土石方分部的工程量计算是整个预算的重点,量大面广,一般按施工的顺序进行计算。常需要计算的土石方工程有:平整场地,挖地槽(坑)土方、人工回填土、场内运土、余(借)土运输以及人工挖孔桩等。
4.3.1基本问题
(1)定额分项
基础定额将土石方工程按开挖方式不同分为人工土石方和机械土石方两种,具体分项如下:
1)人工土石方
①人工挖土方,淤泥、流砂;
②人工挖沟槽、基坑;
③人工挖孔桩;
④人工挖冻土;
⑤人工*破爆**挖冻土;
⑥回填土、打夯、平整场地;
⑦土方运输(人工运土方、人工运淤泥、单双轮车运土方);
⑧支挡土板;
⑨人工凿石;
⑩人工打眼*破爆**石方(平基、沟槽、基坑);
⑪机械打眼*破爆**石方(平基、沟槽、基坑);
⑫石方运输(人工运石方、单双轮车运石方)。
2)机械土石方
①推土机推土方;
②铲运机铲运土方;
③挖掘机挖土方;
④挖掘机挖土,自卸汽车运土方;
⑤装载机装运土方;
⑥自卸汽车运土方;
⑦必地基墙夯;
⑧场地平整、碾压;
⑨推土机推渣;
⑩挖土机挖渣;
⑪井点排水;
⑫抽水机降水;
⑬井电降水。
(2)在计算土石方工程量之前,应当首先搜集并确定以下资料和数据



1)土壤及岩石类别
土石方工程士壤及岩石类别的划分,需根据工程勘测资料与《土壤及岩石分类表》(如图表4.2所示)、定额规定对照后予以划分,并分类别计算工程量。
基础定额中,将土壤分为3个等级共4类,岩石分为4个等级,共12类,其对应关系如表4,3所示。
2)地下水标高
确定所挖土方是干土还是湿土(因为两者的单价不同)。干、湿土的划分应根据地质勘恻资料泌起的地下水位来确认。如无规定时,应以地下常水位为准,常水位以上为干土,以下为湿土。如采用人工降低
地下水位时,干湿土的划分仍以常水位为准。

3)挖运土的方法
是采用人工挖运土,还是人工挖土机械运土,或是机械挖运土,以便套用相应的定额。
4)余土和回填土的运距
即确定多余土外运和回填外借土的运土距离是多少。
5)是否放坡或支挡板
即确定是否需要留工作面,工作面留多宽等,以便确定挖土宽度。
6)在本分部定额内,均未包括地下水施工的排水费用,发生时另行计算
7)按竖向布置进行挖、填土方时,不得再计算平整场地的工程量
(3)人工土石方说明
1 )人工挖土方、沟槽、基坑定额,均按干土编制,干湿土工程量应分别计算
2)挖土方、沟槽、基坑的划分
①沟槽:凡槽长大于槽宽3倍,槽底宽在3m(不包括加宽工作面)以内者,按沟槽计算;槽底宽在3m(不包括加宽工作面)以上者,按挖土方计算。
②基坑:凡坑底面积在20㎡(不包括加宽工作面)以内者,按基坑计算;坑底面积在20㎡(不包括加宽工作面)以上者.按挖土方计算。
3)土方体积,均以挖掘前的天然密实体积为准计算
如遇有必须以天然密实体积折算时,可按表4.4计算。

4)挖土一律以设计室外地坪标高为准
(4)机械土石方说明
本分部的机械是综合考虑的,实际使用机械的规格、型号不同时,不得换算。定额岩石的类别,参看岩石分类表。土方、石渣采用人力装汽车运输时按相应的机械运土方、石渣定额执行。
(1)人工平整场地
①人工平整场地是指厚度在±30cm以内的就地挖、填找平,其工程量按建筑物外墙外边线每边各加2m,以平方米计算。凡是按竖向布置进行挖、填及找平的大型土方工程,不得计算平整场地的工程量。
②计算场地平整工程量可按两种方法进行。


(2)人工挖沟槽
1)挖沟槽土方工程量
其计算方法可以表达为:

①挖沟槽计算长度:挖外墙沟槽及管道沟槽按图示中心线长度计算;内墙沟槽按图示基础底面之间净长度计算。内外突出部分(如墙垛、附墙烟囱等)体积并人沟槽工程量内计算。
②沟槽宽度:按基底宽度加工作面计算。当基础垫层为原槽浇筑时,沟槽挖土宽度为基底宽度加工作面;当垫层需要支模时,应以垫层宽度加上两边的增加工作面作为槽底宽度计算。
③沟槽深度:以自然地坪到槽底的垂直深度计算。当自然地坪标高不明确时,可采用室外设计地坪标高计算。当地槽深度不同时,应分别计算;管道沟的深度按分段间的平均自然地坪标高减去管底皮或基础底的平均标高计算。
④管道沟槽宽度按设计规定计算。如设计无规定,可按表4.5中数据计取。

⑤计算管道沟槽土方工程量时,各种检查井类和排水管道接口等处,因加宽而增加的工程量,均不计算;但铺设铸铁给水管道时,接口处的土方工程量应按铸铁管道沟槽全部土方工程量增加2.5%计算。
⑥在计算土方放坡时,在交接处产生的重复工程量不予扣除;如原槽做基础垫层,放坡应自垫层上表面开始计算。支挡土板以槽、坑垂直的支撑面积计算,不分连续和断续均执行本定额。
⑦放坡工程量和支挡土板工程量不得重复计算,凡放坡部分不得再计算挡土板工程量,支挡土板部分不得再计算放坡工程量。
2)人工挖沟槽工程量计算公式
①不放坡不支挡土板的计算公式(如图4.17)为

其中,内墙基础底面净长(L槽)与内墙轴线长(当轴线居中时为内墙中心线L内中),相交接的外墙基础底宽有关,如图4.18所示。

②由垫层底面放坡的计算公式(如图4.19所示)


(4)人工挖孔桩
人工挖孔桩按设计的截面积乘佗孔深度以立方米计算(计算详见本章4.4节)。
(5)人工回填土
回填土工程量按下列方法以立方米计算:



所占体积,管径在500mm以上时,按表4.8规定扣除管径所占体积。

(6)土方运输
沟槽,坑挖出的土方是否全部运出,或只运出回填后的余土,应根据施工组织设计的规定计算。如无施工组织设计时,土方运输工程量可采用下列公式计算:
①余土运输体积
运土运输体积=挖土体积 - 回填土体积 x 1.15
②取土运输体积(系指挖土少于回填土)
取土运输体积 = 回填土体积 x 1.5-挖土体积
③土石方运输应按施工组织设计规定的运输距离及运输方式(工具)计算。
④人工取已松动的土壤时,只计算取土的运输工程量;取未松动的土壤时,除计算运输工程量外,还需计算挖土工程量。
(7)机械土石方计算规则
①机械施工土石方,按图示尺寸以立方米计算。
②机械进人施工工作面,施工组织设计规定需要修整临时道路等所增加的土石方工程量,应并人施工的土石方工程量。
③机械施工土石方的运距.按挖方区重心至填方区重心之间循环路线的二分之一计算。
④场地原土碾压,按图示尺寸以平方米计算。回填土碾压工程量按挖方区取土的自然方或按填方区压实后的体积,以立方米计算‘
(8)岩石及石方*破爆**计算规则
①人工凿石,按图示尺寸以立方米计算。
②*破爆**岩石工程量按图示尺寸以立方米计算,其沟槽、基坑深度、宽度允许超挖量:
次坚石:200mm
特坚石:150mm
超挖部分岩石并人岩石挖方量之内计算。
4.3.3计算实例
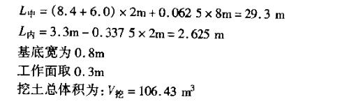
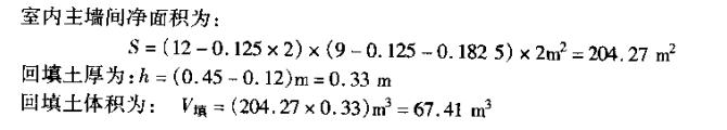
【例4.3】以图4.24为例,其中①轴线、②轴线、③轴线、A,B,C轴线上外墙基础剖面如图(a)所示。②轴线上内墙基础剖面如图(b)所示。计算人工挖基槽、回填土及余土运输工程量(根据施工方案.基槽由混凝土基础下表面开始放坡,混凝土基础支模,土壤为三类)。



2)内墙用基础底面净长线计算

(2)室外地坪以下埋入物体积计算


(3)回填土方工程量计算

(4)土方运输工程量计算

【例4.4】某基槽深3.6m,其中一二类土的深度为1.7m.三类土为1.9m。试确定该土方工程的放坡起点深度和放坡系数(k值)。
[解]根据基础定额规定:沟槽土壤类别不同时,分别按其放坡起点深度和放坡系数,依不同土层厚度加权平均计算。

【例4.5】若已知上例中的某基槽计算长度为36.48m,混凝土垫层(施工要求支模)底宽.求人工挖土方工程量。
〔解]入工挖基槽土方汁算采用公式(4.5)为:


【例4.6】某工程做钢筋混凝土独立基础36个,形状如图4.22所示。已知挖深为1.8m,三类土,基底混凝土垫层(要求支模)底面积为2.8m x 2.4m,试求人工挖基坑土方工程量。
【解]人工挖基坑土方计算公式采用式(4.10)为:

【例4.7】某水厂制作钢筋混凝土圆形储水罐5个,外径为3.6m,埋深2. 1m,土壤为三类土,罐体外壁要求做垂直防水层,试求人工挖基坑土方工程量。
[解]查表4.6,罐体外壁要求做垂直防水层,则工作面宽应取800mm,坑底面积为

【例4.8】在[例4.3]中,如果已知地下常水位在一1. 3m处,其他条件不变,试分别求干、湿土工程量。
【解〕基槽分别求干、湿土工程量,计算长度是一样的,关键问题在于分别求干、湿土的计算断面积,即先求总的断面积,再求湿土断面积,而以总的断面积减去湿土断面积就是干土断面积。


【例4.9】某工程采用*破爆**法开凿特坚石隧道.直径为3m,长24m,试求石方工程量。
[解]特坚石允许超挖量为200mm,则隧道计算半径为(3÷2+0.2)m= 1.7m。

【例4.10】某工程基础如图4.25所示,土壤类别为二类土,地坪总厚度为120mm,施工要求混凝土垫层为原槽浇灌,垫层厚100mm.试求场地平整、人工开挖基槽、房心回填土工程量。


2)入工挖基槽

3)房心回填土

4.3.4定额应用问题
(1)人工土石方
①人工土方定额是按干土编制的,如挖湿土时,人工乘以系数1.18.
②在有挡土板支撑下挖土时,按实挖体积,人工乘以系数1.43.
③挖桩间土方时,按实挖体积(扣除桩所占用体积),人工乘以系数1.5,
④人工挖孔桩,桩内垂直运输方式按人工考虑。如深度超过12m时,16m以内按12m项目人工乘以系数1.3;20m以内人工乘以系数1.5计算。同一孔内土壤类别不同时,按定额加权计算。
⑤人工挖土方深度超过1. 5m时,按表4.9增加工日。

(2)机械土石方
①推土机推土、推土渣,铲运机铲运土重车上坡时,如果坡度大于5%时,其运距按坡度区段斜长乘以表4.10系数计算。

【例4.11】某工地土方工程采用机械开挖,推土机需推土上坡,坡面斜长为30m,高差4m,试求推土上坡运距。

②机械挖土方工程量,按机械挖土方90%,人工挖土方10%计算,人工挖土部分按相应定额人工乘以系数2。
【例4.12】某工地土方工程采用机械大开挖,坑深5.4m,三类土,土方总工程量为1 500m³,试分析人工挖土部分的用工数。

③推土机推土或铲运机铲土土层平均厚度小于300mm。时,推土机台班用量乘以系数1.25;铲运机台班用量乘系数1.17.
④挖掘机在垫板上进行作业时,人工、机械乘以系数1.25.定额内不包括颠板铺所需的工料、机械消耗。
⑤推土机、铲运机推铲未经压实的积土时,按定额项目乘以系数0.73。
⑥机械土方定额是按三类土编制的,如实际土壤类别不同时,定额中的机械台班量乘以表4.11所给系数。

下期更新丨桩基础工程
注:
1.若文章内部出现图片看不清楚情况可私聊小编
2.本系列工程概预算全套资料可私聊小编
3.想要获取更多工程造价资料,可私聊小编