初中数学培优:函数的最值05

对于一次函数y= f(x)= kx +b,当k> 0时,y随着x的增大而增大,则在给定的a≤x≤b上,有最大值f(b),最小值f(a).当k<0时,y随着x 的增大而减小,则在给定的a≤x≤b上,有最大值f(a),最小值f(b).
对于二次函数y= f(x) = ax²+ bx + c(a≠0),取最值的情况如下.
1.若自变量为任意实数,则有两种情况:


































3.设x、y、Z为三个非负实数,且满足3x+2y+z= 5,2x+y-3z= 1.求u= 3x+y- 7z的最大值和最小值.

4.二次函数y= 2x ² + (a + 1)x的图象永远在二次函数y= x ² +x-b的图象的上方,求点(a, b)所处的范围.



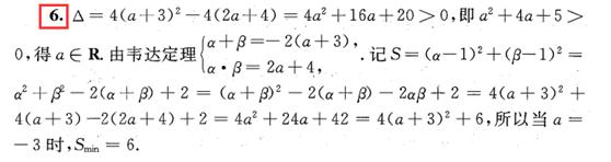
6.已知二次函数y= x ² +2(a + 3)x + 2a +4的图象与x轴的两个交点的横坐标分别为 α 、β,当实数a变动时,求( α - 1) ² + (β一1) ² 的最小值.














13.把一张边长为a的正方形纸ABCD折起来,使B点落在AD上,问B点落在AD什么位置上时,使折起来的面积最小,并求出这最小面积的值.







