
高中数学:必修4全册公式定理汇总,快收藏!
查看更多初中、高中知识,关注我哦,每天都更新!
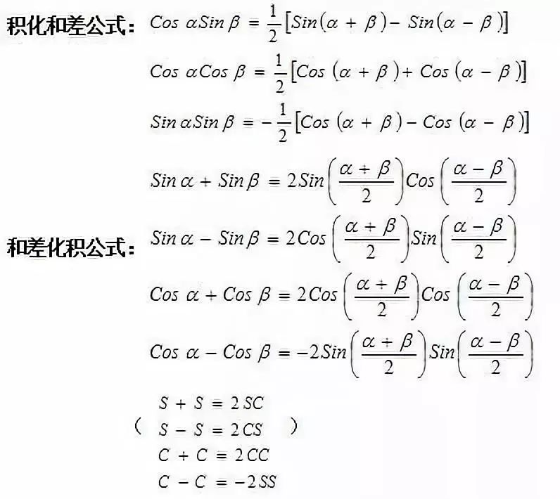
基本三角函数




基本三角函数符号记忆:
一全,二正弦,三切,四余弦
一全正,二正弦,三两切,四余弦


三个倒立三角形上底边对应三角函数的平方何等与对边对应的三角函数的平方




上述的诱导公式记忆口诀:奇变偶不变,符号看象限


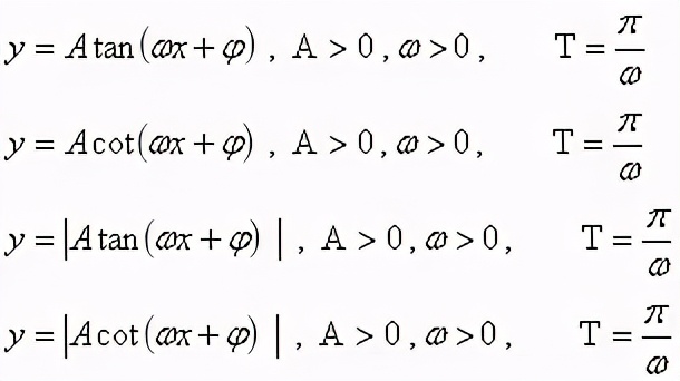
三角函数的性质
















数学大师

高中数学:必修4全册公式定理汇总,快收藏!
查看更多初中、高中知识,关注我哦,每天都更新!
基本三角函数




基本三角函数符号记忆:
一全,二正弦,三切,四余弦
一全正,二正弦,三两切,四余弦


三个倒立三角形上底边对应三角函数的平方何等与对边对应的三角函数的平方




上述的诱导公式记忆口诀:奇变偶不变,符号看象限


三角函数的性质
















数学大师