«——【·前言·】——»
近年来,在世界范围内能源改造已成为一个迫切的目标,越来越多的兴趣集中在为现有的建筑物的开发。
纳米粒子掺合混凝土具有足够的力学性能和耐久性能,通过优化混凝士渗透性和掺入适当的纳米粒子类型的混凝土基质。

为了研究纳米复合材料作为对液体渗透到混凝士中的致密屏障的*在用潜**途,三种类型的纳米颗粒,包括氧化锌(Zno),氧化镁(Mgo),和复合纳米颗粒被用于研究中替代部分ce-ment。
此外,添加这些纳米粒子的混凝土在不同龄期的孔结构和力学强度的影响进行了测定,并扫描电子显微镜(SEM)图像,然后被用来说明纳米粒子在水泥浆体中的均匀分散。

结果表明,少量纳米颗粒的加入有效地增强了混凝土的力学性能,从而减小了水渗透前沿的范围。
使用遗传算法(GA)编程的行为模型来描述在不同年龄段的各种压缩和拉伸应力状态下的纳米粒混合混凝士样品的随时间变化的行为特征。

«——【· 三种类型的纳米颗粒 ·】——»
纳米颗粒通常被掺入水泥浆、砂浆或其他具有不同特性的传统建筑材料中,这种材料可以具有高层、大跨度或智能、多功能结构建设所需的先进或智能性能,以及使它们更加环保的系统。
在水泥浆体和混凝混合物中引入纳米颗粒,可能会导致一些提高现代混凝土力学性能和耐久性的方法,然而很少有人注意到纳米技术在水泥基体和混凝土中的应用,目的是能源改造和更大的可持续性。

与水泥颗粒相比, 纳米颗粒具有高的表面积与体积比以及更高的表面能 ,提供了巨大的化学反应性的潜力。
由于纳米粒子具有较高的隔热性能,可以有效地利用这些材料来减少建筑和结构中的热量损失,这就需要高的热阻。

虽然在水泥基复合材料中掺入了二氧化硅(Sio2)和氧化(纳米Tio2)纳米粒子的有益效应已经有了大量的研究,但关于其他纳米金属氧化物在混凝士中的影响的研究还很少。
因此,添加纳米材料添加剂的这些热物理效应需要仔细评估,并考虑到所有类型的纳米颗粒。

Flores-Velez和Dominguez研究了氧化锌纳米颗粒的掺入作为水泥的替代物,对添加纳米sio2(NS)和纳米Fe20(NF)纳米颗粒的水泥砂浆的机械强度和压敏性能进行了实验研究。
结果表明,掺入纳米Sio2和纳米Fe20的水泥砂浆的28天平均抗压强度和抗折强度均高于相同含水率的普通水泥砂浆。

此外,还实验了含有二氧化(TiO2)和二氧化硅(Sio2)纳米颗粒的混凝土的耐磨性。
结果表明,随着纳米颗粒掺量的增加,混凝土耐磨性的提高幅度减小,掺纳米Ti02的混凝土比掺等量纳米Sio2的混凝土具有更高的耐磨性。

由于热导率对混凝土有效含水量的敏感性很高,因此纳米材料被强烈推荐用于保温系统,已有研究表明,随着NS含量的增加,空气中的含量增加,表观密度随之减小,而NS颗粒的大小对空气含量和表观密度的影响最小。
研究员还广泛地研究了热导率与含水量的关系,混凝土的渗透性和渗透性是影响混凝土结构长期耐久性的最重要的水力特性。

水头决定了水流的入渗能力,毛管力在入渗中起着最重要的作用,同样这些水力性能取决于内部孔隙、微裂纹和毛细管的大小和数量,这些也可能对热扩散率产生影响。
毛细作用是一种物质吸引另一种物质进入其中的能力,在养护过程中,随着混凝土表面多余水分的蒸发会形成毛细现象。

了解有效导热系数和水分含量之间的定量关系,是正确调查围护结构传热和传质以及随后的建筑能耗所必需的。
考虑到低渗透混凝土结构坚固耐用的事实,纳米材料被强烈推荐用于现有结构的能量改造和加固。

一些研究人员报道,纳米二氧化硅(NS)和硅灰(SF)可能会导致水泥基复合材料(混凝,砂浆和净浆)的热导率降低,可随着添加剂的加入,这种趋势逆转。
为了研究纳米结构材料对混凝土时变热物理性能(即混凝土的力学性能),三种类型的纳米颗粒包括氧化锌(Zn0)、氧化镁(Mgo)和复合纳米颗粒被用于本研究中作为水泥的部分替代物。

纳米氧化锌(ZnO)和纳米氧化镁(MgO)作为热化物家族中的重要材料之一,近年来得到了越来越多的研究。
通过在空气中热氧化锌纳米颗存制备氧化锌纳米结构,氧化锌纳米结构独特的结构和力学性能以及其制备的简单性使其用途更加广泛。

由于其独特的物理和化学性质,氧化锌在建筑工业、纺织工业、电子及电工技术工业等领域有着广泛的应用前景,然而却很少有关于氧化锌纳米颗粒对水泥基材料性能的影响的信息。
纳米MgO的加入提高了水泥基复合材料的力学强度,纳米MgO起到了填料的作用,增强了水泥基复合材料的力学性能内部结构。

采用X射线粉末衍射(XRD)、扫描电子显微镜(SEM)诱射电子显微镜(TEM)、紫外可见光谱(UV-Vis) 等手段对纳米粒子进行了表征。
X射线衍射(XRD)作为一种快速分析技术被广泛应用于纳米材料的品相鉴定,可以提供平均粒度、孔径和原子间距等信息。

纳米氧化锌的部分置换促进了水化早期C-S-H凝胶的形成,使Ca(OH)2增多X射线射 (XRD)分析表明,纳米氧化锌可以形成钙锌水合物。
此外,透射电子显微镜(TEM)常用于通过成像获得小纳米颗粒的尺寸,评估其形状和相通过衍射图获得晶体取向信息,并通过能谱发现化学成分。

TEM可以产生非常高分辨率的分割表面的图像,揭示小于Inm大小的细节,透射电子显微镜(TEM)对所制备的纳米粒子进行了表征。
X-射线衍射(XRD)中使用的纳米颗粒的物理和化学性质如表1和图2所示。

表1,ZnO和MgO纳粒子的物理和化学特征
图2(c)和图2(d)显示了纳米尺度下氧化锌(ZnO)和氧化镁(MgO)在高放大率下的透射电子显微镜(TEM)图像。

图2(c)ZnO颗粒的TEM图像
由于具有介于之间的衍射角的微品,峰变宽(“70)和 (30”-90")纳米颗粒中的至少一种,由于合成材料的纳米晶体性质,峰非常尖锐。

图2d
使用Scherrer公式计算了纳米颗粒的平均尺寸,氧化锌和镁纳米颗粒的平均尺寸分别为50nm和20nm。

«——【·纳米材料的均匀分布·】——»
高剂量纳米结构材料在实际应用中的一个主要问题是纳米颗粒在细胞内的不适当和不良分布,基质所谓的堆积效应现象。
由于与干燥相关的体积变化,纳米粒子趋向于阿格洛-梅拉特,并成为一个在水泥浆体、摩尔-焦油和混凝土中产生弱区的物质,从而抑制了机械强度的进一步增加。

图3显示了纳米粒子在水泥、砂浆和混凝土样品中的分布情况。
在纳米粒子分散的情况下,纳米混凝土的力学性能和耐久性都得到了很大的提高,造成这一现象的原因有以下几个方面:一是Ce的孔率和总孔隙体积的减小,以及微观结构的改善。
从纳米压痕试验中可以看出,在纳米粒子的存在下,高刚度C-S-H相数量的增加是这种情况下力学性能增强的另一个原因。

图3:水泥砂浆基体中的纳米颗粒分散情况
广泛的研究技术可用于纳米材料,在水泥基基质中的分散和由此产生的微观结构和机械性能的改善。
为了确保水泥基体中的纳米粒子的正确和均匀的分布,扫描电子显微镜(SEM)的断裂表面的图像,可以有效地使用。

图4:含有0.5%氧化锌纳米颗粒的混凝土试样破坏表面的扫描电镜图像
图4和图5演示了一将分别含有05%ZnO和05%Mgo纳米颗粒的混凝土试件的破坏表面的SEM图像进行绘制。在混凝土试件中使用超声波,它会很明显纳米颗粒在水泥基体中分散良好。

图5.含有0.5%氧化镁纳米颗粒的混凝土试样破坏表面的扫描电镜图像
«——【·方法:材料和测试·】——»
所有样品中使用的水泥均为相等于ASTMII型的普通硅酸盐水泥(PC),其化学特性、矿物组成和一些物理性质如表2-4所示。

表2.所使用的硅酸盐水泥(PC)与标准水泥比较的化学特性
骨水泥的比重为3.13,初始凝固时间为154 min。所使用23.8%的水是干净的,没有杂质,而且是从便携式供水系统中提取的。

表3.所利用的硅酸盐水泥的矿物组成
在混合物中加入密度为1.2 m2 /kg和0.5-1.5%的萘磺酸型高效减塑剂,以提高可加工性。

表4.所用硅酸盐水泥的一些物理性能
根据ACI211制备了13种不同比例为0.1%、1%、0.5%、1.5%的纳米颗粒混合混凝土混合物,包括13种混凝土混合设计,分别为19 mm,比重2.69 gr/cm3,吸水率0.65%,粒度模量为3.12,比重2.81 gr/cm3,吸水率0.9%,0.9%,
每胶凝材料的水比保持恒定(w/cm = 0.61),所有混合物的水泥量约为350(kg/m3),表5为本研究中使用的混凝土混合料的混合比例。

表5.所用基层混凝土和纳米颗粒混合混凝土的混合比例
根据BS1881,在14个100 mm立方体上进行了抗压强度试验,根据ASTM C496,在14个150×300 mm钢瓶上进行了巴西分裂抗拉强度试验。
在7、14和28天的每次机械试验中,平均至少从同一混凝土样品中制作了3个样品,在测试期间所有的测试样品都在18˚C和22˚C(正常室温)之间的相同温度下进行测试。

为了确定28日龄这两种耐久性试验分别按照DIN 1048-5和ASTM C642进行。
许多研究人员已经证明,即使在高达3.5 MPa的压力下,在持续数周的测试时间内,具有低渗透率的混凝土样品也无法达到稳态流动条件。

在这个测试中,将水引入电池的顶部,并施加0.5 N/mm2的压力,迫使水穿透混凝土样品,采用96小时后的水渗透深度法进行渗透率测量。
使用带有颜色指示器的水,这有助于确定穿透深度的边界,为了通过渗透法测量水的系数,如果材料的渗透性较低,则可以应用瓦伦塔定律。

(a)分裂抗拉强度试验装置,(b)抗压强度试验装置,(c)失效(半爆炸失效)后的压缩试样立方体。
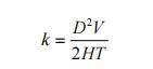
公式中,k=水渗透系数(m/s)、D=渗透深度(m)、V=渗透区中由水填充的空隙体积、H=施加压力(1 bar = 10 m)和T=渗透深度时间D (s)。

研究结果图7-10清楚地显示了纳米混凝土试样在养护7天和28天后的机械强度与纳米颗粒替代率的关系。

图7.混凝土试样在7天后的平均抗压强度
在这些图中,横轴表示氧化锌、氧化锰和复合纳米颗粒作为水泥的部分替代的百分比,纵轴表示三个样品的平均压缩/拉伸强度的kg/cm2。

图8:28天后混凝土试样的平均抗压强度
平均抗压强度和抗拉强度的细节分别见表6和表7:以三个混凝土试样的最大渗透深度和吸水量的平均值作为试验结果。

表6、7
结果如表8所示:

表8.混凝土试样的渗透性和吸水率。
根据标准DIN1048报告的渗透性范围见表9:

表9.根据标准DIN1048(第5部分)所规定的渗透性范围
使用的纳米颗粒的最佳替代率如下:
1)根据所得结果,本项目中使用的氧化锌纳米颗粒的最佳替代率为1%。
2)实验结果表明,水泥砂砂浆和含纳米颗粒的混凝土样品的流动性降低,这可能是由于纳米颗粒的大小,所以它们会吸收更多的水并干燥混合物。
3)实验表明,水泥砂砂浆和含纳米颗粒的混凝土样品的流度降低。其原因可以追溯到纳米颗粒的细度和它的更多的吸水率,从而导致混合物干燥。
4)从实验结果中可以看出,在本项目中使用的三种纳米结构中,纳米氧化物-镁和纳米氧化物的复合材料对水泥的力学强度有更有利的影响砂浆和混凝土样品比仅氧化物纳米颗粒和氧化镁纳米颗粒。
5)实验表明,水泥砂砂浆和含纳米颗粒的混凝土样品的流度降低。其原因可以追溯到纳米颗粒的细度和它的更多的吸水率,从而导致混合物干燥。
6)从实验结果可以看出,在本项目中使用的三种纳米结构中,纳米氧化镁复合材料和纳米氧化物对水泥砂浆和混凝土样品的机械强度的影响比仅氧化物纳米颗粒和氧化镁纳米颗粒更好,纳米颗粒的最佳百分比如表10所示。

表10.纳米颗粒替换的最佳百分比
近年来,研究人员提出了各种类型的数值方法来预测胶结的力学强度回归分析方法、人工神经网络(ANN)、支持向量机(SVM)、遗传规划方法(GP)、模糊逻辑(FL)和自适应神经模糊推理系统(ANFIS)等材料。
在这些著名的算法中,GP方法的最大优点是它能够提供实用的预测方程,这使其成为一种替代方法方法考虑到大量影响胶凝材料力学行为和试验。
样品减少的因素,遗传规划(GP)可以作为识别非线性模式和预测力学性能的有效工具,遗传规划(GP)生成简化的预测方程,而不假设现有关系的先验形式。

研究中,提出了一种新的多基因遗传规划(MGGP)方法来推导纳米混合混凝土力学强度的预测模型,为此使用树表示来匹配现有的实验结果。
混合物比例(即细骨料/粗骨料、水泥、水的含量、纳米颗粒类型及其百分比)和混凝土年龄被认为是影响特征。
利用试样的抗压强度和抗拉强度分别推导了两种不同的MGGP基公式。

表11.实验中使用的GP参数
输入变量FT用于识别纳米颗粒组分的类型,分别为0(不含NP)、1(含有氧化锌颗粒的混合物)、2(含有氧化镁颗粒的混合物)和3(含有复合颗粒的混合物)。
对于每次运行70%的观察结果被随机选择,并以均匀的分布来形成训练集,而其余的30%则形成测试集,进行了相当大量的代数测试,以找到误差最小的模型,实验中使用的GP参数总结见表11。

«——【·纳米混凝土抗压强度预测模型·】——»
利用遗传规划算法,在MATLAB软件中进行了一组运行,为抗压强度结果找出了最佳的参数整定方法,并最终选择了最优方案。
图11显示了训练和测试误差结果的统计参数随代数的变化如预期的那样,该算法的性能随着世代数的增加而提高。

图11,与纳米混凝土抗压强度模型相关的统计参数
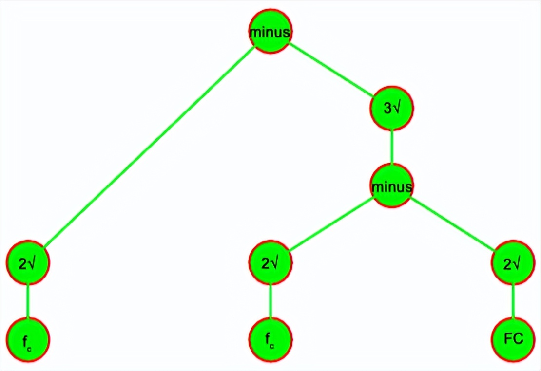
功能的抗压强度的纳米混凝土所代表的树结构,如图12所示。
每个子树表示其根结点标签的完整推导,这个方程中使用的参数是“FT”和“A”分别代表纳米纤维的种类和混凝的龄期。

图12.实验纳米混凝土抗压强度模型的最终树形结构
该分布函数用于在树根之间分配语义约束,基于对树形结构的评价,纳米混凝土的抗压强度可以计算如下:

从这个方程可以看出,纤维含量对纳米纤维混凝土的抗压强度没有显著影响因为它忽略了所提出的公式。
下表列出了拟议模型的统计参数,如表12所示模型的结果与实验结果之间存在良好的相关性(训练数据为09837,测试数据为0.9990),验证了模型的准确性,该模型对所有数据集的误码率均为3.5061%。

表12.纳米纤维混凝土抗压强度模型的静态参数值
在图13中,三维灵敏度分析显示了基于纤维类型(FT)和混凝士龄期(A)的纳米混凝士的综合强度如预期的那样,随着混凝土龄期的增加,纳米混凝土的抗压强度提高,老化效应远高于纳米纤维的类型。
关于纳米粒子类型对抗压强度值的影响,可以观察到氧化镁在提高纳米混凝土抗压强度方面比氧化锌有效得多。

图13.抗压强度(fc’)、FT(纳米纤维类型和A(混凝土年龄)之间的三维关系
«——【·纳米混凝土抗拉强度预测模型·】——»
为确定含纳米纤维混凝士的抗拉强度,将混凝土的抗压强度、纳米纤维的掺量和种类作为模型的输入。
利用遗传编程算法,在MATLAB软件中进行了一组运行,以找到拉伸强度结果的最佳参数调整,并最终确定了最佳图案被选中。
与上一节类似,该算法的性能随着代数的增加而提高,请参见图14。

图14、与纳米混凝土抗拉强度模型相关的统计参数
最终生成拉伸强度的树状结构模式,如图15所示。

图15:实验纳米混凝土抗拉强度模型的最终树形结构
在此图中,f和FC是混凝土的抗压强度和纳米纤维的百分比,分别根据参数化推导树,无混凝土抗拉强度可由下式估算:

在这方面,与其他因素相比纳米纤维的种类对含纳米纤维混凝土的抗拉强度没有显著的影响,因此它被自动从建议的关系中删除。
所提出的模型中的统计参数的值如表13所示,在预测结果和实验结果之间有很好的相关性(训练数据为0.9573,测试数据为09170)。此外该模型的平均误差为01933MPa的整个数据集。

表13.混凝土与纳米纤维抗拉强度关系的静态参数值
图16显示了基于纤维含量百分比(FC)和混凝抗压强度(f)的纳米纤维混凝土抗拉强度的三维敏感性分析。
如预期的那样,随着混凝土抗压强度的上升,混凝土的抗拉强度也随之增加,而这混凝土中纤维掺量的增加率高于纤维掺量的影响。
通过在拌和设计中增加混凝士纤维的掺量,抗拉强度也明显提高。

图16.抗拉强度(ft)、FT(纳米纤维类型和A(混凝土年龄)之间的三维关系
«——【·讨论与分析·】——»
混凝土力学性能改善机制使用纳米粒子可以陈述如下:
1)考虑到混凝士的微观结构和纳米尺度孔隙的存在,纳米颗粒的使用可以填充纳米尺度的空隙和孔隙,使混凝土结构更加致密,从而提高混凝土的力学强度,包括抗压和抗拉强度。
2)纳米颗粒与氢氧化钙(CaOH2)反应,并防止这些晶体的过度生长,由于这一反应,产生了C-S-H的致密凝胶,使混凝土结构更加致密,从而提高了混凝土的力学性能。
3)由于纳米颗粒具有非常高的比表面积,从而导致非常高的表面能,纳米颗粒充当原子核,并与水化水泥形成强粘合力,这种效果称为成核,由于纳米粒子的高反应性,这种效果的结果是,水化过程继续和机械强度增加。
4)混凝土中的新特性:在混凝土中,当水泥被倒入水并开始反应时,发生的反应(在水泥与水的不同相之)是纳米级的。

表14.纳米材料制备的混凝土样品机械强度大于普通混凝土的百分比
尽管非常脆,但其独特的微观结构,比表面积高达800平方米/克,使气凝胶的抗压强度能够承受高达自身重量4000倍的载荷。
表15报告了二氧化硅气凝胶的主要特性,它是建筑应用中最常见的气凝胶。

表15.硅二氧化硅气凝胶的主要物理性质
气凝胶结构网络是严重交联和充满死端,帮助捕获空气分子在里面,这样就可以有效地阻断对流传热。
此外,气凝胶增强塑料的优点是易于实施,对于不平坦的表面具有灵活性,允许通过填充建筑物围护结构中的缝隙和接缝来创建连续的隔热层。

图17:气凝胶增强石膏的原料及制备工艺
为了提高气凝胶产品的机械特性,以减轻其在绝缘不透明外壳中的使用,气凝胶通常被集成在PET纤维支撑结构中,获得纤维增强气凝胶毯(FRAB),如阿斯彭气凝胶Spacelot,主要气凝胶绝缘产品如图18所示。

图18.市场上主要气凝胶绝缘产品:(a)亚彭气凝胶太空碧、(b) AMA复合材料
FRAB的另一个应用是与相变材料相结合,通过使用内部保温系统对现有的砖石或混凝土墙进行能源改造。
通过将PCM板与气凝胶绝缘相结合,有可能获得具有小尺寸的绝缘双壁,厚度(2-3厘米),能够减少能量损失,并在同一时间支持加热系统最大限度地减少空气温度波动和减少过热,在夏季使用性能相当的传统材料将导致壁厚增加至30厘米。

瑞士联邦研究所EMPA与FixitAG共同开发了一种新的隔热气溶胶膏药,并以Fixit222的名称在市场上销售。
该材料由体积分数大于50%的二氧化硅气凝胶组成,其热导率与二氧化硅气凝胶相当(约0.028W/(mK))。
气凝胶拥有15项吉尼斯世界纪录,其中包括最佳隔离器。不同气凝胶增强膏药的主要性能见表16。

表16.不同气凝胶增强膏药的主要性能
表17证据一些翻新Ting战略与气凝胶增强产品的货币建设与他们的实际影响,成本方面和回收时间,这些干预措施的经济分析是基于加拿大承包商和供应价格进行的。
热石膏的应用引起的显着减少的墙壁的热透射率,从094W(m2-K)到0.65W/(m2-K),而添加气凝胶导致的热透射率等于054W/m2-K)。

表17.货币建设的改造策略及其影响
«——【·结论·】——»
从结果中得出的主要结论如下:
1)从砂浆和混凝士的力学强度试验结果来看,随着纳米材料取代量的增加,纳米材料在砂浆和混凝土中形成了致密的结构和较低的孔隙率,提高了砂浆和混凝士的力学强度。
2)纳米材料的纳米级填充效果:考虑到混凝士的微观结构和纳米尺度孔隙的存在,纳米颗粒的使用可以填充纳米尺度的空隙和孔隙,使混凝土结构更加致密,从而提高混凝土的力学强度,包括抗压和抗拉强度。

3)纳米颗粒与氢氧化钙(CaOH2)反应,并防止这些晶体的过度生长。由于这一反应,产生了C-S-H的致密凝胶,使混凝土结构更加致密,从而提高了混凝土的力学性能。
4)成核效应:由于纳米粒子具有很高的比表面积,导致了很高的表面能,纳米粒子作为原子核,具有很强的ad-与水化水泥形成的粘结作用称为成核作用,由于纳米粒子的高反应性这种作用的结果是,水化过程继续进行,机械强度增加。