
- 过氧化钠与水反应

类型:氧化还原反应
现象:①产生的气体能使带火星的木条复燃
②反应放热,使试管温度升高
③淡黄色固体逐渐溶解,产生大量气泡
类别:过氧化钠是非碱性氧化物.
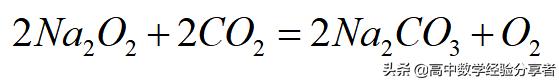
2. 过氧化钠与二氧化碳反应

类型:氧化还原反应
现象:淡黄色固体逐渐变为白色固体,生成能使带火星木条复燃的气体.
作用:用于呼吸面具或潜水艇中氧气的来源.
3. 氢氧化钠与碳酸氢钙反应

现象:都有白色沉淀产生.
反应:
反应的离子方程式:

4. 碳酸钠与盐酸反应

说明:
当碳酸钠溶液中滴加盐酸,开始时无气泡产生,当碳酸钠全部转化为碳酸氢钠时,在滴加盐酸即有气泡产生,而向盐酸中加入碳酸钠,开始时即有气泡产生.
反应:
反应的离子方程式:

5. 碳酸钠与二氧化碳反应

类型:化合反应
应用:相同条件下,碳酸氢钠溶解度小于碳酸钠的溶解度,向饱和碳酸钠溶液中通入二氧化碳,有碳酸氢钠晶体析出.
6. 碳酸钠与盐反应

类型:复分解反应
现象:有白色沉淀生成
7. 碳酸氢钠与盐酸反应

类型:复分解反应
现象:固体溶解,有大量气泡产生,产生气泡的速率比相同浓度的盐酸与碳酸钠反应快.
8. 碳酸氢钠与氢氧化钙反应

现象:都有白色沉淀产生
反应:
反应的离子方程式:

9. 碳酸氢钠固体受热分解

类型:分解反应
现象:加热的容器管口有水雾出现,生成的无色无味气体能使澄清石灰水变浑浊.
应用:碳酸钠固体加热无明显现象,依据此方法可鉴别碳酸钠和碳酸氢钠固体.