牛顿是世界上最伟大的科学家之一。他的成就不仅包括经典物理学、微积分和万有引力,还包括牛顿的其他著名发现。让我们一起看看!
牛顿的十大发现
万有引力

万有引力,全称为“万有引力定律”,是物体之间相互作用的定律。它是牛顿在1687年发现的,是17世纪自然科学最伟大的成就之一。它统一了地面物体的运动规律和天体的运动规律,对物理学和天文学的未来发展有着深远的影响。它首次揭示了自然界相互作用的基本规律,在人类认识自然的历史上树立了一个里程碑。
牛顿力学

牛顿力学是牛顿在17世纪发现的,属于经典力学的范畴。它以粒子为研究对象,重点研究力的作用关系。在处理粒子系统问题时,它强调分别考虑每个粒子上的力,然后推导出整个粒子系统的运动状态。17世纪,牛顿实现了天体力学和地球力学的综合,形成了统一的力学体系——经典力学。经典力学体系的建立是人类认识自然和历史的第一次飞跃和理论综合。它深刻影响着科学发展的进程和人类的生产、生活和思维方式。
微积分

17世纪下半叶,英国数学家牛顿和德国数学家莱布尼兹总结和发展了前人数百年的工作,创立了微积分学。微积分是数学的一个基本分支,主要包括函数、极限、微分、积分及其应用。函数是微积分研究的基本对象,极限是微积分的基本概念,微分和积分是具体过程和形式的极限。几乎所有的现代科学技术,如机械、土木工程、建筑、航空、航海和其他工业工程,都以微积分为基本的数学工具。
牛顿冷却定律

牛顿冷却定律是传热的基本定律之一,由牛顿于1701年通过实验确定,用于计算对流热量。牛顿冷却定律是指温度高于周围环境的物体将热量传递到周围介质并逐渐冷却的定律。当物体表面和周围环境之间存在温差时,单位时间内单位面积的热损失与温差成比例,比例系数称为传热系数。当强制对流时,牛顿冷却与实际情况非常吻合,并且只有当自然对流中的温差不太大时,牛顿冷却才是真实的。
牛顿迭代法

牛顿迭代法,又称牛顿-拉斐逊法,又称滚动法,是牛顿在17世纪提出的一种近似求解实场和复场方程的方法。这种方法广泛用于计算机编程。迭代法是一个不断使用变量的旧值来递归新值的过程。这是用计算机解决问题的基本方法。它利用了计算机的快速计算速度,适用于重复操作。它允许计算机重复执行一组指令,每次执行这组指令时,它都会从变量的原始值中推断出一个新值。
光的色散

光的色散是指多色光分解为单色光的现象:多色光通过棱镜分解为单色光的现象,以及光线中光源光谱成分中不同波长的不同群速度引起的光脉冲展宽现象。它描述了光线的传播参数和波长之间的关系。多色光通过棱镜分解为单色光的现象描述了光线传播参数与波长之间的关系。
金本位制

金本位就是金本位。金本位是以黄金为标准货币的货币体系。在金本位制下,每个单位的货币价值等于黄金的几个权重;当不同国家使用金本位制时,各国之间的汇率由各自货币的黄金含量与黄金平均价格的比率决定。第一个实施金币标准的国家是英国。1717年,著名物理学家艾萨克·牛顿(IsaacNewton)担任英国造币厂厂长时,将黄金价格定为每盎司3磅17先令10.5便士。
牛顿望远镜

牛顿望远镜是英国天文学家艾萨克·牛顿发明的反射望远镜。其原理是使用曲反射镜将光线反射到焦点。牛顿望远镜的主镜使用抛物面镜,第二面镜是平面对角镜。这种设计方法比使用透镜的物体放大倍数高出几倍。大多数巨型望远镜都属于反射望远镜,牛顿望远镜为反射望远镜的发展铺平了道路。
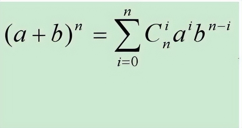
二项式定理

二项式定理,也称为牛顿二项式定理,由艾萨克·牛顿于1664年和1665年提出。该定理可以推断自交后代群体的基因型和概率,推断自交后代群体的表型和概率,推断杂交后代群体的表型分布和概率,通过测交分析杂合子自交后代的性状表现和概率,推断夫妻生育子女的性别分布和概率,推断平衡群体的基因型或基因型频率等。
牛顿流体

任何点的剪切应力与剪切变形率线性相关的流体称为牛顿流体。简单牛顿流体流动是粘性流体在两个无限板之间以相对速度U平行移动时的低速稳态剪切运动(或库特流)。自然界中许多流体都是牛顿流体。大多数纯液体,如水和酒精、轻油、低分子化合物溶液和低速流动气体,都是牛顿流体;高分子聚合物的浓溶液和悬浮液通常是非牛顿流体。