本章内容
- 因素分解理论
- 因素分解模型
- 指数平滑预测模型
- ARIMA季节加法模型
- ARIMA季节乘法模型
本节内容
- 指数平滑预测模型
- ARIMA季节加法模型
- ARIMA季节乘法模型
指数平滑预测模型
指数平滑方法的基本思想:
在实际生活中,我们会发现对大多数随机事件而言,一般都是近期的结果对现在的影响会大些,远期的结果对现在的影响会小些。为了更好地反映这种影响作用,我们将考虑到时间间隔对事件发展的影响,各期权重随时间间隔的增大而呈指数衰减。这就是指数平滑法的基本思想。
分类:简单指数平滑;Holt两参数指数平滑;Holt-Winters三参数指数平滑
确定性因素分解的第二个目的是根据序列呈现的确定性特征,选择适当的模型,预测序列未来的发展。根据序列是否具有长期趋势与季节效应,可以把序列分为如下三大类分别采用三种不同的指数平滑模型进行序列预测:

简单指数平滑

简单指数平滑预测模型


例

Holt两参数指数平滑

Holt-Winters三参数指数平滑

例



例


季节模型
定义:很多的实际问题中,时间序列会显示出周期变化的规律,这种周期性是由于季节变化或其他物理因素所致,我们称这类序列为季节性序列。
季节事件序列的重要特征:周期性


当然,影响一个季节性时间序列的因素除了季节因素外,还存在趋势变动和不规则变动等。我们研究季节性时间序列的目的就是为了分解影响经济指标变量的季节因素,趋势因素和不规则因素,据以了解它们对经济的影响。
ARIMA季节加法模型(或简单季节模型)

例 6-6 使用ARIMA模型拟合1962-1991年德国工人季度失业率

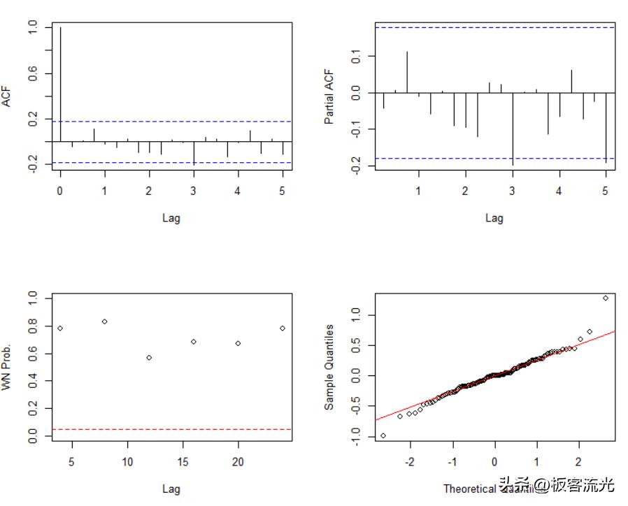
白噪声检验


差分后自相关图和偏自相关图
偏自相关图除了1阶和4阶偏自相关系数显著大于2倍标准差,其他阶数的偏自相关系数基本都在2倍标准差范围内波动。所以尝试拟合疏系数模型 AR(1,4)。考虑到前面进行的差分,实际上就是拟合疏系数的季节加法模型。

参数估计与模型检验

拟合模型残差诊断

模型拟合效果图

ARIMA季节乘法模型




补充:季节ARMA模型









例 6-7使用ARIMA模型拟合1948-1981年美国女性(20岁以上)月度失业率序列

序列时序图

1阶12步差分后序列时序图



加法(简单)季节模型拟合结果

乘法模型定阶


参数估计与模型检验

拟合模型残差诊断


乘积季节模型拟合效果图

