提要:
1 小学数学科学的唯一核心课题是自然数。
2 一个孩子的识数过程需要在数年时间中走完人类识数的漫长道路,这绝不可能是一个简单容易的任务。
3 扳着手指数数具有超越多对象处理本能的重要意义。
4 一个好的数学教育者应该知道,加法的原始意义是两个有限集的无交并的势。
5 一个好的数学教育者应该明白,自然数集就是满足皮亚诺公理的集合,而且应该理解自然数集的无限性,这是人对于无穷的第一个科学认识。
6 数学教育应按数学发展史顺序进行,而不是按逻辑基础来进行。
撰文 | 姜树生
小学数学应该学什么?这本来不是个问题,但近年来小学数学课程变化相当大,增加了很多内容且都是必修的,以致“减负”完全成了官腔;而小学数学原有的一些内容被弱化。在此背景下,“小学数学应该学什么”成了很多人讨论和争议的问题。
1 先打个预防针
关于这个问题,常见的意见非常多,预期本文也会受到很多反驳。其实本文中的很多看法并非像数学那样严谨的科学道理,反驳的意见可能更高明。但建议认真的读者带着批判的眼光有选择地看,至少下面几种用不着看:
1)生搬教条的
在文献中有很多涉及数学教育的观点,如“数学是研究数量关系和空间形式的科学”,“数学是对客观现象抽象概括而形成的科学语言与工具”等等,这些观点虽然不无道理但并不是严谨的科学定律。还有很多教学方法如“探索性学习”、“项目式学习”、“螺旋式上升”等等,也是不无道理但尚在尝试。
但生搬教条者会把这些当成“圣旨”,每条都比数学更正确。这些人都是“政治挂帅”的,要求数学教育服从这些理论的指导,为此可以把数学教程改得一塌糊涂,但他们绝不会认错的。
建议您把“政治正确”留给他们,您只要数学正确就可以了。
2)采用无定义术语的
这些人围绕着一些没有定义的术语讨论不休,这样的术语很多,如:
- 素质教育:对这个术语不仅没有社会共识,也没有权威的解释,甚至没有官方定义。
- 高分低能:例如说有的学生考分高但不会换灯泡,但考试没有换灯泡这一项,如果加上这一项如何呢?
- 应试教育:是否有考试的教育就是“应试教育”?这样的讨论常常导致取消考试的主张。
- 教育公平:我们只能说公民有平等的受教育的权利。但教育本身如何“公平”?有些人说这话的意思是“凭什么你能上北大清华我就不能?”
- 减负:学生负担过重需要减轻,但需要先厘清什么是过重。如果象商家先涨价再打折那样,先加重负担再减轻一些有意义吗?不是说笑话,这样的例子很多。例如先把上课时间提早半小时然后再改为晚半小时,或者取消给学生打分改为贴小红旗小红花等等。 很多教科书就是在“减负”的名义下越改越厚的(参看 [6])。
- 奥数:这个词来源于国际数学奥林匹克(IMO),但现在绝大多数人所说的“奥数”与 IMO 毫无关系,只是打着这个旗号搞培训或竞赛等,准确地应该称为“伪奥数”。
数学有很多学科,即使在中学数学教程中也有代数、平面几何、三角、立体几何、解析几何等多 个学科,但没有一个“奥数”学科。一个家长把孩子送入“奥数班”之前,至少应该看看“奥数”教程讲的是什么,有什么学术依据和标准,有什么意义和用处。可惜大多数这样的家长很官僚主义。
对每个无定义术语,都是各人有各人的理解,各唱各的调,甚至成了“定义之争”。因此以这类无定义术语为题的讨论都是纯粹浪费时间。
3) “不假思索”的
这些人说话很多很快但不走脑子,例如说“数学是枯燥的、深奥的、抽象的”,或者“数学是存在于天上的纯粹理型”,或者“数只是人脑子里的东西”等等。很多说法是人云亦云。但如果深究,他们自己都不知道自己说的是什么意思。
4) 妄议数学的
这些人对于数学的了解范围很窄也很肤浅,而且都是很早期的(最新也是二百多年前的),但他们张口闭口数学如何如何,这样就把他们所不懂的数学全部枪毙了。
5) 故意抬杠的
例如您刚说一句“数学是科学”,他立马反驳说“数学不是科学”,而且搬出不知哪里来的奇谈怪论作为论据。其实他也未必相信自己的说法,只是为了显示自己与众不同而已。但这样的抬杠容易蹭热度、圈粉。
2 小学数学科学的唯一核心课题:自然数
现在讲本文的主要观点:小学数学,至少就数学科学而言,唯一必设的课题是自然数。
然而在小学数学课程标准(参看 [11])中所设的课题有四个方面:“数与代数”、“图形与几何”、“统计与概率”、“综合与实践”。我们现在来逐个细看。
1) “代数”是中学数学课程的内容,虽然近年来有些中学代数下放到小学,但不能因此就说它是小学数学。何况全国数学教育发展颇不平衡,很多地方还不能把代数下放到小学。
2) 关于图形的科学,是从初中平面几何开始的。小学数学教程中对于图形的认识,基本上是科普性的,不平凡的主要是面积、体积的计算,实际上是作为数的一类应用题而设。
3) 统计与概率,即使在中学教程中也只是科普性的,而且现在中学数学教程中的概率并不比小学教程更深。
4) 小学数学中有很多应用题,这一方面是理解自然数的重要途径,另一方面也是学会应用自然数的必要步骤。不过“综合与实践”说得含糊其辞。
有一点值得注意:在历史上的任何一个时期,小学数学课程都不是很“专”的,即总有一些数学科学以外的内容,包括科普方面的内容、技术(早年是珠算,现在有计算器的使用等)、度量衡、法规(如科学记数法)等等。
那么,课程标准所讲的四个方面,除了“代数”有点疑问外,也没有什么错啊?为什么单强调“自然数”呢?
请注意另一点:除了自然数外,其他的内容在不同的历史时期都是经常变化的,甚至将来有些会过时。但自然数是不会有变化更不会过时的。
另一方面,如果自然数没学好,其他内容学得再好,小学数学也不能达标。
明白了这些,就知道在小学数学教学中永远应该重点关注“自然数”,这也是小学数学最难的部分,教学上需要花的功夫也最大。反过来说,永远不应该以其他方面的内容冲击自然数的教学,或压缩自然数教学的课时。
3 学习自然数的过程、目标和难点
然而,很多人觉得自然数没什么了不起,人人都识数。他们忘了自己当年的识数过程有多艰巨,更不明白很多人一生都没有完成识数过程。
数学是历史最悠久的科学,而自然数是科学最早研究的对象。虽然考证很困难,但至少欧几里得时代的文献表明,在公元前 500 年人类已经完全认识自然数了。实际上人类认识自然数的过程可能有数万年。而一个孩子的识数过程需要在数年时间中走完人类识数的漫长道路,这绝不可能是一个简单容易的任务。
我们下面将小学生的识数过程做一个粗糙的分解,由此就可以看到其艰巨性。
第一步:数(shŭ)十以内的数
幼儿首先学扳着手指数数,这是最早的数学实验。
很多人会说:“这算什么实验呀?”现在固然有很精确的科学实验手段,但不应菲薄老的实验,因为科学是由此发展起来的。一百年前的生化实验,在今天看来很粗糙;今天普通装修队配备的激光测距器,五十年前连尖端实验室里也没有。而今天顶尖的实验手段,将来也会被超越。我们下面将谈到很多小学数学实验,都是广泛使用并且很有效的。很多人嫌它们简单粗糙,但现在还很缺少尝试发明更好的实验手段的人。
“一定要扳着手指数数吗?桌上有 3 个苹果,一眼就看出来了,哪用得着扳着手指数?”
是的,高等动物有同时处理多个视觉对象的能力,不仅 3 个,多至 5 个甚至 6 个对象都可能“一眼就看出来”。但 10 个就太多了,而且扳着手指数是有顺序的。
这里涉及“自然数是什么”这样一个基本问题。仅有“1”是不能成为自然数的,至少还要有与 1 不同的;仅有 1 和 2 也还不行,因为 1 和 2 可以代表少与多,低与高,甚至黑与白,有与无,对与错,更一般的矛盾,总之可以表达一个比特的信息。
就是说,有信息的世界就有 1 和 2。但 3 就不同了,超越了一个比特的信息。所以老子说“道生一,一生二,二生三,三生万物”。对于古人和今天的幼儿,对 3 的理解是深且难的,开始时可能将 3 理解为“很多”。中国的成语和谚语中有很多“三”是“很多”的意思,如“三人成虎”、“三人行必有我师”等,这种现象在其他民族的语言中也常见。
如上所说,即使很聪明的大脑,对超过 6 个的对象也缺乏直接处理的能力,那么处理“7”就常常是困难的任务了。因此很多民族的语言中有涉及 7 的谚语和故事,其中的“7”是“很多”的意思。
由此可见,扳着手指数数具有超越多对象处理本能的重要意义。
但对于数(shŭ)十以内的数,扳着手指数数只是要学的任务之一,至少还有两个另外的任务:理解这些数的物理意义和学会语言交流。
对于语言交流很明白:既要会数数,也要会说一、二、三、四等(在母语中)。当然还需要认识数字符号,但一般是在识字之后。
而对于理解数的物理意义这个任务,很多教育者缺乏足够的认识,甚至将其忽略。
具体说,要让孩子在数数时,知道所数的可能是桌上的苹果,也可能是面前的孩子,等等。就是要从“3 个苹果”、“3 个孩子”等等得到“3”的概念。这并不容易,需要经过反复学习才能达到。教育者对此需要有足够的耐心。
一个有效的实验方法是利用“一一对应”,例如让 3 个孩子拿桌上的 3 个苹果,每人拿一个,就看到一一对应了。
这第一步如果有所欠缺,以后就需要补上,而且这样的欠缺可能导致质量差或效率低,不如先把第一步完全做好。
第二步:一百以内的数的认识
在这一步,扳手指实验显然已经不够了,需要一些实验工具(如小棒)。以往这被称为“游戏”,但现在很多人已经认识到这就是数学实验,尽管仍很粗糙。
“按顺序数”的习惯,在这一阶段要进一步加强。但这还不够,要理解这些较大的数的物理意义,需要初步学习加法。
桌上有两堆苹果,一堆有 5 个另一堆有 8 个,现在把两堆合并,一共有多少个?这就是加法问题。一个好的数学教育者应该知道,加法的原始意义是两个有限集的无交并的势(参看 [4])。
有了加法的初步概念,对于较大的数如 58,就可以用分为 10 个一堆的 5 堆及 8 个的1堆。这样也初步认识了十进制。
在这个阶段还可以学习比较多少,这也是对于顺序的更深刻理解。
一般说来,对于数字符号的认识也在这一步。
第三步:一百以上的数的认识
在这一步,学习十进制是必不可少的,而为此需要认识数字符号。
加法和大小比较都需要深入,而且需要由大小比较引导到减法。学习加法和减法都需要学竖式笔算。另外还要学习使用计算工具。早年使用的算盘,对于理解十进制和加减法都很有效,现在即使不用,也需要有替代的教具。仅学会用计算器是不够的。
在这一步,理解数的物理意义,越来越多地依靠应用题。
乘法也是在这个阶段引进,有了乘法,就容易理解较大的数。学习乘法更要学竖式笔算,而且要背九九表。
关于背九九表,近年来有很多争议,例如说美国小学生是不背九九表的,还有用计算器也不需要背九九表。但背九九表可以对于数和乘法有更好的认识,有利于驾驭计算器等工具。
另一方面,只有在充分理解数和乘法的条件下,背九九表才有数学教育意义。有的家长在孩子很小尚未理解数的物理意义时,就让孩子背九九表(为了参加比赛或者显示聪明),其实和背“人之初性本善”一样,只会背而不解其意。这样的教育很可能伤害孩子学习数学的前途(参看 [3])。
第四步:认识整个自然数
只有认识了整个自然数集,才能说是认识自然数了。
华罗庚先生曾经这样生动地描述小孩子识数的过程(见 [2]):
“小孩子识数,先学会数 1 个,2 个,3 个;过些时候,能够数到 10 了;又过些时候,会数到20,30,...,100 了,但后来,却决不是这样一段一段地增长,而是飞跃前进。到了某一个时候,他领悟了,他会说:‘我什么数都会数了。’这一飞跃,竟从有限跃到了无穷!”
只有经过了这个飞跃,才真正能说是识数了。
但这个“大彻大悟”的过程,是只能由孩子自己完成的。对于这个过程,华罗庚先生解释说:
怎样会的?首先,他知道从头数;其次,它知道一个一个按次序地数,而且不愁数了一个以后,下一个不会数。也就是他领悟了下一个数的表达方式,可以由上一个数来决定,于是,他也就会数任何一个数了。
教育者则只能引导,如上面所说,讲了一百以内的数再讲一千以内的数、一万以内的数、一亿以内的数,等等,逐步扩展孩子的知识和想象力,直到孩子完成这个“飞跃”。在完成之前,教育者需要有足够的耐心。
华罗庚先生所说的“从头数”、“一个一个按次序地数”、“不愁数了一个以后下一个不会数”,在数学中可以严谨地表达为“皮亚诺公理”。一个好的数学教育者应该明白,自然数集就是满足皮亚诺公理的集合(参看 [4]),而且应该理解自然数集的无限性,这是人对于无穷的第一个科学认识。
第五步:对自然数的认识的加深
自然数是非常深奥的,即使数学家也还有很多不明白之处(准确地说,我们不知道的远比知道的多)。仅仅会数数,即使对于小学生认识自然数也是很不够的。因此,在上述识数的过程中和识数以后,还要有更深入的学习。
具体说,至少要学习这几个方面:
1) 带余除法,这方面可参看[10]。2) 质数(即素数)及质因数分解,这是数论的初步概念,学生由此可以看到自然数的复杂性和研究的难点。3) 数的扩展,包括分数、小数等。
今天仍是在中学数学中才讲到的负数,其实有可能下放到小学。这方面的内容并不难,以往不能在小学讲主要是因为心理上难以接受(在古代甚至很多数学家也拒绝接受负数),但今天负数在生活中已很常见,如温度、海拔、科学记数法(负指数)、记账将支出记为负的收入、比赛将失分记为负的得分,等等。因此心理障碍应该小多了。
可能有人会问:既然数的范围扩展了,为什么还说自然数最重要呢?分数或有理数的范围更大难道不更重要吗?
这里有个哲理性的问题:更大的范围是否就更重要?自然数能够扩充为有理数,是由其内在的因素决定的(没有自然数的内在原因,即使人工地构造出负数和分数也不能满足运算法则,参看 [4])。通俗地说,分数的性质都能由自然数的性质导出,但反之不然,例如对于一个整系数方程,即使能给出有理数解也未必能由此判定是否有整数解。在数论中对此的观点是“局部与整体的关系”,即有理数是对于整数的“局部化”,整体决定局部但局部未必能决定整体。
4) 数的运算法则和大小关系(包括分数的大小比较)。
这几个方面各有难点,仍需要教育者的耐心。此外,需要应用题更多而且更深。
由上述几个必由步骤,足以看到学习自然数是相当不简单而且漫长的过程,而且经常需要教育者帮助孩子克服难点。一个常见的问题是很多家长对此颇不耐烦。
4 小学数学素质的达标要求
小平邦彦认为,在小学通过数的计算的反复练习来培养学生数学的基本学力是最基本的(参看 [1])。笔者认为这很有道理。
为什么要反复练习呢?因为孩子一开始总要出错,只有反复练习才能使错误逐渐减少。
那么少犯错甚至不犯错就是终极目标吗?不然的。孩子不是学习机。在反复的犯错-纠错过程中,孩子会逐渐悟到一些深刻的道理,这对于孩子成才非常重要。
一是明白数学(首先是自然数)的绝对真理性。在犯了很多错被纠正的过程中,孩子逐渐认识到,像 2+3=6 这样的错误,永远是自己的错而不是数学的错。由此建立对于数学的信念。
二是对于科学(首先是数学)的敬畏之心。犯了错误要勇于承认和改正,而不是狡辩。无论自己多聪明,也不应该对数学耍“小聪明”,例如用诡辩否认 1+1=2。如果和数学对抗,更是必死无疑。
三是逐步树立严谨的科学态度。一丝不苟,精益求精,是科学技术工作所必须具备的基本素质。这种素质必须从小培养,否则将来就成了废人。而自然数的学习是培养严谨科学态度的一个基本途径。
那么,怎样才叫小学数学素质达标了呢?
如前面所说,除了自然数外还有很多其他知识要学,当然这些都是达标所必需的。但最核心的一点,是上面所说的“可靠性”。最低限度,如果自己的错误被别人指出,能够立刻明白并自行改正。如果自己也能发现和确认别人的错误,那水平就高了一个档次。最高的是能严格审视自己的工作,找出所有的错误并改正,从而保证自己的工作有高度的可靠性。这样的孩子才是将来社会特别需要也特别有发展前途的。
这里似乎与很多人的观点相悖:社会发展靠创新呀!没错,但创新需要先打好基础。对于小学生,首先需要学会把最基本的事情做对做好。没打好基础就“创新”,是“先天不足”。前面所说的“探索性学习”、“项目式学习”等,并非没有道理,但在没有打好基础之前就搞这类创新性的学习,例如让孩子自己“探索勾股定理”,就如*跃进大**“放卫星”,其实都是造假忽悠,结果将是害了孩子。
能够创新的小学生不是没有,但是极少。不应把适合极少数孩子的教育方法用于大多数孩子。
5 超越自然数
现在来讨论前面所说的“中学数学下放到小学”。如前面所说,这并非对所有小学生都合适。但是小学数学如何与中学数学衔接,是一个对于一般的小学教育都值得研究的课题。
早年中学生的第一个数学困难是“用字母表示数”,那时很多中学生刚开始学甚至还没学英语,这方面的困难是文科性的。现在很多孩子小学就学英语,文科的困难小多了。但数学上的困难依旧,就是说对于用字母表达的数学的理解是一个坎。
我们来具体分析一下初中生首先接触的用字母表达的数学。最基本的有两个方面:恒等式与方程。恒等式如a+b=b+a;方程如 3x+4=10。由于它们都还可以用“数”来解释,很多人没有理解它们都已超出了“数”的范围。前者可以用语言叙述为“两个数相加,交换加数的次序,和不变”;后者可以用语言叙述为“有一个数,它的 3 倍加 4 等于 10”。然而在逻辑上,它们都比数的运算升了一级。
具体说,恒等式 a+b=b+a 的完整叙述是“对任意两个数 a,b 都有a+b=b+a”;而方程 3x+4=10 的完整叙述是“有一个数 x 使得 3x+4=10”。这里关键是有了谓词“任意”(即“一切”) 或“有”(即“存在”)。我们知道谓词演算是比命题演算高一级的逻辑运算。
不理解谓词,实际上并没有真正明白恒等式与方程。这是初中代数的理解困难的基本原因。
但对于进一步学习数学,这一步是必须迈出的。初中平面几何中的命题经常都有两个谓词,如“过两点有一条直线”,完整的叙述是“对平面中的任意两个点A,B,存在一条直线 ℓ 使得 A,B 都在 ℓ 上”。在微积分中的命题经常有三个谓词,如数列极限

的完整叙述是“对任意正实数ε,存在一个正整数N,使得对任意整数 n>N 有

”。在更深是数学如实变函数论或概率论中,还可以看到有四个甚至五个谓词的命题。由此可见,如果连只含一个谓词的语句都不理解,是无法学习更深的数学的。
为了让孩子们迈过这个坎,仍需要教育者有足够的耐心。
上面所说的从小学数学到中学数学的过渡,需要在小学时期就做准备,主要就是对于恒等式和方程的准备。由上所述可见,这实际上已经超越了学习自然数的范围。
在这方面有很多教学经验值得分析和总结。下面讲一些具体方法。
对于简单的恒等式,可以先不用字母表述。例如上面的加法交换律,如果学生完全明白了,再理解 a+b=b+a 就只是从文字表述到用公式表述的转换。
对于方程,则可以先多做应用题,例如买一样东西已知单价 3 元付了 10 元找回 4 元,问买了几件。
小学里的应用题有些较复杂也较难,而且有一些常见题型,如行程问题、工程问题等。很多应用题可以转化为方程。这里举人们经常讨论且争议颇多的“鸡兔同笼”为例。
鸡兔同笼原本是我国古代用于锻炼学生解题能力的问题,例如“今有雉兔同笼,上有三十五头,下有九十四足,问雉兔各几何?”这里不言而喻每只鸡有两条腿而每只兔有四条腿。
历史上(甚至直到今天)这个习题一直不断地受到攻击、贬低和挖苦,罪名如“牵强附会”,“理论脱离实际”,“为什么要把鸡和兔子关在同一个笼子里”等等。在文化大革命中甚至被说成是反革命的(参看例如电影《向阳院的故事》)。其实农民把鸡和兔装到同一个笼子中拿到市场上去卖,是很平常的事(见照片)。

鸡兔同笼题对于一般的小学生是很难的,能自己做出的孩子都很聪明。如对于上面的题目,有的孩子说:“如果把鸡的翅膀也当作腿,那么无论鸡兔都有 4 条腿,总共就会有 4×35=140 条腿,但题设只有 94 条腿,那么多出来的140-94=46 条腿应该都是翅膀,这样就知道共有 46÷2=23 只鸡,从而兔有 35-23=12 只。”
那么大多数孩子做不出来又怎样呢?无非是下列几种情形:有的孩子做不出但很想知道答案,就从别的途径寻求答案;有的孩子做不出就放弃了,甚至以后就忘了;有的孩子由此觉得数学很有奥妙,虽做不出但提高了对于数学的兴趣。无论哪种情形都不是坏事。
那么,教育者是否需要给不会做的孩子讲做法呢?这是愚蠢的,因为此题的一般解法对于数学教育并无意义。
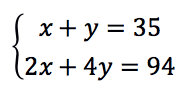
即使在中国古代的数学著作(如《九章算术》)中也有很多可以转化为方程的问题。例如对上面的鸡兔同笼题,设鸡有 x 只,兔有 y 只,则题设可以用方程表达为

有人会说这太繁了,可以用一元方程表达。其实不然,列一元方程需要数学推导,而上面的方程组只是按原题转述而已。
在学生学了方程之后,这类问题都将成为很容易而且不需要很聪明就能做的题目。因此,过多地讲“题型”是没必要的。
那么不能先讲方程再用来做这类应用题吗?其实现在有些人就是这样主张的。有了一般方法就可以应用于解决很多特殊问题,这样效率不就高了吗?类似的主张在中学数学教育中更多。
小平邦彦对此坚决反对,认为“数学教育应按数学发展史顺序进行,而不是按逻辑基础来进行”(参看 [1])。笔者很赞同他的观点。
在逻辑上,固然是由一般可以推导出特殊,因此掌握了一般原理就可以用于解决很多具体问题。但人的学习规律,是从特殊到一般,从具体到抽象,从简单到复杂,从容易到难,从低到高。不掌握足够的特例,是不能深刻理解一般规律的。在这方面教育不能偷工减料,老师省事了学生就苦了。
最后强调一点:由上所述可见,自然数的教学对于小学数学教师的要求很高。好的数学教师应该对于自然数有深刻的认识,并尽可能广泛地了解自然数的物理意义。
参考文献
[1] 代钦:小平邦彦的数学教育思想------兼论数学家与数学教育家的争论. 《数学通报》2007 年第 6 期
[2] 华罗庚:《数学归纳法》,《数学小丛书》 15,科学出版社(2002)
[3] 姜树生:可怕的幼儿数学教育(2011.3.)
[4] 李克正:自然数的定义和基本性质(2017.11.)
[5] 李克正:怎样学好数学,返朴网(2019.9.)
[6] 李克正:现代社会对于劳动者的数学素质的需求(2019.11.)
[7] 莲溪:是谁夺走了美国人的数学能力?--美国百年数学战争演义,皮皮虾网(2017.3.)
[8] 其故:得数学者得天下,返朴网(2019.8.)
[9] 咸道:致家长(2018.4.)
[10] 咸道:带余除法的重要性 ------ 续“致家长”(2019.1.)
[11] 小学数学新课程标准(2011年版)
[12] 尹裕:数学启蒙教育之我见(2014.2.)
[13] 朱忠明:中学生数学素养测评模型的构建与实测研究(2018.3.)