
最近, 科研人员模拟了一个海水淡化过程,该过程利用弱聚电解质水凝胶的压缩作为离子转移的牵引力。团队将海水建模为含有一价和二价离子、Na+、Cl- 和 Ca2+ 的水溶液。证明了水凝胶与含有这种溶液的浴平衡的压缩会产生两种类型的离子流。 第一种是二价Ca2+与一价Na+的交换。在此过程中,电荷密度得以保留,因此每吸收一个 Ca2+,就会释放两个 Na+。第二种类型是脱盐本身,它导致从周围溶液中吸收 Na+ 和 Cl- 对。当 Ca2+ 过量时,第一流占主导地位;然而,随着它们在溶液中的比例降低,脱盐流量变得更加重要。团队已经表明,虽然凝胶是一种弱聚电解质,但在二价离子存在下其压缩不会影响其电离度。这是由二价离子对静电相互作用的显着筛选引起的。当 Ca2+ 的密度较小时,凝胶压缩可能导致其释放和释放抗衡离子,表现为溶液离子强度的增加。

图 1. 水凝胶在压力 P 下从初始体积 V0 在自由膨胀平衡(未施加压力)到最终体积 Vgel 进行各向同性压缩的示意图。

图 2. 模拟框中的类金刚石网络。

图 3. (a) 低盐度,cCl–=cs=0.007,cNa+=0.005 和 cCa2+=0.0009 mol/L (b) 和高盐度,cCl–=cs 的水凝胶分压 ΔP 作为水凝胶密度 φ 的函数=0.263,cNa+=0.152,cCa2+=0.055 mol/L。

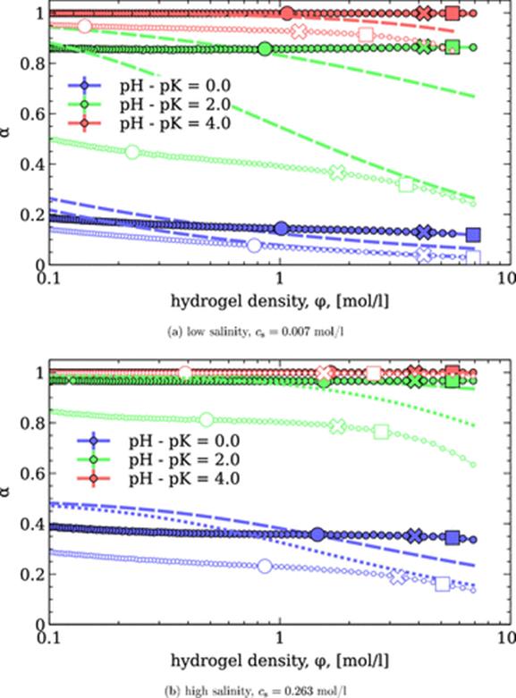
图 4 . 在两种不同的储层溶液盐度和三种不同的 pH-pK 值下,凝胶的电离度与水凝胶密度的函数关系。

相关论文以题为 Polyelectrolyte Hydrogels as Draw Agents for Desalination of Solutions with Multivalent Ions 发表在《 Macromolecules 》上。 通讯作者 是 布拉格查理大学 Oleg V. Rud教授 。
参考文献:
doi.org/10.1021/acs.macromol.1c02266