八下尖子生集训:二次根式选题解答题压轴训练






【点睛】本题考查二次根式的应用,熟练掌握二次根式的混合运算法则和算术平方根的性质是解题关键.


























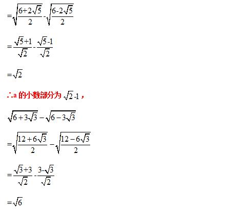
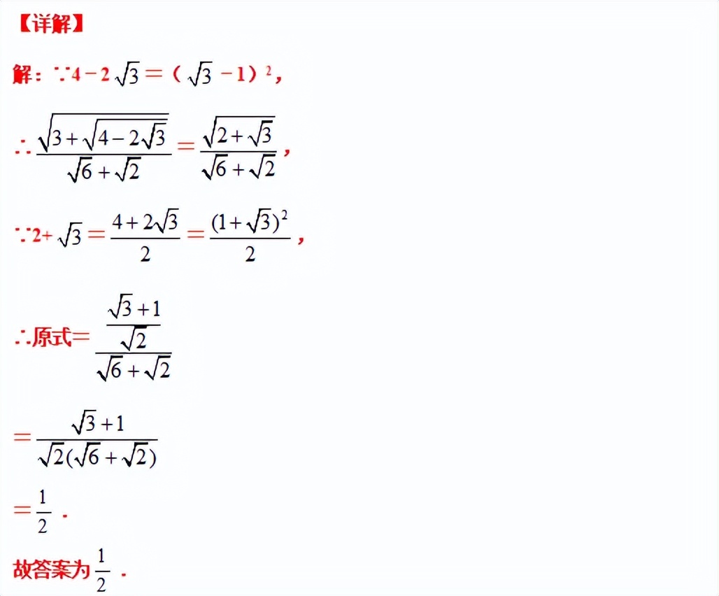
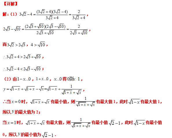
【知识点】本题考查了分母有理化、二次根式的混合运算,适当的把有关式子变成完全平方的形式是解题关键.














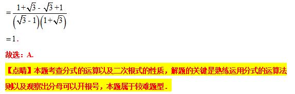
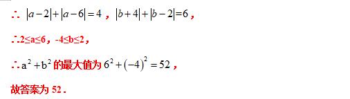
【点睛】本题考查了二次根式的性质与化简,绝对值的意义,算术平方根的性质.解题的关键是要明确化简二次根式的步骤:①把被开方数分解因式;②利用算术平方根的性质,把被开方数中能开得尽方的因数(或因式)都开出来;③化简后的二次根式中的被开方数中每一个因数(或因式)的指数都小于根指数2.










【点睛】本题考查了二次根式的计算.先把各二次根式化为最简二次根式,再进行二次根式的乘除运算,然后合并同类二次根式.也考查了完全平方公式.




























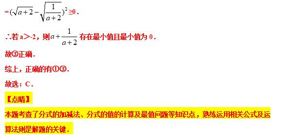
【点睛】本题考查了二次根式的混合运算:先把各二次根式化简为最简二次根式,然后进行二次根式的乘除运算,再合并即可.在二次根式的混合运算中,如能结合题目特点,灵活运用二次根式的性质,选择恰当的解题途径,往往能事半功倍.


















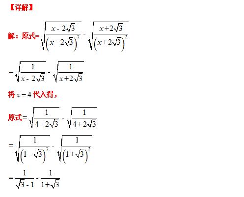
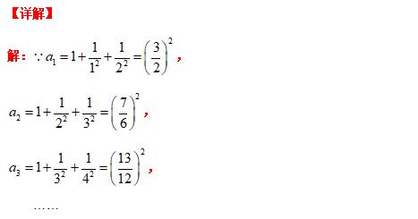
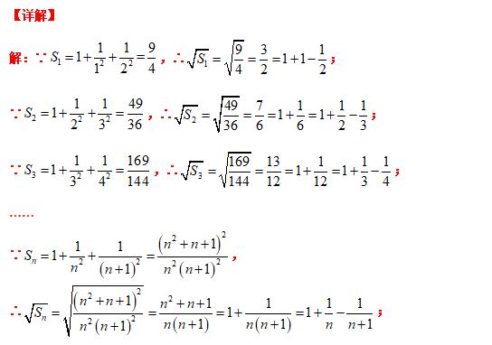
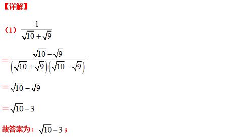
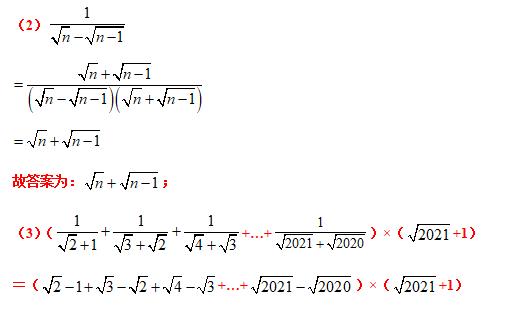
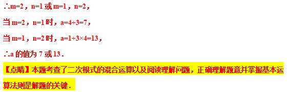
【点睛】本题考查了非常重要的一种数学思想:类比思想.解决本题关键是要读懂例题,然后根据例题提供的知识点和方法解决问题.同时要注意所解决的问题在方法上类似,但在细节上有所区别.