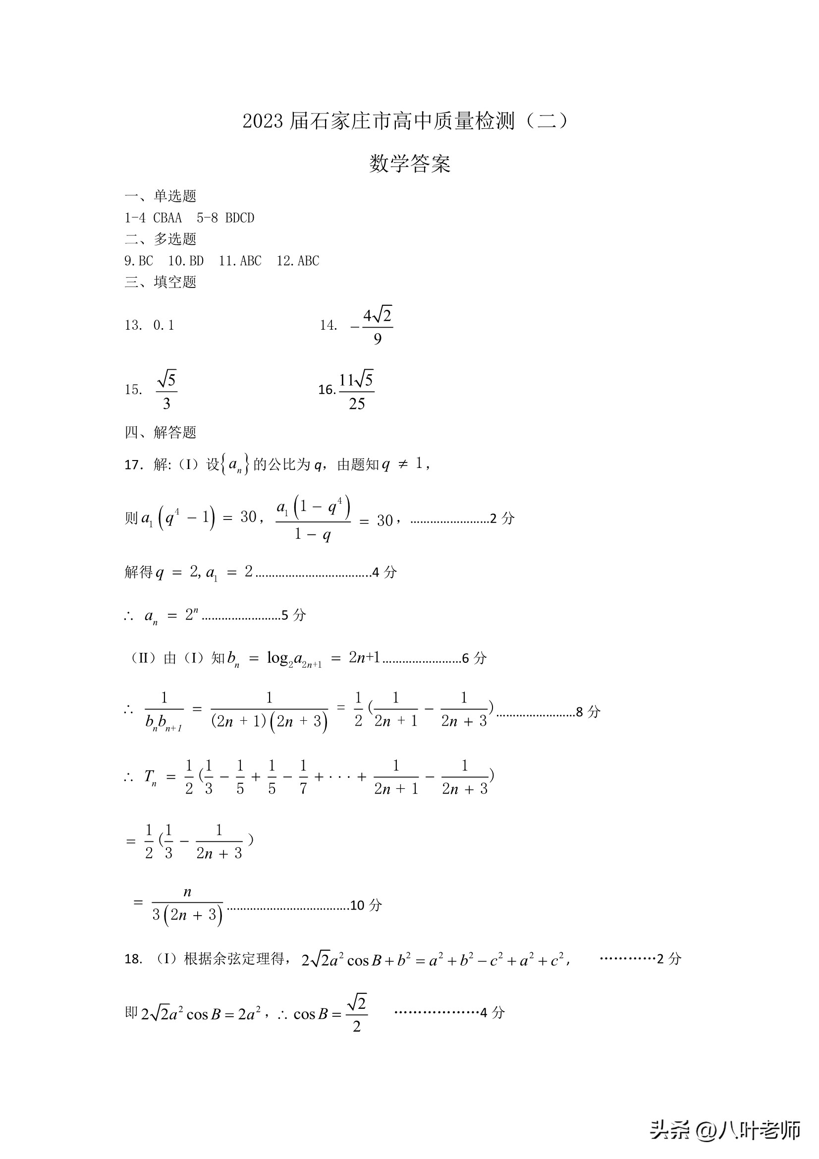
石家庄高中二模数学15题 (石家庄三模数学2023第11题)

石家庄三模数学2023第11题,2021年石家庄高中二模数学16题

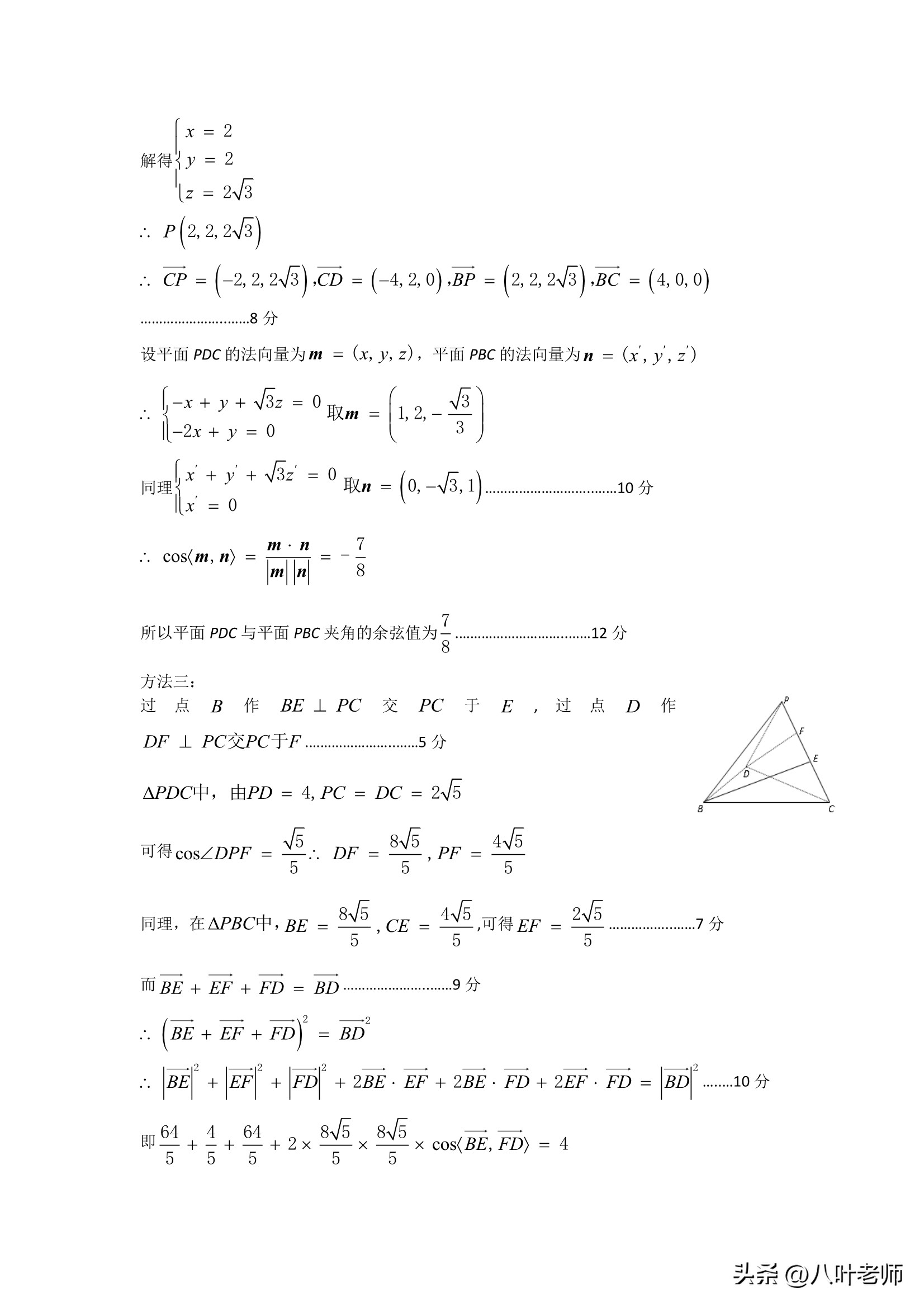
石家庄三模数学2023第11题,2021年石家庄高中二模数学16题

石家庄三模数学2023第11题,2021年石家庄高中二模数学16题

石家庄三模数学2023第11题,2021年石家庄高中二模数学16题

石家庄三模数学2023第11题,2021年石家庄高中二模数学16题

石家庄三模数学2023第11题,2021年石家庄高中二模数学16题

石家庄三模数学2023第11题,2021年石家庄高中二模数学16题

石家庄三模数学2023第11题,2021年石家庄高中二模数学16题

石家庄三模数学2023第11题,2021年石家庄高中二模数学16题

石家庄三模数学2023第11题,2021年石家庄高中二模数学16题

石家庄三模数学2023第11题,2021年石家庄高中二模数学16题

石家庄三模数学2023第11题,2021年石家庄高中二模数学16题

石家庄三模数学2023第11题,2021年石家庄高中二模数学16题

石家庄三模数学2023第11题,2021年石家庄高中二模数学16题