重难点题目简要分析
第9题:与圆有关的计算.圆与折叠问题相结合,考查圆中的角度关系与轴对称的性质.
第10题:一元二次方程综合探究.考查一元二次方程根的定义和根与系数的关系,以及代数式的化简与求值.
第15题:二次函数的图象与性质.考查二次函数中的参数与图象的关系,对其性质的影响,函数与方程,数形结合的数学思想.
第16题:逆等线问题.考查数形结合的数学思想,将问题转化为线段和差最值问题,通过构造全等三角形来移花接木,进而化折为直.
第21题:圆中的证明与计算.弦切图,考查直线与圆的位置关系,圆中的角度关系和相似模型.
第22题:实际问题与二次函数.考查二次函数应用题中的利润问题,分式方程的解法,二次函数含参区间最值问题.
第23题:几何综合探究.考查全等三角形和相似三角形的性质与判定,鸡爪模型,构造手拉手模型即旋转全等模型和旋转相似模型,从特殊到一般的数学思想.
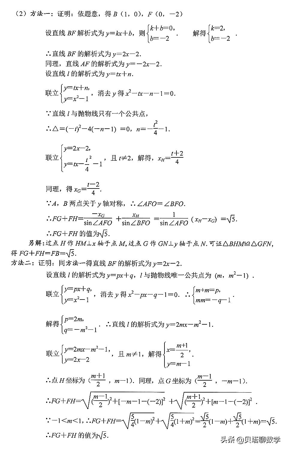
第24题:二次函数综合探究.考查二次函数与几何综合,数形结合的数学思想.
第1问的第1小问考查二次函数与平行四边形综合和平移变换;
第1问的第2小问既考查二次函数与平行四边形综合和平移变换,又考查了割补法求特殊图形面积的方法,也可用特殊的割补法即铅垂法来简化求特殊图形的面积;
第2问考查二次函数和一元二次方程根的判别式、根与系数的关系,含参解析式的求法和含参方程的解法,平面内两点间距离的求法,本质是抛物线的隐藏性质.










各位小伙伴可将文中图片保存使用,如果需要word版(学生版或教师版),可联系贝塔老师。