今天我们来学习等差数列。由于涉及到的知识点非常多,希望大家能够有耐心看完。本文对等差数列的概念、公式、性质进行了全面总结,是一篇纯干货分享贴,非常值得大家收藏保存。
所谓数列,就是按照一定次序排列的一列数。数列里的每个数称为数列的项。
数列的第一项称为首项,用a1表示;第n项称为数列的通项,用an表示。
整个数列的所有项用{an}表示。
这里一定要注意区分an与{an},an只是表示数列的第n项,而{an}表示数列的所有项。
关于n的函数表达式an=f(n)称为数列的通项公式。

数列前n项的和用Sn表示:
Sn=a1+a2+…+an

我们很容易得出对任意数列有如下结论:
当n=1时
Sn=S1=a1
当n≥2时
Sn=a1+a2+…+an
=[a1+a2+…+a(n-1)]+an
=S(n-1)+an
an=Sn-S(n-1)

一定注意,这个结论成立的前提是n≥2。因为如果n=1,就会出现S(n-1)=S(1-1)=S0,而S0是没有实际意义的。
an=S1,n=1
an=Sn-S(n-1),n≥2
如果知道一个数列的前n项和Sn,必然可以求出这个数列的通项公式an。但反之,并不一定成立。

好了,关于一般数列就介绍到这里。接下来,进入今天的主题——等差数列。
如果一个数列从第二项开始,每一项与前一项的差都等于同一个常数,则称这个数列为等差数列,这个常数称为公差,公差用字母d表示。
等差数列的定义:
an-a(n-1)=d,n≥2

我们首先来求出等差数列{an}的通项公式an
an-a(n-1)=d,n≥2
an=a(n-1)+d,n≥2
根据等差数列的定义,很容易观察到以下规律
a2=a1+d=a1+(2-1)d
a3=a2+d=(a1+d)+d
=a1+2d=a1+(3-1)d
a4=a3+d=(a1+2d)+d
=a1+3d=a1+(4-1)d
…………
根据以上规律以此类推,显然应该有an=a1+(n-1)d。

然而,这样的证明是不严格的,因为无论你找出多少项具备此规律,都不能说明对任意n都有此规律。
我们把通过有限项的规律来猜想结论的方法称为不完全归纳法,有限项的规律可以对我们分析的问题指明方向,但不能严格证明结论。
要想没有任何逻辑漏洞的证明结论,就需要用到完全归纳法,也称为数学归纳法。关于数学归纳法的理论,我在前面的文章中详细讨论过,大家可以前往我的主页翻看。

数列{an}为等差数列
求证:an=a1+(n-1)d
证明:①当n=1时,an=a1
a1+(n-1)d=a1+(1-1)d=a1+0=a1
an=a1+(n-1)d,等式成立
②假设当n=k时,等式成立
ak=a1+(k-1)d
③当n=k+1时
数列{an}为等差数列,根据等差数列的定义
a(k+1)=ak+d=[a1+(k-1)d]
=a1+kd=a1+[(k+1)-1]d
仍然满足结论。
所以对任何正整数n都有
an=a1+(n-1)d,证毕!

除了利用数学归纳法来证明以外,还有一种非常巧妙的方法。
对于任意数列{an},当n≥2时都有:
an=a1+(a2-a1)+(a3-a2)+…+[an-a(n-1)]
这种计算an的方法称为叠加法或累加法。

数列{an}为等差数列
求证:an=a1+(n-1)d
证明:①当n=1时,an=a1
a1+(n-1)d=a1+(1-1)d=a1+0=a1
an=a1+(n-1)d,等式成立
②当n≥2时
数列{an}为等差数列,根据等差数列的定义
an-a(n-1)=d
an=a1+(a2-a1)+(a3-a2)+…+[an-a(n-1)]
=a1+d+d+…+d
=a1+(n-1)d,等式成立
所以对任何正整数n都有
an=a1+(n-1)d,证毕!

多说两句,对于这个看上去很显然的求等差数列通项式的问题,我用了两种不同的思路进行了严格证明。之所以讲得如此详细,是希望通过这个例子让大家体会到我们在初学知识的时候,一定要把每个知识点搞清楚、弄明白。而不是一知半解的学过就忘,更不是简单粗暴的对结论死记硬背。我们一定要学会多问问为什么。
我们继续来推导公式:
对于任意m,n∈N*,m≠n
an=a1+(n-1)d
am=a1+(m-1)d
an-am=[a1+(n-1)d]-[a1+(m-1)d]
=[(n-1)-(m-1)]d=(n-m)d
an-am=(n-m)d
an=am+(n-m)d
am=an-(n-m)d
这个公式告诉我们,已知等差数列中的任何一项am和公差d,都可以求得数列中的其他任何项an。

an=a1+(n-1)d,an=am+(n-m)d
an-a1=(n-1)d,an-am=(n-m)d
d=(an-a1)/(n-1)=(an-am)/(n-m)
这是求公差d的公式,已知数列中任何两项am,an都可以求出d。注意看这个公式非常对称美观,很是漂亮。

d=(an-a1)/(n-1)
n-1=(an-a1)/d
n=[(an-a1)/d]+1
如果一个数列{an}是有限项的,那么通项an也可以称为末项。
这个公式是求等差数列项数n的公式,可以记住口诀:
“项数等于,(末项-首项),除以公差,再加1”
这里特别强调,公式里面是需要再加1的,这一点很多初学者容易忽略掉。
接下来,我们来讨论等差数列的前n项和Sn。我们首先来讲一个非常有名的故事。
在数学界有很多天才甚至天神,比如欧拉、牛顿、黎曼、阿基米德、欧几里得、笛卡耳、伽罗瓦等。但是数学王子只有一个,那就是德国大数学家高斯。
高斯在读小学三年级的时候,有一天老师出了一道题,计算1+2+…+100=?当同学们都在奋笔计算的时候,只有年仅10岁的小高斯没有动笔。过了两分钟,小高斯举手说道:老师,我知道答案了,是5050。老师非常惊讶,你明明连笔都没有动,怎么就知道正确答案了呢?
高斯说:我发现
1+100=101,2+99=101,……,50+51=101。
从1加到100,一共有50组101,所以答案是50×101=5050。
年仅10岁的小高斯就已经独立思考出了倒序相加法的思想,这是多么令人恐怖的思维能力,这就是神和人的差距。

数学王子—高斯
对于等差数列{an},若m+n=p+q
am+an=[a1+(m-1)d]+[a1+(n-1)d]
=2a1+(m+n-2)d
ap+aq=[a1+(p-1)d]+[a1+(q-1)d]
=2a1+(p+q-2)d
2a1+(m+n-2)d=2a1+(p+q-2)d
am+an=ap+aq

以上结论还可以推广到多个数,注意两个关键点:
①等式两边项的下脚标之和相等
②等式两边的项数相等
若m1+m2+…+mt
=n1+n2+…+nt
则a(m1)+a(m2)+…+a(mt)
=a(n1)+a(n2)+…+a(nt)
需要注意的是
若m+n=2r
am+an≠a(2r)
因为等式左边有两项,但是等式右边只有一项。
正确的做法是:
若m+n=2r=r+r,则
am+an=ar+ar=2ar
接下来我们采用高斯提出的倒序相加法来求出等差数列的前n项和Sn。
Sn=a1+a2+…+an
Sn=an+a(n-1)+…+a1
两式相加
2Sn=(a1+an)+[a2+a(n-1)]+…+(an+a1)
根据上面推出的结论:
a1+an=a2+a(n-1)=……=an+a1
2Sn=n(a1+an)
Sn=n(a1+an)/2
这就是等差数列前n项和求和公式,我们可以记住口诀:
“前n项和等于,(首项加末项),乘以项数,除以2”

大家有没有观察到,等差数列求和公式和梯形求面积公式非常相像,实际上这两个公式在本质上就是完全一样的。
S梯形=[(上底+下底)×高]÷2

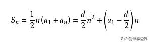
将an=a1+(n-1)d代入
Sn=n(a1+an)/2,可得
Sn=n[a1+a1+(n-1)d]/2
=[2na1+n(n-1)d]/2
=na1+n(n-1)d/2
我们又得到了求Sn的另一个公式
Sn=na1+n(n-1)d/2

好了,今天关于等差数列的基本公式就介绍到这里。
总结一下,对于等差数列主要掌握五要素:
首项a1、通项an、项数n、公差d、前n项和Sn。
对于这五要素,记住口诀:
“知三求二”
也就是说,知道这5个要素中的任意3个要素,都可以求出另外2个要素。

以上内容都是关于等差数列最基础最重要的公式,大家务必认真领会记忆。在接下来的内容中,我们将进一步探讨等差数列的基本性质。
前面我们学习了等差数列的
基本定义:
an-a(n-1)=d,n≥2
这也是判断一个数列是否是等差数列的最基本方法。

除了最基本的定义外,还有两种判定方法。
①通项公式:
an=a1+(n-1)d

an=a1+nd-d=dn+(a1-d)
令k=d,b=a1-d
则an=kn+b
也就是说等差数列的通项公式形如一次函数。

②前n项和:
Sn=n(a1+an)/2=na1+n(n-1)d/2

Sn=na1+dn^2/2-dn/2
=(d/2)n^2+(a1-d/2)n

令A=d/2,B=a1-d/2
则Sn=An^2+Bn
也就是说等差数列的前n项和形如不含常数项的二次函数。

除了以上3种判定方法外,还有第4种方法。
如果数列a1、a2、a3成等差数列
根据定义有
a2-a1=a3-a2=d
2a2=a1+a3
我们把这三项的中间项a2叫其相邻两项a1和a3的等差中项。
也就是说,等差中项的2倍等于其相邻两项的和。
我们将这个结论推广到一般情况
等差中项:
2a(n+1)=an+a(n+2)

至此,我们一共有四种判定等差数列的方法。
分别是:基本定义、等差中项、通项公式以及前n项和公式。

我们继续讨论等差数列的性质。
对于等差数列{an},若项数n为奇数,则这n项必存在最中间的一项,这个中项就是第(n+1)/2项,用“a中”表示:
a中=a[(n+1)/2]
在上一节中,我们推导出了结论:
若m+n=2r,则am+an=2ar
所以有
a1+an=2a[(n+1)/2]=2a中
Sn=n(a1+an)/2n
=(n×2a中)/2n=na中
我们得出了奇数项的前n项和公式
Sn=na中=na[(n+1)/2]
进一步还可以得出:
奇数项的平均数为
Sn/n=a中=a[(n+1)/2]
换一种写法,若项数为(2n-1)项,显然(2n-1)项为奇数项。
[(2n-1)+1]/2=2n/2=n
则a中=an,前(2n-1)项和为
S(2n-1)=(2n-1)a中=(2n-1)an

进一步,若另一个等差数列{bn}的前(2n-1)项和为T(2n-1)
T(2n-1)=(2n-1)bn
S(2n-1)/T(2n-1)
=(2n-1)an/(2n-1)bn=an/bn
an/bn=S(2n-1)/T(2n-1)

对于等差数列{an}
所有奇数项的和:
S奇=a1+a3+a5+…
所有偶数项的和:
S偶=a2+a4+a6+…
①当项数为偶数项2n项时:
S偶-S奇=nd
S奇/S偶 =a(n)/a(n+1)
证明:S偶-S奇
=[a2+a4+…+a(2n)]-[a1+a3+…+a(2n-1)]
=(a2-a1)+(a4-a3)+…+[a(2n)-a(2n-1)]
=d+d+……+d=nd
S偶-S奇=nd,证毕!

S奇/S偶
=[a1+a3+…+a(2n-1)]/[a2+a4+…+a(2n)]
={[a1+a(2n-1)]n/2}/{[a2+a(2n)]n/2}
=[a1+a(2n-1)]/[a2+a(2n)]
=2an/2a(n+1)=a(n)/a(n+1)
S奇/S偶 =a(n)/a(n+1),证毕!

②当项数为奇数项(2n-1)项时:
S奇-S偶=an
S奇/S偶 =n/(n-1)
证明:S奇-S偶
=[a1+a3+…+a(2n-3)+a(2n-1)]-[a2+a4+…+a(2n-2)]
=(a1-a2)+(a3-a4)+…+[a(2n-3)-a(2n-2)]+a(2n-1)
=-d-d-……-d+a(2n-1)
=a(2n-1)-(n-1)d=an
S奇-S偶=an,证毕!

S奇/S偶
=[a1+a3+…+a(2n-1)]/[a2+a4+…+a(2n-2)]
={[a1+a(2n-1)]n/2}/{[a2+a(2n-2)](n-1)/2}
=(2an×n/2)/[2an×(n-1)/2]
=n/(n-1)
S奇/S偶 =n/(n-1),证毕!

总结一下以上四个公式:

最后再来看一个有趣的结论:
若数列{an}为等差数列,则
Sn,S(2n)-Sn,S(3n)-S(2n),…
也成等差数列
一定注意,这个结论并不是Sn,S(2n),S(3n),…也成等差数列,而是指前n项和,接下来n项和,再接下来n项和也成等差数列。
若数列{an}为等差数列,求证:
Sn,S(2n)-Sn,S(3n)-S(2n)
也成等差数列
证明:Sn=a1+a2+…+an

S(2n)-Sn
=[a1+a2+…+an+a(n+1)+…+a(2n)]-(a1+a2+…+an)
=a(n+1)+a(n+2)+…+a(2n)
S(3n)-S(2n)
=[a1+a2+…+a(2n)+a(2n+1)+…+a(3n)]-[(a1+a2+…+a(2n)]
=a(2n+1)+a(2n+2)+…+a(3n)

[S(2n)-Sn]-Sn
=[a(n+1)+a(n+2)+…+a(2n)]-(a1+a2+…+an)
=[a(n+1)-a1]+[a(n+2)-a2]+…+[a(2n)-an]
=nd+nd+……+nd
=n×nd=(n^2)d
[S(3n)-S(2n)]-[S(2n)-Sn]
=[a(2n+1)+a(2n+2)+…+a(3n)]-[a(n+1)+a(n+2)+…+a(2n)]
=[a(2n+1)-a(n+1)]+[a(2n+2)-a(n+2)]+…+[a(3n)-a(2n)]
=nd+nd+……+nd
=n×nd=(n^2)d
[S(2n)-Sn]-Sn
=[S(3n)-S(2n)]-[S(2n)-Sn]
=(n^2)d
Sn,S(2n)-Sn,S(3n)-S(2n)
也成等差数列,公差为(n^2)d
证毕!

最后再来做一道例题,加深对这个公式的理解。
已知:{an}为等差数列
Sn=100,S(2n)=300
求:S(3n)
解:Sn=100,S(2n)=300
Sn=100,S(2n)-Sn=300-100=200
{an}为等差数列
Sn,S(2n)-Sn,S(3n)-S(2n)
也成等差数列
Sn+[S(3n)-S(2n)]=2[S(2n)-Sn]
=2×200=400
S(3n)-S(2n)=400-Sn
=400-100=300
S(3n)=300+S(2n)=300+300=600
S(3n)=600
好了,关于等差数列的概念、公式和性质就介绍到这里了。等差数列作为一种最简单最基础的特殊数列,是考察和运用的重点,大家务必认真领会,灵活运用。