
不说再见
分享兴趣,传播快乐,增长见闻,留下美好。
亲爱的您,
这里是LearingYard学苑!
今天小编为大家带来《随机需求下生鲜电商供应链物流合作与运营决策》 消费者对产品保鲜努力敏感度对供应链利润影响绘图分析。
欢迎您的用心访问!
Share interest, spread happiness,
increase knowledge, and leave beautiful.
Dear you,
this is the LearningYard Academy!
Today the editor brings you "Fresh produce e-commerce supply chain logistics cooperation and operational decisions under random demand " An analysis of the impact of consumer sensitivity to product freshness effort on supply chain profitability mapping.
Welcome your visit!
内容摘要
本期推文将通过思维导图,复刻论文内容,知识补充三个板块,复刻来自于中国管理科学期刊的期刊论文《随机需求下生鲜电商供应链物流合作与运营决策》消费者对产品保鲜努力敏感度对供应链利润影响绘图分析。
This tweet will review the journal paper "Fresh produce e-commerce supply chain logistics cooperation and operational decisions under stochastic demand" from the Chinese Journal of Management Science through three sections: mind mapping, replication of the paper content, and knowledge supplement.
思维导图
关于消费者对产品保鲜努力敏感度对供应链利润影响绘图分析的思维导图如下:
A mind map on the mapping analysis of the impact of consumer sensitivity to product freshness effort on supply chain profitability is as follows:

精读内容
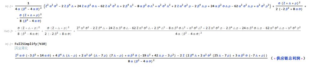
本次研究的问题是消费者对产品保鲜努力敏感度对供应链利润影响。研究供应链利润的变化,需要求得供应链利润表达式,供应链的利润由供应链各成员的利润之和,因此需要根据模型求得供应链成员的利润,在进行相加,才可得到供应链利润函数,以A(独立经营模式)模式作为代表进行说明,供应商合作模式和电商合作模式对于供应链利润的求解模式相同:
首先根据A模式的原有模型求得供应商利润、物流服务商利润、生鲜电商利润(之前的推文有求解生鲜电商利润过程)。
The problem in this research is the impact of consumer sensitivity to product freshness effort on supply chain profit. To study the change in supply chain profit, we need to find the supply chain profit expression. The profit of the supply chain is the sum of the profit of each member of the supply chain, so we need to find the profit of the members of the supply chain according to the model, and then add them together to get the supply chain profit function, using the A (independent business model) model as a representative for illustration:
First, according to the original model of the A model to find the supplier profit, logistics service provider profit, fresh produce e-commerce profit (previous tweets have solved the fresh produce e-commerce profit process).

使用mathematica软件求得供应商利润如下图:
Using mathematica software the supplier profits were found as follows:


使用mathematica软件求得物流服务商利润如下图:
Using mathematica software the profits of the logistics service provider were found as follows:


生鲜电商利润的表达式为:
The expression for fresh produce e-commerce profits is:


然后通过将三个供应链成员的利润相加并化简,得到供应链利润:
Supply chain profits are then obtained by summing and simplifying the profits of the three supply chain members:

随后将得到的供应链利润表达式赋值并放入matlab中,进行绘图:
The resulting supply chain profit expressions were then assigned and placed in matlab to plot:

用同样的方法求解供应商合作模式和电商合作模式的供应链利润表达式,并对其进行赋值写入matlab代码中,整个代码如下图:
The supply chain profit expressions for the supplier cooperation model and the e-commerce cooperation model are solved in the same way and assigned to the matlab code, the whole code is shown below:

可以看到绘制的图像与原文一致。
It can be seen that the image drawn is consistent with the original.


知识补充
此文研究了供应链协调的问题,也可以变相理解为供应链利润分配问题,那么供应链利润分配需要注意哪些原则?
1、平等原则
平等原则是利益分配的最基本的原则,如果供应链企业相互间不平等,那么就不可能形成长期的合作关系,也不能使整个供应链保持高效的运营,也就不能实现供应链最大利益。
2、公平兼顾效率的原则
应链企业是作为一个整体开展活动的,企业间存在着复杂的相互关联的工作内容,需要各成员企业的相互协同工作,公平有助于企业间的团结精神,避免企业间过度竞争和隔阂,从而影响整个供应链的绩效。
3、互惠互利的原则
互惠互利是指在企业合作过程中,要保证每个成员企业都能从成功后的供应链中获取相应的利益,否则将会损害成员企业的积极性。
4、协商让利原则
在利益分配中过程中,最容易产生分歧引起纠纷的,是在实践中出现的协议中又无规定的或规定不明确的新利益。这时,应本着实事求实、充分协商的原则解决。
5、利益与风险挂钩原则
一般而言,成员企业所承担的风险越大,其所获的利益也应该越多,如果不考虑利益与风险的相关性,企业将会缺乏动力去承担风险。
6、科学分配原则
制定供应链企业利益分配方案是以科学的合作利益分配理论为基础,而不是完全凭主观判断。以科学的理论为基础制定的虚拟企业利益分配方案将更能让成员企业接受。
7、信息透明原则
信息沟通问题通常是引起矛盾的原因,因此,为了减少因信息沟通而造成的误会和矛盾,供应链核心企业在利益分配过程中应及时披露利益分配的方案等信息。
This article examines the issue of supply chain coordination, which can also be interpreted as the issue of supply chain profit distribution in disguise, so what principles should be noted in supply chain profit distribution?
1、The principle of equality
The principle of equality is the most basic principle of profit distribution. If the supply chain enterprises are not equal to each other, it is impossible to form a long-term cooperative relationship, nor can the whole supply chain maintain efficient operation, nor can the maximum benefit of the supply chain be realized.
2、The principle of fairness and efficiency
The enterprises in the supply chain should carry out activities as a whole, and there are complex interrelated work contents between enterprises, which require the mutual synergy of the member enterprises. Fairness helps the spirit of solidarity between enterprises and avoids excessive competition and disconnection between enterprises, which affects the performance of the whole supply chain.
3、The principle of mutual benefit
Mutual benefit means that in the process of enterprise cooperation, it is necessary to ensure that each member enterprise can obtain corresponding benefits from the successful supply chain, otherwise it will damage the enthusiasm of member enterprises.
4、The principle of negotiation and concession
In the process of benefit distribution, the most likely to produce differences that cause disputes is the new benefits that appear in practice and are not stipulated in the agreement or are not clearly stipulated. At this point, they should be resolved in accordance with the principle of realism and full consultation.
5、The principle of linking benefits and risks
Generally speaking, the greater the risks borne by member enterprises, the more benefits they should receive. If the correlation between benefits and risks is not considered, enterprises will lack the incentive to take risks.
6、The principle of scientific distribution
The benefit distribution plan for supply chain enterprises is based on the scientific theory of benefit distribution, rather than on subjective judgement. The virtual enterprise benefit distribution plan based on scientific theory will be more acceptable to member enterprises.
7. The principle of information transparency
Therefore, in order to reduce the misunderstanding and contradiction caused by information communication, the core enterprises of the supply chain should disclose the information of the benefit distribution scheme and other information in the process of benefit distribution in a timely manner.
今天的分享就到这里了。
如果您对今天的文章有独特的想法,
欢迎给我们留言,
让我们相约明天。
祝您今天过得开心快乐!
That's it for today's sharing.
If you have a unique idea about today’s article,
welcome to leave us a message,
let us meet tomorrow.
I wish you a nice day !
参考资料:DeepL翻译,知乎,百度
参考文献:崔鑫,李春发,周驰,米新新,沈瑶.随机需求下生鲜电商供应链物流合作与运营决策[J/OL].中国管理科学:1-15[2023-02-05].
本文由LearningYard学苑整理发出,如有侵权请在后台留言!
、
文字 | clear
排版| clear
审核| Goldfish