

长郡中学2023届高三月考试卷(七)
数学
时量:120分钟满分:150分
一、选择题:本题共8小题,每小题5分,共40分.在每小题给出的四个选项中,只有一项是符合题目要求的.



二、选择题:本题共4小题,每小题5分,共20分.在每小题给出的选项中,有多项符合题目要求.全部选对的得5分,部分选对的得2分,有选错的得0分.



三、填空题:本题共4小题,每小题5分,共20分.

四、解答题:本题共6小题,共70分.解答应写出文字说明、证明过程或演算步骤.



















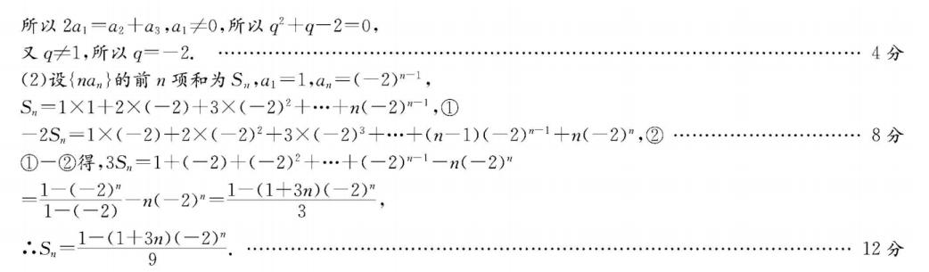
关于解题
解题不仅仅是为了做对一道题,更多的是为了巩固对知识的理解,积累解题经验,强化解题方法,发现解题规律,掌握解题策略,形成解题意识,培养坚忍不拔、锲而不舍的意志品质.波利亚说过,中学数学首要的任务就是加强解题训练,他有一句名言:“掌握数学就是意味着善于解题”,在这里,“解题”近于“掌握数学”的同义词了.波利亚把教会学生解题看做是教会学生思考,培养他们独立探索能力的一条主要途径.
我国著名数学解题理论大师罗增儒指出:“解题是一种训练的手段,当问题还没有解出来时,我们能够坚韧不拔、锲而不舍;当答案已经找到时,我们能够从解题过程中自觉吸收营养,并饶有兴趣地进行新的探索„„”.美籍匈牙利数学家、教育家乔治 波利亚曾说:“当你找到第一个蘑菇后,要环顾四周,因为它们总是成堆生长的„„”.两位大师都强调题后研究的必要性,因此,我们在平时的解题教学过程中要给学生树立正确的解题观,让学生认识到解对一道问题仅仅是解题的初成,看透一个问题才是解题的追求.
波利亚说过,货源充足和组织良好的知识仓库是一个解题者的重要资本.如果我们在平时的教学中,能帮助学生看透更多的问题,学生就会积累更多的知识与经验,掌握发现问题、提出问题、分析问题与解决问题的方法,其数学素养就可以得到较大的提升.