审核专家:罗会仟
中国科学院物理研究所研究员、科普作家
胶水,是日常生活中最常见的黏合工具之一。无论是普通的办公胶水,还是性能极强的502胶,它们都有两个共同点:都是液体,且都具有黏性。不知你是否好奇过,为什么胶水都是液体的呢?胶水既然这么黏,为什么不会把自己黏在瓶子里?

来源丨pixabay
1
胶水是何物?
胶水的本质是一种黏合剂,即能够使两种物体黏在一起的媒介。 人类在远古时期就发现了黏合作用。 据考古发现,早在5300年前,人类就学会将土和黏土进行调和,用来将石头黏合在一起。4000年前,我国就用生漆作为黏合剂去制作器具。3000年前,周朝使用动物胶来黏合船体。大家熟知的长城,它的基石是秦朝时人们混合糯米粉和石灰黏合而成的。在古埃及,人们已经学会从植物和动物中提取自然胶水,如从金*欢合**树中提取阿拉伯胶,从松树中提取松脂,从鸟蛋、动物骨骼中提取骨胶等。
后来,随着科技的进步,人们制造出了合成胶水。1909年,Baekeland创造了工业酚醛树脂,这是合成树脂胶水的开端。50年代,人们又发明了环氧树脂胶水,它种类多、强度高、适应力强,成为了人们最喜欢的胶水种类。直到现在,市面上能够见到的胶水品牌数不胜数,那它们又是怎样发挥作用的呢?

来源丨freepic
合成胶水黏性更强,耐久性也更长。物体之间的黏合,其实是依靠胶水中的化学物质实现的。胶水中一般都会有一些圆形高分子体粒子,半径大概在0.5-5纳米之间,它们就是胶水中的黏合剂。这些黏合剂如果单独存在,人们无法自由方便地使用。所以,为了更便捷地使用胶水,人们以水为溶剂,将这些高分子黏合剂融入其中。
当人们把胶水涂在物体表面时,高分子黏合剂就会随着水浸入物体表面的组织内。 当溶剂,也就是水消失后, 高分子之间就可以形成互相的拉力 ,而这也是它们能将两个物体紧紧黏在一起的原因。有一些工业胶水使用的溶剂并不是水,而是用更易挥发的有机溶剂代替了原本的水。
2
胶水为什么不会黏到瓶子上?
那胶水为什么不会黏在瓶子里呢?前文提到过,胶水主要是由黏合剂和溶剂物质(水或其他有机液体)组成,水的存在会抑制黏合剂发挥作用。当胶水被倒出来之后,随着水的蒸发,胶水中的黏合剂也就可以更好互相作用,黏性也就越强。当然, 胶水瓶子的材料也是根据胶水的活性特别选制的,它们一般是不易和胶水发生化学反应的惰性材料 ,因此也更加稳定和安全。

胶水瓶子
来源丨freepic
有时候胶水用得太多,黏性反而不好。这是因为,涂胶量过多不仅会使高分子体间的水分不容易挥发掉,还会让高分子体相互拥挤在一起,从而形成不了强大的拉力,其黏接的作用就会大大减小。
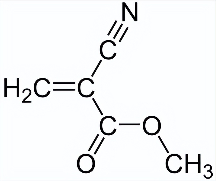
不过,502胶的情况有所不同。502胶水的主要成分是α-氰基丙烯酸乙酯,当它接触水和空气后会发生聚合反应时,才会黏住其他物体。 502胶水装在较为封闭的瓶子里,没有发生聚合反应所需的条件 ,自然不会在瓶子里黏住。但当它被倒出来时,聚合反应发生,从而黏住物体。人的手上有汗液、羟基等,也可以引发聚合反应,而这也是502胶水特别容易黏手的原因。

氰基丙烯酸酯的化学式
来源丨维基百科
3
被胶水黏住应该怎么办?
使用胶水的时候,很容易就沾到自己手上。对于一般的办公胶水来说,它们黏性不大,如果不小心沾到手上,用水清洗或用手揉搓就可以去除。但是,502胶可不一样,相信有过经历的朋友都会后怕,被它沾到,如果方法不当,真的可能会脱一层皮。

502胶水
来源丨某购物网站
如果在使用502胶水时不小心黏住手, 可以使用温水软化胶水,或用酒精擦拭、湿敷被黏住的地方,再通过搓、揉等方式去除胶水 。无论是温水还是酒精,都能够刺激皮肤,从而减少皮肤和胶水有效接触面积,使胶水更容易被抠下来。
除了这个方法,民间还有用洗甲水、风油精、食用醋处理的办法。其中,洗甲水的效果最好。这是因为洗甲水中含有*酮丙**,它是一种常用的有机溶剂,可以溶解一些胶水。但如果这些常规方法都处理不了,或是皮肤黏到胶水的面积太大,那就要前往医院让医生来处理了。切记不要强行将黏合处掰开,否则最后受罪的只能是自己了。