文共1181字,预计阅读时间:3分钟
我们已经在三角函数的数学意义、三角函数的概念等基本知识的基础上学习了同角三角函数之间的基本关系以及使用三角函数时常用的诱导公式,同学们记得多翻看推文进行复习哦!
数学学习 | 高中知识点解析与讲解 - 正弦函数与余弦函数的图像和性质(值得学习) | 文末福利
研究函数必须要研究其图像和性质,三角函数也不例外,由于三角函数涉及的函数较多,因此我们先来学习正弦函数和余弦函数,下周我们再来学习正切函数哦!

正弦函数图像
我们已经知道了在单位圆中,一个角度x对应的纵坐标为该角度x的正弦函数sin x,那么我们可以利用单位圆找到正弦曲线上的个别点的坐标,例如:

那么当选取的点无限多时,我们便得到了正弦曲线:

余弦函数图像
根据之前学习的诱导公式六sin(π/2+a)=cos a,我们可以发现,余弦曲线是正弦曲线向左移动π/2得到的,也就是:

根据上述的正弦曲线和余弦曲线,我们可以发现,当横坐标为0,π/2,π,3π/2,2π时,纵坐标为0,1,0,-1,0以及1,0,-1,0,1;
同学们可以利用曲线上五个特殊的点描绘出连续光滑的曲线,也就是正弦曲线和余弦曲线,这种方法被称为五点画图法。

正弦函数性质
首先,通过上面的正弦曲线,以及我们之前学习的诱导公式一sin(a+2πk)=sin a(其中k∈Z),我们可以得到正弦曲线是具有 周期性 的,其周期为2πk(k∈Z,k≠0),这种具有周期性的函数被称为周期函数:

如果周期函数的所有周期中存在一个最小的正数,这个最小的正数就叫做该周期函数的最小正周期,2π就是正弦函数的最小正周期;
其次,根据上面的正弦函数图像,以及诱导公式三sin(-a)=-sin a,我们可以发现正弦曲线是关于原点O对称的,也就是说正弦函数是 奇函数 ;
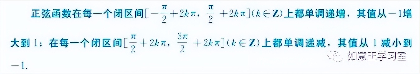
另外,在一个周期范围内,我们可以发现正弦函数在区间【-π/2,π/2】上是单调递增的,在【π/2,3π/2】上是单调递减的,根据其周期性可得:

最后,根据单调性,我们可以得到正弦函数当且仅当x=π/2+2πk(k∈Z)时取最大值1,当且仅当x=-π/2+2πk(k∈Z)时取最小值-1。
余弦函数性质
首先,与正弦函数相同的,余弦曲线是具有 周期性 的,其周期为2πk(k∈Z,k≠0),2π也是余弦函数的最小正周期;
其次,根据上面的余弦函数图像,以及诱导公式三cos(-a)=cos a,我们可以发现余弦曲线是关于y轴对称的,也就是说余弦函数是 偶函数 ;
另外,在一个周期范围内,我们可以发现余弦函数在区间【-π,0】上是单调递增的,在【0,π】上是单调递减的;
最后,根据单调性,我们可以得到余弦函数当且仅当x=2πk(k∈Z)时取最大值1,当且仅当x=π+2πk(k∈Z)时取最小值-1。

今天,我们学习了正弦函数和余弦函数的图像与性质,希望可以帮助同学们更好的进行高中数学学习哦!
同学们有任何不懂的内容可以留言提问,如果有需要的话我们会有习题类推文哦!
下一期我们将继续讨论数学学习的相关问题呀!如果你想知道更多,请关注我们哦!
本文由如意王工作室原创,欢迎关注,带你一起长知识!