
【喜讯!2006—2018年注册给排水空白真题电子版、2019年注册给排水考试用规范电子版(共46本)开放*载下**啦!领取方式:关注本号+转发此文,私信留言“历年真题”即可获得真题*载下**地址,私信留言“规范电子版”即可获得46本规范电子版!】
— — — — — — — —分割线— — — — — — — —
【《排水工程》第35讲】
重要指数:★★★★★

上一节主要讲解活性污泥反应动力学基础,主要包括4个假设、3个内容、3个公式和3个产率系数,其中三个产率系数是重点内容,详见活性污泥反应动力学的4个假设、3个内容、3个公式和3个产率系数。
本节主要讲解曝气理论基础与曝气系统部分内容,主要包括氧转移理论、氧转移影响因素、氧转移速率与供气量的关系、曝气系统与空气扩散装置。
01
氧转移理论
活性污泥法曝气的氧转移理论,是基于双膜理论提出的,何为双膜?就是在气体和液体接触的表面,存在一层液膜和一层气膜,而氧的传递就是跨越气膜和液膜这两层膜之后到达液相主体中,双膜理论有三个假定条件分别如下所示。
- 气体与液体的界面上存在着两层假想的薄膜:液膜和气膜,这两层膜被认为是停滞不动的,并且对一切传质都具有阻力。不论气体和液体中的紊动大小如何,这两层薄膜都被认为是始终存在的,紊动只能减小薄膜的厚度。
- 气、液两相主体溶解氧浓度均匀,不存在浓度差,氧传递阻力只存在于气膜和液膜中。
- 液膜中起点Cs只能是氧在水中相应温度和压力条件下的饱和浓度。
所以,通过以上双膜理论可以得知,假如人工强化曝气,是能够增强氧传递效率的,因此在活性污泥法处理系统中,曝气或者搅动,就成了保证系统供氧充分的必备手段。
02
氧转移影响因素
氧转移速率分为实际氧转移速率和标准氧转移速率,实际氧转移速率是指曝气器在实际应用的气压和水温条件下,单位时间内向水中传递的氧量;标准氧转移速率是曝气器在标准状态下(也即水温20℃、大气压0.1Mpa),单位时间内向溶解氧浓度为零的水中传递的氧量,又称标准传氧速率,氧转移速率取决于下列因素:
- 气相中氧的分压梯度;
- 液相中氧的浓度梯度;
- 气液之间的接触面积和接触时间
- 水温
- 污水的性质
- 水流的紊流程度
如何提高氧传质措施呢?总结起来有以下四点:
- 增加气液接触面积,可以采用微孔曝气;
- 增加水的紊流程度,可以采用加强搅拌的方法;
- 提高氧的分压梯度,可以采用纯氧曝气的方法;
- 提高供氧压力,可以采用深水曝气的方式。
那在实际应用中,影响氧传质的因素有三类,分别是污水水质、污水水温和氧分压,其中污水中的盐分越大,水温越高,氧分压越低,氧传质越困难。
03
氧转移速率与供气量的关系
在这一部分内容中,需要注意需氧量和供氧量之间的等量关系,需氧量指的是去除每单位质量五日生化需氧量所需要的氧量,其计量单位以kgO2/kgBOD5表示;供氧量指的是去除没单位质量五日生化需氧量所需供应的氧量,其单位以kgO2/kgBOD5表示。在案例计算中,基本就遵循供氧量=需氧量即可。
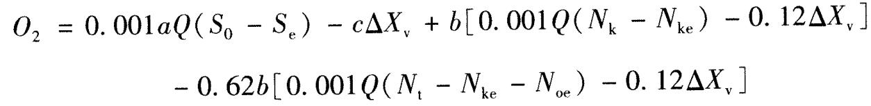
对于生物反应池中好氧区的需氧量,《室外排水设计规范》6.8.2是这样规定的:生物反应池中好氧区的污水需氧量,根据去除的五日生化需氧量、氨氮硝化和除氮等要求,宜按下列公式计算:

秘五版教材公式12-15,参数意义见秘五P240
本公式一共分为4部分,每部分指代的含义如下所示。
- 第一部分指的是去除含碳污染物的需氧量;
- 第二部分指的是剩余污泥氧当量;
- 第三部分指的是氧化氨氮需氧量;
- 第四部分指的是反硝化脱氮回收的氧量。
所以,如果案例计算题目当中,问及仅去除碳源时,则是①+②;问及去除碳源和硝化时,则是①+②+③;问及去除碳源和反硝化时,则是①+②+③+④。
对于需氧量计算,除了上式这种精确算法之外,还有一种估算方法,就是根据《室外排水设计规范》6.6.7条规定:生物反应池中的好氧区(池),采用鼓风曝气器时,处理每立方米污水的供气量不应小于3m3.好氧区采用机械曝气器时,混合全池污水所需功率不宜小于25w/m3;氧化沟不宜小于15w/m3。缺氧区(池)、厌氧区(池)应采用机械搅拌,混合功率宜采用2~8w/m3。机械搅拌器布置的间距、位置,应根据试验资料确定。
对于生物反应池中好氧区的供氧量,分为实际供氧量和理论供氧量,对于上述计算需氧量对应的是好氧生物氧化法的实际供氧量,但是在实际进行风机选型时,风机的供氧量都是按照理论供氧量计算,详见《室外排水设计规范》6.8.3条。所以需要把实际供氧量转化为理论供氧量,两者之间的换算公式如下所示。

秘五教材公式12-46,Ro是理论供氧量,R是实际供氧量
对于这个公式,考友最疑惑的地方在于参数很多,不知道如何选择,各参数选择可以按照下图标示进行一一对位即可。

公式12-46各参数位置总结
在做类似的案例题目时,还需要看题中问的是供氧量还是供气量,毕竟氧只是空气中的一部分,所以在遇到求供气量的题目时,可以按照下列公式把标准状态下污水需氧量,换算为标准状态下的供气量。

秘五教材公式12-49
- Gs——标准状态下供气量,m3/h;
- 0.28——标准状态(0.1Mpa、20℃)下的每立方米空气中含氧量,kgO2/m3;
- Os——标准状态下生物反应池污水需氧量(kgO2/h);
- Ea——曝气器氧的利用率(%)。
04
本节总结
本节重点内容是好氧反应需氧量和供氧量、供气量计算,这部分内容是案例常考考点。总结起来本节有如下6个知识点需要大家掌握。
- 双膜理论;
- 增强氧传质效率的方法;
- 好氧需氧量精确计算公式;
- 好氧需氧量估算方法;
- 理论供氧量计算;
- 理论供气量计算。
本节内容就到此为止,如果有任何疑问欢迎在下方留言区留言交流。
— — — —End— — — —
